Formation of Rhizospheric Microbial Consortia Under Combined Phytoremediation and Bacterial Introduction in Oil-Polluted Environments
Abstract
1. Introduction
2. Materials and Methods
2.1. Plants
2.2. Characteristics of Oil
2.3. Hydrocarbon-Oxidizing Bacteria Strains
2.4. Characteristic of Bioaugmentation Product for Oil Degradation DOP-UNI
2.5. Experimental Design
2.6. Analytical Methods
2.7. Analysis of Microbial Community Composition
2.7.1. DNA Isolation, 16S rRNA Gene Fragment Amplification and Sequencing
2.7.2. Data Analysis Methods
3. Results
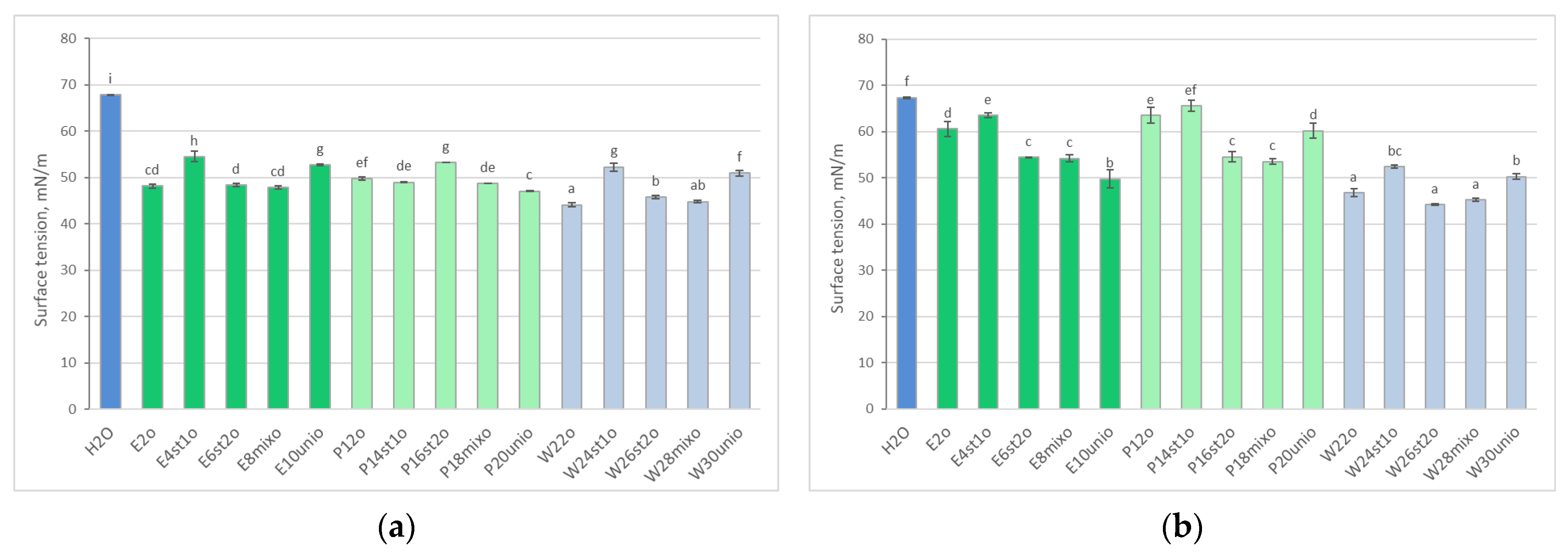
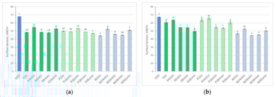
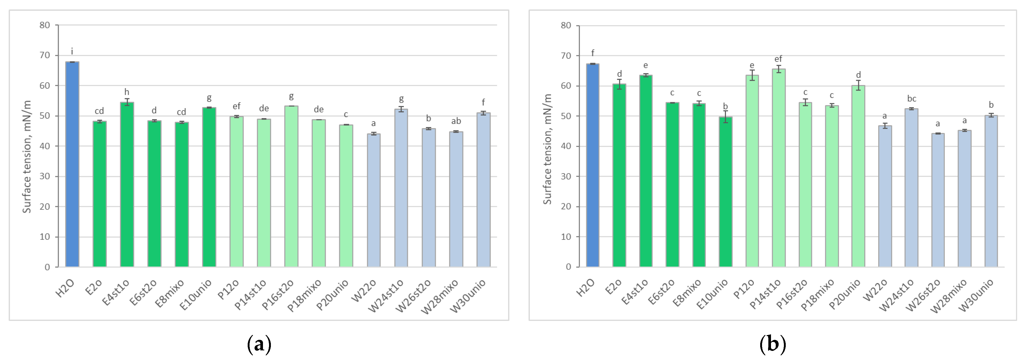
3.1. Rheological Changes During Oil Bioremediation
3.2. Efficiency of Oil Biodegradation
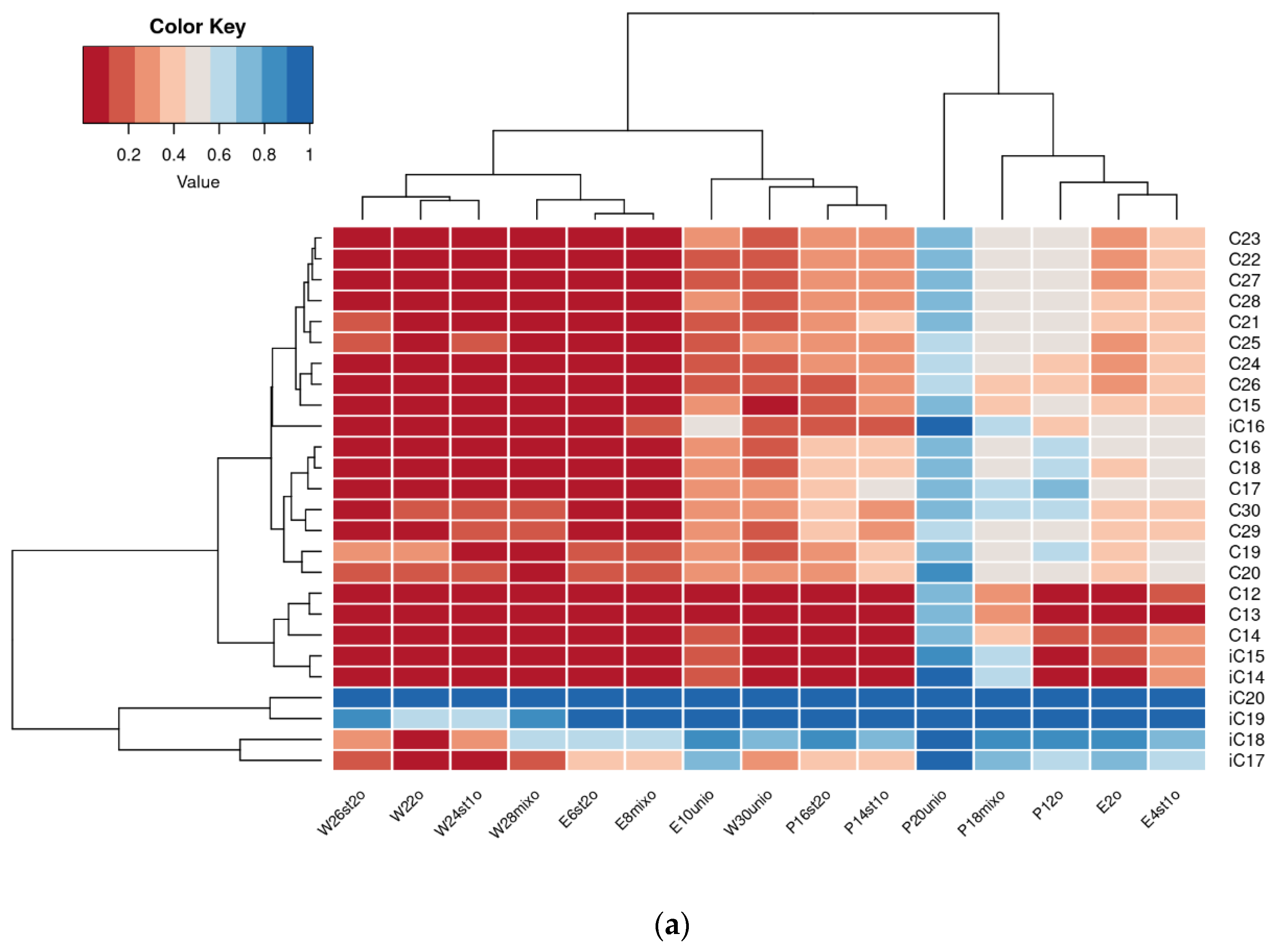
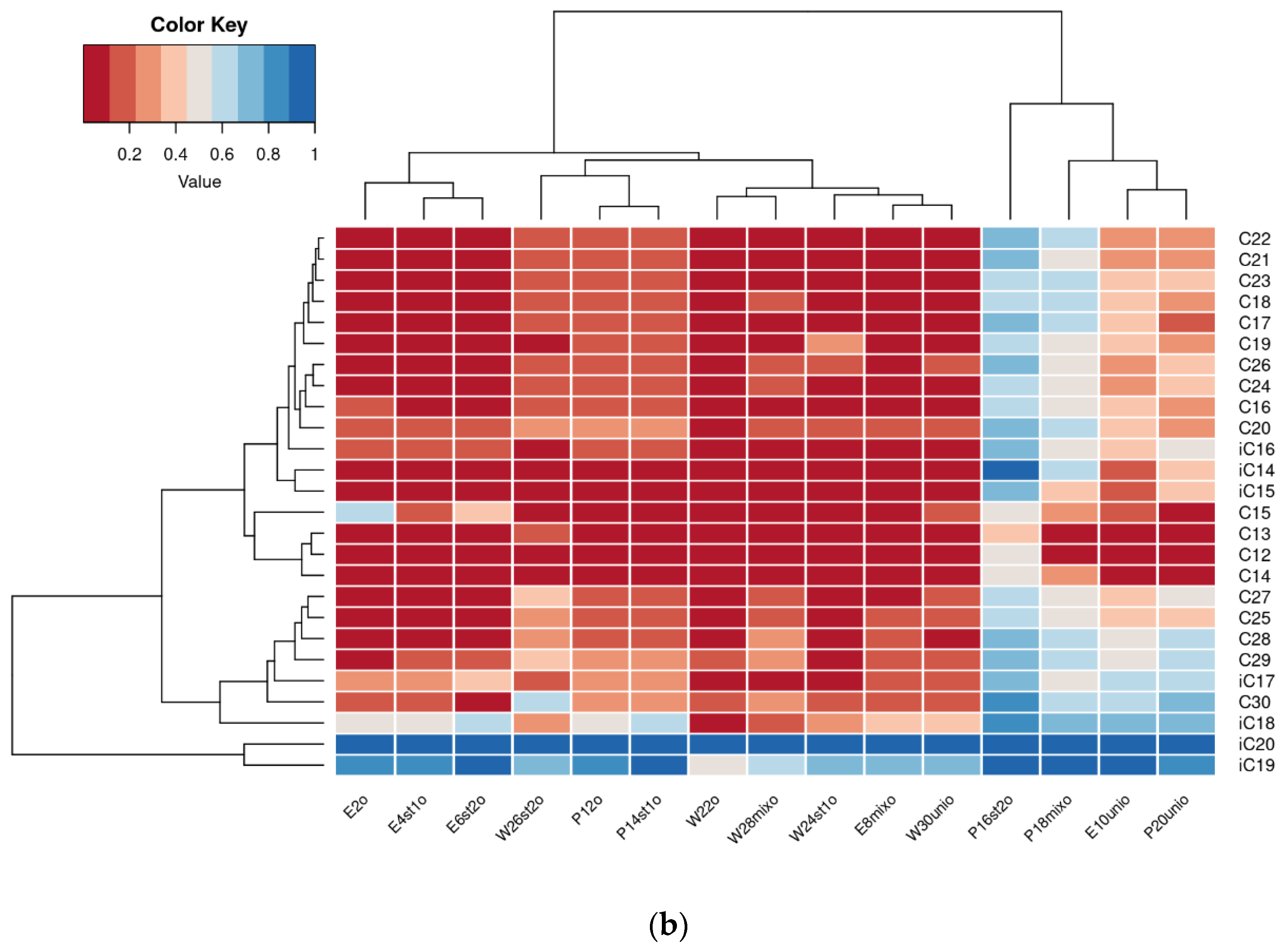
3.3. Microbial Community Analysis
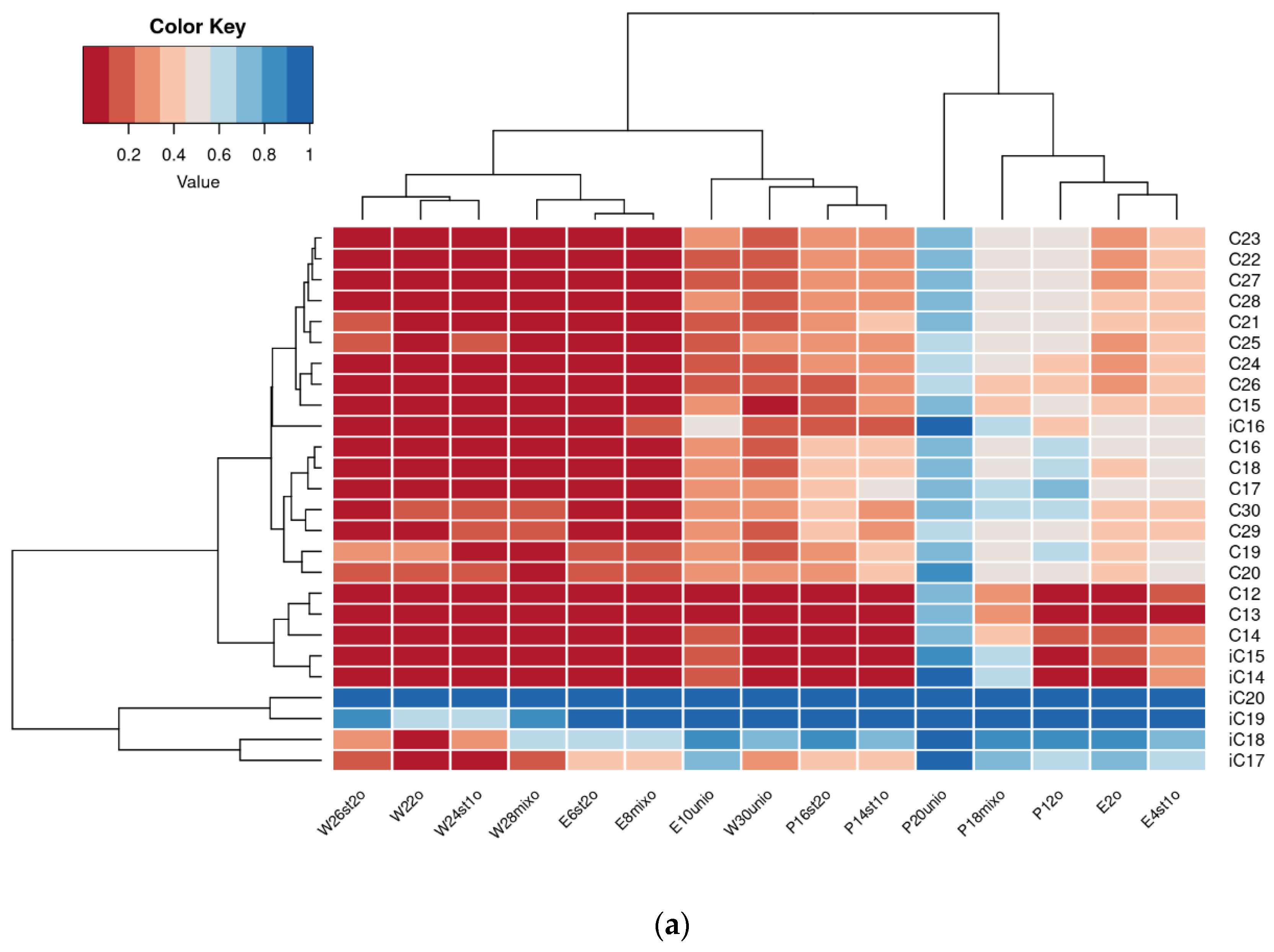
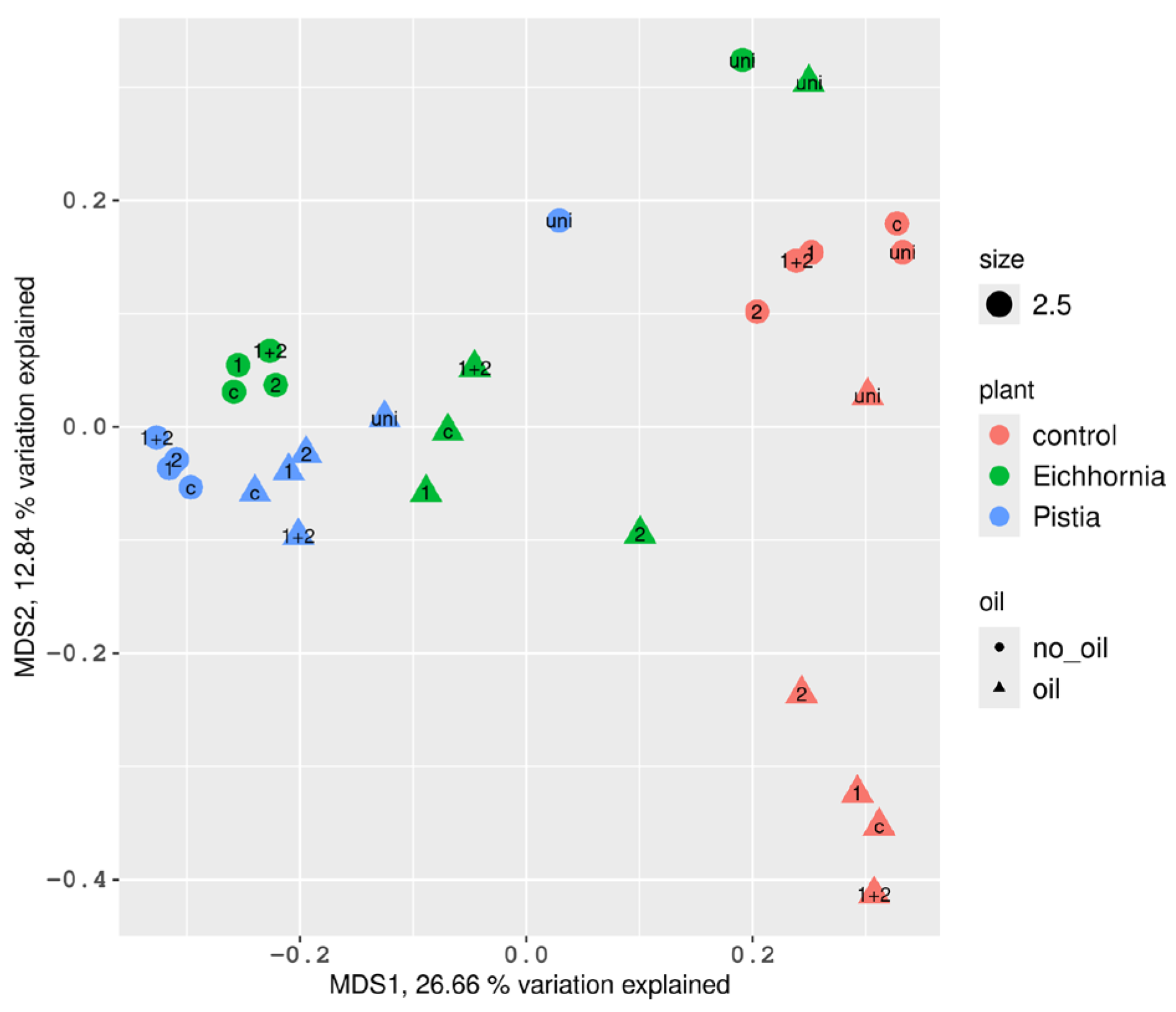
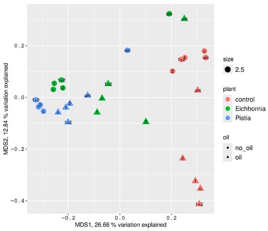
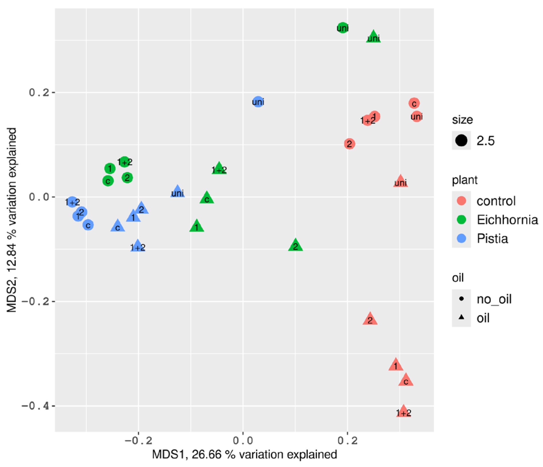
3.3.1. Alpha and Beta Diversity Analysis
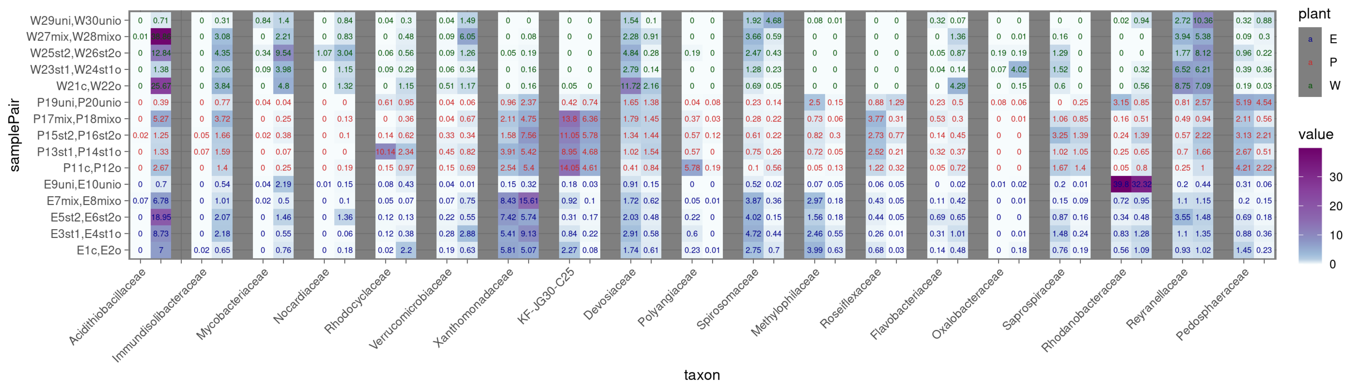
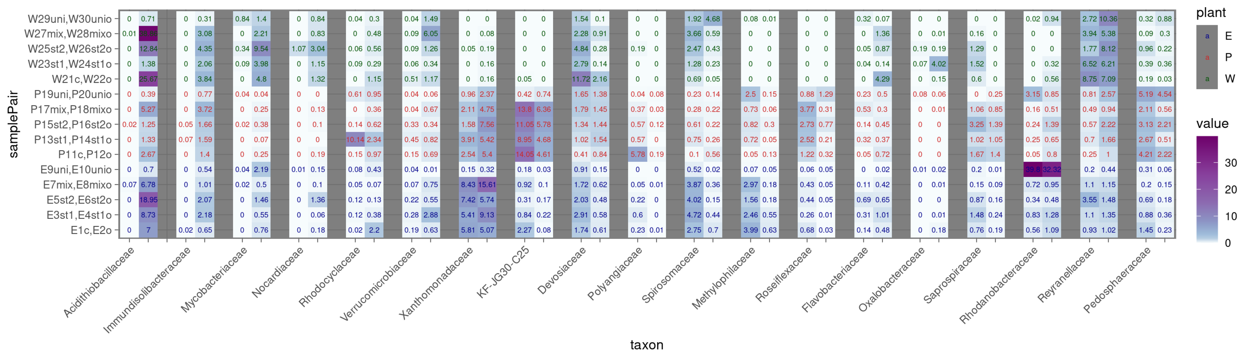
3.3.2. Analysis of Microbial Communities
4. Discussion
5. Conclusions
5.1. Practical Implications for Field-Scale Remediation
5.2. Directions for Future Optimization
Supplementary Materials
Author Contributions
Funding
Institutional Review Board Statement
Informed Consent Statement
Data Availability Statement
Conflicts of Interest
References
- Atlas, R.M.; Hazen, T.C. Oil Biodegradation and Bioremediation: A Tale of the Two Worst Spills in U.S. History. Environ. Sci. Technol. 2011, 45, 6709–6715. [Google Scholar] [CrossRef]
- Prince, R.C. Oil Spill Dispersants: Boon or Bane? Environ. Sci. Technol. 2015, 49, 6376–6384. [Google Scholar] [CrossRef]
