Diversity and Genetic Structure of Maize Landraces Cultivated in the Zoque Region from Chiapas, Mexico
Abstract
1. Introduction
2. Materials and Methods
2.1. Maize Collection
2.2. Extraction and Amplification of DNA
2.3. Data Analysis
2.3.1. Genetic Structure
2.3.2. Genetic Relationships
2.3.3. Genetic Diversity
3. Results
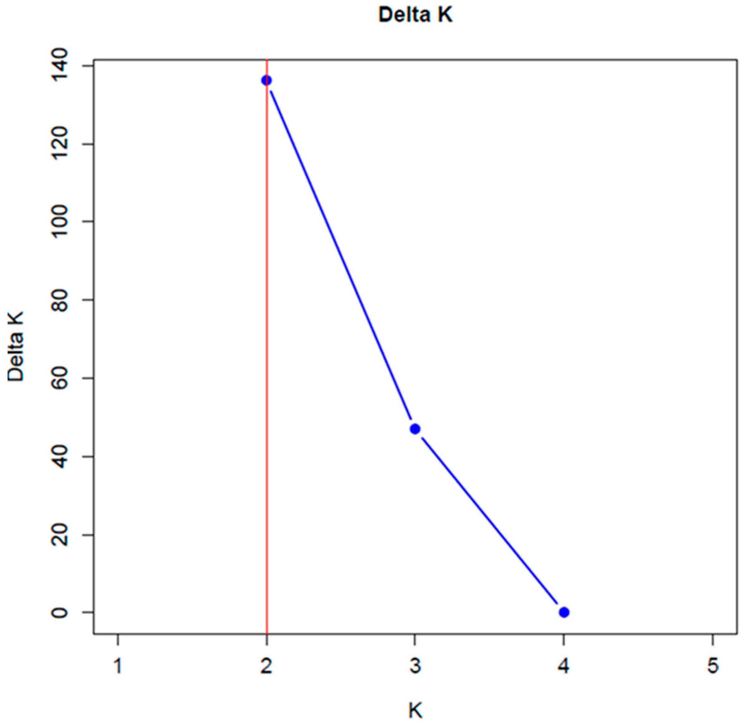
3.1. Genetic Structure
3.2. Genetic Relationships
3.3. Genetic Diversity
4. Discussion
4.1. Genetic Structure
4.2. Genetic Relationships
4.3. Genetic Diversity
5. Conclusions
Author Contributions
Funding
Institutional Review Board Statement
Data Availability Statement
Acknowledgments
Conflicts of Interest
References
- Matsuoka, Y.; Vigouroux, Y.; Goodman, M.M.; Sanchez, G.J.; Buckler, E.; Doebley, J.A. Single domestication for maize shown by multilocus microsatellite genotyping. Proc. Natl. Acad. Sci. USA 2002, 99, 6080–6084. [Google Scholar] [CrossRef] [PubMed]
- Muñoz, O.A.; Miranda, C.S.; Cuevas, S.J.A.; Santacruz, V.A..; Sánchez, D.S. Resistencias, Prehistoria, Historia y Diferencias de Teocintle a Maíz; Impresos América: Texcoco, Mexico, 2009; pp. 7–32. [Google Scholar]
- Caballero, M.A.; Cordova, L.; Lopez, A.J. Validación empírica de la teoría multicéntrica del origen y diversidad del maíz en México. Rev. Fitotec. Mex. 2019, 42, 357–366. [Google Scholar] [CrossRef]
- Torres, B.; Rocandio, M.; Santacruz, A.; Córdova, L.; Coutiño, B.; López, H. Genetic diversity characterization of maize populations using molecular markers. Ital. J. Agron. 2023, 18, 2206. [Google Scholar] [CrossRef]
- Orozco, Q.; Perales, H.; Hijmans, R.J. Geographical distribution and diversity of maize (Zea mays L. subsp. mays) races in Mexico. Genet. Resour. Crop Evol. 2017, 64, 855–865. [Google Scholar] [CrossRef]
- Coutiño, B.; Vidal, V.A.; Cruz, C.; Gómez, M. Características eloteras y de grano de variedades nativas de maíz de Chiapas. Rev. Mex. Cienc. Agrícolas 2015, 6, 1119–1127. [Google Scholar]
- Perales, H.; Golicher, D. Mapping the Diversity of Maize Races in Mexico. PLoS ONE 2014, 9, e114657. [Google Scholar] [CrossRef]
- Guevara-Hernández, F.; Hernández, M.A.; Bastarrechea, J.L.; Fonseca, M.A.; Delgado, F.; Ocaña, M.; Acosta, R. Riqueza de maíces locales (Zea mays L.) en la región Frailesca, Chiapas, México: Un estudio etnobotánico. Rev. Fac. Agron. 2020, 37, 223–243. [Google Scholar]
- Hernández-Ramos, M.A.; Guevara, F.; Basterrechea, J.L.; Coutiño, B.; O-Arias, M.; Pinto, R. Diversidad y conservación de maíces locales de la Frailesca, Chiapas, México. Rev. Fitotec. Mex. 2020, 43, 471–479. [Google Scholar] [CrossRef]
- Torres, B.; Rocandio, M.; Santacruz, A.; Córdova, L.; Coutiño, B.; López, H. Morphological and agronomic diversity of seven corn races from the state of Chiapas. Rev. Mex. Cienc. Agrícolas 2022, 13, 687–699. [Google Scholar]
- Santos, L.P.; Andueza-Noh, R.H.; Ruíz, E.; Latournerie, L.; Garruña, R.; Mijangos, J.O.; Martínez, J. Characterization of the genetic structure and diversity of maize (Zea mays L.) landrace populations from Mexico. Maydica 2017, 62. [Google Scholar]