- Head, I.M.; Jones, D.M.; Röling, W.F.M. Marine Microorganisms Make a Meal of Oil. Nat. Rev. Microbiol. 2006, 4, 173–182. [Google Scholar] [CrossRef]
- Wang, Y. (Ed.) Terrestrial Ecosystems and Biodiversity, 2nd ed.; CRC Press: Boca Raton, FL, USA, 2020. [Google Scholar] [CrossRef]
- Pilon-Smits, E. Phytoremediation. Annu. Rev. Plant Biol. 2005, 56, 15–39. [Google Scholar] [CrossRef]
- Rezania, S.; Ponraj, M.; Talaiekhozani, A.; Mohamad, S.E.; Md Din, M.F.; Taib, S.M.; Sabbagh, F.; Sairan, F.M. Perspectives of Phytoremediation Using Water Hyacinth for Removal of Heavy Metals, Organic and Inorganic Pollutants in Wastewater. J. Environ. Manag. 2015, 163, 125–133. [Google Scholar] [CrossRef]
- Kuiper, I.; Lagendijk, E.L.; Bloemberg, G.V.; Lugtenberg, B.J.J. Rhizoremediation: A Beneficial Plant-Microbe Interaction. Mol. Plant-Microbe Interact. 2004, 17, 6–15. [Google Scholar] [CrossRef]
- Doty, S.L. Enhancing Phytoremediation through the Use of Transgenics and Endophytes. New Phytol. 2008, 179, 318–333. [Google Scholar] [CrossRef]
- Malik, A. Environmental Challenge Vis a Vis Opportunity: The Case of Water Hyacinth. Environ. Int. 2007, 33, 122–138. [Google Scholar] [CrossRef]
- Khilji, S.A.; Tariq, R.; Aziz, I.; Munir, N.; Javed, A.; Uppal, T.; Abideen, Z.; El-Sheikh, M.A.; Keblawy, A.E. Phytoremediation Potential and Ecophysiological Responses of Pistia stratiotes L. for Removal of Cadmium and Lead from Polluted Water: A Viable Option for Agricultural Resilience. Environ. Sustain. 2025, 8, 235–248. [Google Scholar] [CrossRef]
- Pang, Y.L.; Quek, Y.Y.; Lim, S.; Shuit, S.H. Review on Phytoremediation Potential of Floating Aquatic Plants for Heavy Metals: A Promising Approach. Sustainability 2023, 15, 1290. [Google Scholar] [CrossRef]
- Kumar, S.; Thakur, N.; Singh, A.K.; Gudade, B.A.; Ghimire, D.; Das, S. Aquatic Macrophytes for Environmental Pollution Control. In Phytoremediation Technology for the Removal of Heavy Metals and Other Contaminants from Soil and Water; Elsevier: Maryland Heights, MO, USA, 2022. [Google Scholar]
- Gorbunova, T.I.; Egorova, D.O.; Pervova, M.G.; Kir’yanova, T.D.; Plotnikova, E.G. Degradability of Commercial Mixtures of Polychlorobiphenyls by Three Rhodococcus Strains. Arch. Microbiol. 2022, 204, 534. [Google Scholar] [CrossRef]
- Wu, B.; Xiu, J.; Yu, L.; Huang, L.; Yi, L.; Ma, Y. Degradation of Crude Oil in a Co-Culture System of Bacillus subtilis and Pseudomonas aeruginosa. Front. Microbiol. 2023, 14, 1132831. [Google Scholar] [CrossRef]
- Das, N.; Das, A.; Das, S.; Bhatawadekar, V.; Pandey, P.; Choure, K.; Damare, S.; Pandey, P. Petroleum Hydrocarbon Catabolic Pathways as Targets for Metabolic Engineering Strategies for Enhanced Bioremediation of Crude-Oil-Contaminated Environments. Fermentation 2023, 9, 196. [Google Scholar] [CrossRef]
- Muter, O. Current Trends in Bioaugmentation Tools for Bioremediation: A Critical Review of Advances and Knowledge Gaps. Microorganisms 2023, 11, 710. [Google Scholar] [CrossRef]
- POWO. Plants of the World Online. Facilitated by the Royal Botanic Gardens, Kew. Published on the Internet. 2025. Available online: https://powo.science.kew.org (accessed on 9 October 2025).
- Zhilkina, T.; Gerasimova, I.; Babich, T.; Kanapatskiy, T.; Sokolova, D.; Kadnikov, V.; Kamionskaya, A. Evaluation of the Phytoremediation Potential of Aquatic Plants and Associated Microorganisms for the Cleaning of Aquatic Ecosystems from Oil Products. Sustainability 2024, 16, 9288. [Google Scholar] [CrossRef]
- Nazina, T.N.; Sokolova, D.S.; Babich, T.L.; Semenova, E.M.; Ershov, A.P.; Bidzhieva, S.K.; Borzenkov, I.A.; Poltaraus, A.B.; Khisametdinov, M.R.; Tourova, T.P. Microorganisms of Low-Temperature Heavy Oil Reservoirs (Russia) and Their Possible Application for Enhanced Oil Recovery. Microbiology 2017, 86, 773–785. [Google Scholar] [CrossRef]