- Sánchez-Cortés, M.S.; Lazos Chavero, E. Desde dónde y cómo se construye la identidad zoque: La visión presente en dos comunidades de Chiapas. Península 2009, 4, 55–79. [Google Scholar] [CrossRef]
- Geck, M.S.; García, A.J.R.; Casu, L.; Leonti, M. Acculturation and ethnomedicine: A regional comparison of medicinal plant knowledge among the Zoque of southern Mexico. J. Ethnopharmacol. 2016, 187, 146–159. [Google Scholar] [CrossRef] [PubMed]
- Rodas-Trejo, J.; Ocampo-González, P.; Coutiño-Hernández, P.R. Uso de los mamíferos silvestres en el municipio de Copainalá, región Zoque, Chiapas; México. Quehacer Científico Chiapas 2014, 9, 3–9. [Google Scholar]
- Perales, H.R.; Benz, B.F.; Brush, S.B. Maize diversity and ethnolinguistic diversity in Chiapas, Mexico. Proc. Natl. Acad. Sci. USA 2005, 102, 949–954. [Google Scholar] [CrossRef]
- Li, S.; Gan, X.; Han, H. Low within-population genetic diversity and high genetic differentiation among populations of the endangered plant Tetracentron sinense Oliver revealed by inter-simple sequence repeat analysis. Ann. For. Sci. 2018, 75, 74. [Google Scholar] [CrossRef]
- Hernández, M.A.; Rodríguez, L.A.; Guevara, F.; Rosales, M.Á.; Pinto, R.; Ortiz, R. Caracterización molecular de maíces locales de la Reserva de la Biosfera La Sepultura, México. Agron. Mesoam. 2017, 28, 69–83. [Google Scholar] [CrossRef]
- Marcón, F.; Martínez, E.J.; Rodríguez, G.R.; Zilli, A.L.; Brugnoli, E.A.; Acuña, C.A. Genetic distance and the relationship with heterosis and reproductive behavior in tetraploid bahiagrass hybrids. Mol. Breed. 2019, 39, 89. [Google Scholar] [CrossRef]
- Amoon, M.H.; Abdul-Hamed, Z.A. Determination genetic diversity of inbred lines and hybrids of maize using issr technic. Iraqi. J. Agri. Sci. 2020, 51, 269–277. [Google Scholar]
- Muhammad, R.W.; Qayyum, A.; Ahmad, M.Q.; Hamza, A.; Yousaf, M.; Ahmad, B.; Noor, E. Characterization of maize genotypes for genetic diversity on the basis of inter simple sequence repeats. Genet. Mol. Res. 2017, 16, 1–9. [Google Scholar] [CrossRef]
- Soliman, R.S.; El, H.H.; Börner, A.; Badr, A. Genetic diversity of a global collection of maize genetic resources in relation to their subspecies assignments, geographic origin, and drought tolerance. Breed. Sci. 2021, 71, 313–325. [Google Scholar] [CrossRef]
- Lenka, D.; Tripathy, S.K.; Kumar, R.; Behera, M.; Ranjan, R. Assessment of genetic diversity in quality protein maize (QPM) inbreds using ISSR markers. J. Environ. Biol. 2015, 36, 985–992. [Google Scholar] [PubMed]
- Rao, N.K.; Hanson, J.; Dulloo, M.E.; Ghosh, K.; Novell, D.; Larinde, M. Manual of seed handling in genebanks. In Handbooks for Genebanks; Bioversity International: Rome, Italy, 2006; p. 8. [Google Scholar]
- Pritchard, J.K.; Stephens, M.; Donnelly, P. Inference of population structure using multilocus genotype data. Genetics 2000, 155, 945–959. [Google Scholar] [CrossRef] [PubMed]
- Evanno, G.; Regnaut, S.; Goudet, J. Detecting the number of clusters of individuals using the software STRUCTURE: A simulation study. Mol. Ecol. 2005, 1, 2611–2620. [Google Scholar] [CrossRef] [PubMed]
- Li, Y.L.; Liu, J.X. StructureSelector: A web-based software to select and visualize the optimal number of clusters using multiple methods. Mol. Ecol. Resour. 2018, 18, 176–177. [Google Scholar] [CrossRef]