- Semenova, E.M.; Babich, T.L.; Sokolova, D.S.; Ershov, A.P.; Raievska, Y.I.; Bidzhieva, S.K.; Stepanov, A.L.; Korneykova, M.V.; Myazin, V.A.; Nazina, T.N. Microbial Communities of Seawater and Coastal Soil of Russian Arctic Region and Their Potential for Bioremediation from Hydrocarbon Pollutants. Microorganisms 2022, 10, 1490. [Google Scholar] [CrossRef]
- Borzenkov, I.A.; Milekhina, E.I.; Gotoeva, M.T.; Rozanova, E.P.; Belyaev, S.S. The Properties of Hydrocarbon-Oxidizing Bacteria Isolated from the Oilfields of Tatarstan, Western Siberia, and Vietnam. Microbiology 2006, 75, 66–72. [Google Scholar] [CrossRef]
- Zajic, J.E.; Guignard, H.; Gerson, D.F. Emulsifying and Surface Active Agents from Corynebacterium hydrocarboclastus. Biotechnol. Bioeng. 1977, 19, 1285–1301. [Google Scholar] [CrossRef] [PubMed]
- Magoč, T.; Salzberg, S.L. FLASH: Fast Length Adjustment of Short Reads to Improve Genome Assemblies. Bioinformatics 2011, 27, 2957–2963. [Google Scholar] [CrossRef] [PubMed]
- Edgar, R.C. Search and Clustering Orders of Magnitude Faster than BLAST. Bioinformatics 2010, 26, 2460–2461. [Google Scholar] [CrossRef] [PubMed]
- Rognes, T.; Flouri, T.; Nichols, B.; Quince, C.; Mahé, F. VSEARCH: A Versatile Open Source Tool for Metagenomics. PeerJ 2016, 2016, e2584. [Google Scholar] [CrossRef]
- Hazaimeh, M.D.; Ahmed, E.S. Bioremediation Perspectives and Progress in Petroleum Pollution in the Marine Environment: A Review. Environ. Sci. Pollut. Res. 2021, 28, 54238–54259. [Google Scholar] [CrossRef] [PubMed]
- Ito, H.; Hosokawa, R.; Morikawa, M.; Okuyama, H. A Turbine Oil-Degrading Bacterial Consortium from Soils of Oil Fields and Its Characteristics. Int. Biodeterior. Biodegrad. 2008, 61, 223–232. [Google Scholar] [CrossRef]
- Anzuay, M.S.; Viso, N.P.; Ludueña, L.M.; Morla, F.D.; Angelini, J.G.; Taurian, T. Plant Beneficial Rhizobacteria Community Structure Changes through Developmental Stages of Peanut and Maize. Rhizosphere 2021, 19, 100407. [Google Scholar] [CrossRef]
- Zeng, Y.; Feng, F.; Medová, H.; Dean, J.; Koblížek, M. Functional Type 2 Photosynthetic Reaction Centers Found in the Rare Bacterial Phylum Gemmatimonadetes. Proc. Natl. Acad. Sci. USA 2014, 111, 7795–7800. [Google Scholar] [CrossRef]
- Newton, R.J.; Jones, S.E.; Eiler, A.; McMahon, K.D.; Bertilsson, S. A Guide to the Natural History of Freshwater Lake Bacteria. Microbiol. Mol. Biol. Rev. 2011, 75, 14–49. [Google Scholar] [CrossRef]
- Zhao, D.; Cao, X.; Huang, R.; Zeng, J.; Wu, Q.L. Variation of Bacterial Communities in Water and Sediments during the Decomposition of Microcystis Biomass. PLoS ONE 2017, 12, e0176397. [Google Scholar] [CrossRef]
- Sockett, R.E.; Lambert, C. Bdellovibrio as Therapeutic Agents: A Predatory Renaissance? Nat. Rev. Microbiol. 2004, 2, 669–675. [Google Scholar] [CrossRef]
- Wang, L.Y.; Ke, W.J.; Sun, X.B.; Liu, J.F.; Gu, J.D.; Mu, B.Z. Comparison of Bacterial Community in Aqueous and Oil Phases of Water-Flooded Petroleum Reservoirs Using Pyrosequencing and Clone Library Approaches. Appl. Microbiol. Biotechnol. 2014, 98, 4209–4221. [Google Scholar] [CrossRef]
- Hennessee, C.T.; Li, Q.X. Effects of Polycyclic Aromatic Hydrocarbon Mixtures on Degradation, Gene Expression, and Metabolite Production in Four Mycobacterium Species. Appl. Environ. Microbiol. 2016, 82, 3357–3369. [Google Scholar] [CrossRef]
- Martínková, L.; Uhnáková, B.; Pátek, M.; Nešvera, J.; Křen, V. Biodegradation Potential of the Genus Rhodococcus. Environ. Int. 2009, 35, 162–177. [Google Scholar] [CrossRef]
- Kalyuzhnaya, M.G.; Bowerman, S.; Lara, J.C.; Lidstrom, M.E.; Chistoserdova, L. Methylotenera mobilis Gen. Nov., Sp. Nov., an Obligately Methelamine-Utilizing Bacterium within the Family Methylophilaceae. Int. J. Syst. Evol. Microbiol. 2006, 56, 2819–2823. [Google Scholar] [CrossRef]