- Hammer, Ø.; Harper, D.A.; Ryan, P.D. PAST: Paleontological statistics software package for education and data analysis. Palaeonton. Electron. 2001, 4, 4–9. [Google Scholar]
- Yeh, F.C.; Boyle, T.J. POPGENE v. 1.31. Microsoft Windows-Based Freeware for Population Analysis; University of Alberta and Centre for International Forestry Research; University of Alberta: Edmonton, AB, Canada, 1999. [Google Scholar]
- Vekemans, X. AFLP-SURV Version 1.0: Distributed by the Autor; Laboratoire de genetique et Ecologie Vegetale; Universite Libre de Bruxelles: Brussels, Belgium, 2002. [Google Scholar]
- Patel, R.; Memon, J.; Kumar, S.; Patel, D.A.; Sakure, A.A.; Patel, M.B.; Das, A.; Karjagi, C.G.; Patel, S.; Patel, U.; et al. Genetic Diversity and Population Structure of Maize (Zea mays L.) Inbred Lines in Association with Phenotypic and Grain Qualitative Traits Using SSR Genotyping. Plants 2024, 13, 823. [Google Scholar] [CrossRef]
- Aci, M.M.; Lupini, A.; Mauceri, A.; Morsli, A.; Khelifi, L.; Sunseri, F. Genetic variation and structure of maize populations from Saoura and Gourara oasis in Algerian Sahara. BMC Genet. 2018, 1, 51. [Google Scholar] [CrossRef]
- Adu, G.B.; Badu-Apraku, B.; Akromah, R.; Garcia-Oliveira, A.L.; Awuku, F.J.; Gedil, M. Genetic diversity and population structure of early-maturing tropical maize inbred lines using SNP markers. PLoS ONE 2019, 14, e0214810. [Google Scholar]
- Dube, S.P.; Sibiya, J.; Kutu, F. Genetic diversity and population structure of maize inbred lines using phenotypic traits and single nucleotide polymorphism (SNP) markers. Sci. Rep. 2023, 13, 17851. [Google Scholar] [CrossRef]
- Da Silva, T.A.; Cantagalli, L.B.; Saavedra, J.; Lopes, A.D.; Mangolin, C.A.; Da silva, M.F.P.; Scapim, C.A. Population structure and genetic diversity of Brazilian popcorn germplasm inferred by microsatellite markers. Electron. J. Biotech. 2015, 18, 181. [Google Scholar] [CrossRef]
- Huang, R.; Zong, Z.; Yu, W.; Ying, W. Genetic variation and genetic structure within metapopulations of two closely related selfing and outcrossing Zingiber species (Zingiberaceae). Aoplants 2021, 13, 1–15. [Google Scholar]
- Cömertpay, G.; Baloch, F.S.; Kilian, B. Diversity Assessment of Turkish Maize Landraces Based on Fluorescent Labelled SSR Markers. Plant. Mol. Biol. Rep. 2012, 30, 261–274. [Google Scholar] [CrossRef]
- Thakur, N.; Prakash, J.; Thakur, K.; Sharma, J.K.; Kumari, R.; Rana, M.; Lata, S. Genetic diversity and structure of maize accessions of north western Himalayas based on morphological and molecular markers. Proc. Natl. Acad. Sci. India Sec. B Biol. Sci. 2017, 87, 1385–1398. [Google Scholar] [CrossRef]
- Chňapek, M.; Balážová, Ž.; Špaleková, A. Genetic diversity of maize resources revealed by different molecular markers. Genet. Resour. Crop Evol. 2024, 71, 4685–4703. [Google Scholar] [CrossRef]
- Barrera, L.A.; Legaria, J.P.; Ortega, R. Diversidad genética en poblaciones de razas mexicanas de maíz. Rev. Fitotec. Mex. 2020, 43, 121–125. [Google Scholar]