- Das, N.; Chandran, P. Microbial Degradation of Petroleum Hydrocarbon Contaminants: An Overview. Biotechnol. Res. Int. 2011, 2011, 941810. [Google Scholar] [CrossRef]
- Tyagi, M.; da Fonseca, M.M.R.; de Carvalho, C.C.C.R. Bioaugmentation and Biostimulation Strategies to Improve the Effectiveness of Bioremediation Processes. Biodegradation 2011, 22, 231–241. [Google Scholar] [CrossRef]
- Rezania, S.; Taib, S.M.; Md Din, M.F.; Dahalan, F.A.; Kamyab, H. Comprehensive Review on Phytotechnology: Heavy Metals Removal by Diverse Aquatic Plants Species from Wastewater. J. Hazard. Mater. 2016, 318, 587–599. [Google Scholar] [CrossRef]
- Pacwa-Płociniczak, M.; Biniecka, P.; Bondarczuk, K.; Piotrowska-Seget, Z. Metagenomic Functional Profiling Reveals Differences in Bacterial Composition and Function During Bioaugmentation of Aged Petroleum-Contaminated Soil. Front. Microbiol. 2020, 11, 2106. [Google Scholar] [CrossRef] [PubMed]
- Chen, W.; Zuo, Y.; Hou, Z.; Wang, B.; Xiong, S.; Ding, X.; Peng, B.; Zhou, K.; Li, J.; Liu, R.; et al. Effect of Rhodococcus Bioaugmentation and Biostimulation on Dibenzothiophene Biodegradation and Bacterial Community Interaction in Petroleum-Contaminated Soils. Front. Environ. Sci. 2023, 11, 1270599. [Google Scholar] [CrossRef]
- Dealtry, S.; Ghizelini, A.M.; Mendonça-Hagler, L.C.S.; Chaloub, R.M.; Reinert, F.; de Campos, T.M.P.; Gomes, N.C.M.; Smalla, K. Petroleum Contamination and Bioaugmentation in Bacterial Rhizosphere Communities from Avicennia schaueriana. Braz. J. Microbiol. 2018, 49, 757–769. [Google Scholar] [CrossRef] [PubMed]
- Romantschuk, M.; Lahti-Leikas, K.; Kontro, M.; Galitskaya, P.; Talvenmäki, H.; Simpanen, S.; Allen, J.A.; Sinkkonen, A. Bioremediation of Contaminated Soil and Groundwater by in Situ Biostimulation. Front. Microbiol. 2023, 14, 1258148. [Google Scholar] [CrossRef]










| E. crassipes (100 L) | P. stratiotes (100 L) | Tanks Without Plants (50 L) | |||
|---|---|---|---|---|---|
| Sample Name | Description | Sample Name | Description | Sample Name | Description |
| E1c | E. crassipes plants | P11c | P. stratiotes plants | W21c | Fertilizer tap water |
| E2o | E. crassipes plants + crude oil | P12o | P. stratiotes plants + crude oil | W22o | Fertilizer tap water + crude oil |
| E3st1 | E. crassipes plants + P. brenneri M6-6 | P13st1 | P. stratiotes plants + P. brenneri M6-6 | W23st1 | Fertilizer tap water + P. brenneri M6-6 |
| E4st1o | E. crassipes plants + P. brenneri M6-6 + crude oil | P14st1o | P. stratiotes plants + P. brenneri M6-6 + crude oil | W24st1o | Fertilizer tap water + P. brenneri M6-6 + crude oil |
| E5st2 | E. crassipes plants + R. erythropolis M7-8 | P15st2 | P. stratiotes plants + R. erythropolis M7-8 | W25st2 | Fertilizer tap water + R. erythropolis M7-8 |
| E6st2o | E. crassipes plants + R. erythropolis M7-8 + crude oil | P16st2o | P. stratiotes plants + R. erythropolis M7-8 + crude oil | W26st2o | Fertilizer tap water + R. erythropolis M7-8 + crude oil |
| E7mix | E. crassipes plants + P. brenneri M6-6 + R. erythropolis M7-8 | P17mix | P. stratiotes plants + P. brenneri M6-6 + R. erythropolis M7-8 | W27mix | Fertilizer tap water + P. brenneri M6-6 + R. erythropolis M7-8 |
| E8mixo | E. crassipes plants + P. brenneri M6-6 + R. erythropolis M7-8 + crude oil | P18mixo | P. stratiotes plants + P. brenneri M6-6 + R. erythropolis M7-8 + crude oil | W28mixo | Fertilizer tap water + P. brenneri M6-6 + R. erythropolis M7-8 + crude oil |
| E9uni | E. crassipes plants + DOP UNI | P19uni | P. stratiotes plants + DOP UNI | W29uni | Fertilizer tap water + DOP UNI |
| E10unio | E. crassipes plants + DOP UNI + crude oil | P20unio | P. stratiotes plants + DOP UNI + crude oil | W30unio | Fertilizer tap water + DOP UNI + crude oil |
Disclaimer/Publisher’s Note: The statements, opinions and data contained in all publications are solely those of the individual author(s) and contributor(s) and not of MDPI and/or the editor(s). MDPI and/or the editor(s) disclaim responsibility for any injury to people or property resulting from any ideas, methods, instructions or products referred to in the content. |
© 2026 by the authors. Licensee MDPI, Basel, Switzerland. This article is an open access article distributed under the terms and conditions of the Creative Commons Attribution (CC BY) license.
Share and Cite
Zhilkina, T.; Gerasimova, I.; Babich, T.; Kadnikov, V.; Beletsky, A.; Kamionskaya, A. Formation of Rhizospheric Microbial Consortia Under Combined Phytoremediation and Bacterial Introduction in Oil-Polluted Environments. Diversity 2026, 18, 61. https://doi.org/10.3390/d18020061
Zhilkina T, Gerasimova I, Babich T, Kadnikov V, Beletsky A, Kamionskaya A. Formation of Rhizospheric Microbial Consortia Under Combined Phytoremediation and Bacterial Introduction in Oil-Polluted Environments. Diversity. 2026; 18(2):61. https://doi.org/10.3390/d18020061
Chicago/Turabian StyleZhilkina, Tatiana, Irina Gerasimova, Tamara Babich, Vitaly Kadnikov, Alexey Beletsky, and Anastasia Kamionskaya. 2026. "Formation of Rhizospheric Microbial Consortia Under Combined Phytoremediation and Bacterial Introduction in Oil-Polluted Environments" Diversity 18, no. 2: 61. https://doi.org/10.3390/d18020061
APA StyleZhilkina, T., Gerasimova, I., Babich, T., Kadnikov, V., Beletsky, A., & Kamionskaya, A. (2026). Formation of Rhizospheric Microbial Consortia Under Combined Phytoremediation and Bacterial Introduction in Oil-Polluted Environments. Diversity, 18(2), 61. https://doi.org/10.3390/d18020061