- Bøhn, T.; Aheto, D.W.; Mwangala, F.S.; Fischer, K.; Bones, I.L.; Simoloka, C.; Breckling, B. Pollen-mediated gene flow and seed exchange in small-scale Zambian maize farming, implications for biosafety assessment. Sci. Rep. 2016, 6, 34483. [Google Scholar] [CrossRef]




| Collection Number | Local Name | Race | Collection Site | Altitude (m) | Precipitation (mm) |
|---|---|---|---|---|---|
| 1 | Bacalito blanco | Olotillo | Benito Juárez | 1155 | 1200 |
| 2 | Bacalito joloche morado | Olotillo | Benito Juárez | 1155 | 1200 |
| 3 | Bacalito amarillo | Olotillo | Benito Juárez | 1155 | 1200 |
| 5 | Bacalito blanco | Olotillo | Benito Juárez | 1155 | 1200 |
| 6 | Quechulteco | Tehua | Benito Juárez | 1155 | 1200 |
| 7 | Bacalito blanco | Olotillo | Benito Juárez | 1155 | 1200 |
| 12 | Bacalito blanco | Olotillo | Benito Juárez | 1155 | 1200 |
| 18 | Blanco | Tuxpeño | Miguel Hidalgo | 951 | 1000 |
| 20 | Bacalito crema | Olotillo | Miguel Hidalgo | 951 | 1000 |
| 22 | Blanco | Tuxpeño | Miguel Hidalgo | 951 | 1000 |
| 23 | Bacalito blanco | Olotillo | Miguel Hidalgo | 951 | 1000 |
| 24 | Pinto | Tuxpeño | Miguel Hidalgo | 951 | 1000 |
| 25 | Bacalito blanco | Olotillo | Miguel Hidalgo | 951 | 1000 |
| 26 | Bacalito blanco | Olotillo | Miguel Hidalgo | 951 | 1000 |
| 27 | Pinto | Tuxpeño | Miguel Hidalgo | 951 | 1000 |
| 28 | Bacalito blanco | Olotillo | Miguel Hidalgo | 951 | 1000 |
| 29 | Bacalito blanco | Olotillo | Miguel Hidalgo | 951 | 1000 |
| ISSR Primer | Primer Sequence | Annealing Temperature (°C) |
|---|---|---|
| TACAGA3G | TACAGCAGCAGCAG | 50 |
| AG8T | AGAGAGAGAGAGAGAGT | 52 |
| GACA4 | GACAGACAGACAGACA | 52 |
| CA8T | CACACACACACACACAT | 52 |
| TC8C | TGTGTGTGTGTGTGTGC | 52 |
| AC8CG | ACACACACACACACACCG | 50 |
| AG8C | AGAGAGAGAGAGAGAGC | 52 |
| Source of Variation | Df | SS | MS | ED | Variability (%) |
|---|---|---|---|---|---|
| Between accessions | 16 | 547.824 | 34.239 | 2.394 | 30% |
| Within accessions | 187 | 1029.583 | 5.506 | 5.506 | 70% |
| Total | 203 | 1577.407 | 7.900 | 100% | |
| Between groups | 1 | 41.477 | 41.477 | 0.343 | 4% |
| Within groups | 202 | 1535.930 | 7.604 | 7.604 | 96% |
| Total | 203 | 1577.407 | 7.946 | 100% |
| Population | NLP | PLP | Na | Ne | HBay | I |
|---|---|---|---|---|---|---|
| 1. Bacalito blanco | 31 | 64.58 | 1.64 ± 0.48 | 1.30 ± 0.37 | 0.27 ± 0.02 | 0.32 ± 0.28 |
| 2. Bacalito joloche morado | 39 | 81.25 | 1.81 ± 0.39 | 1.48 ± 0.33 | 0.33 ± 0.02 | 0.43 ± 0.25 |
| 3. Bacalito amarillo | 31 | 64.58 | 1.64 ± 0.48 | 1.40 ± 0.40 | 0.29 ± 0.02 | 0.34 ± 0.29 |
| 5. Bacalito blanco | 33 | 68.75 | 1.68 ± 0.46 | 1.48 ± 0.38 | 0.33 ± 0.02 | 0.39 ± 0.29 |
| 6. Quechulteco | 24 | 50 | 1.5 ± 0.50 | 1.32 ± 0.39 | 0.25 ± 0.02 | 0.27 ± 0.29 |
| 7. Bacalito blanco | 28 | 58.33 | 1.58 ± 0.49 | 1.43 ± 0.41 | 0.26 ± 0.03 | 0.34 ± 0.31 |
| 12. Bacalito blanco | 24 | 50 | 1.5 ± 0.50 | 1.32 ± 0.39 | 0.24 ± 0.02 | 0.27 ± 0.30 |
| 18. Blanco | 33 | 68.75 | 1.68 ± 0.46 | 1.46 ± 0.40 | 0.33 ± 0.02 | 0.38 ± 0.29 |
| 20. Bacalito crema | 29 | 60.42 | 1.60 ± 0.49 | 1.45 ± 0.40 | 0.28 ± 0.03 | 0.36 ± 0.30 |
| 22. Bacalito Blanco | 39 | 81.25 | 1.81 ± 0.39 | 1.56 ± 0.40 | 0.36 ± 0.02 | 0.45 ± 0.26 |
| 23. Bacalito blanco | 27 | 56.25 | 1.56 ± 0.50 | 1.34 ± 0.38 | 0.23 ± 0.02 | 0.29 ± 0.29 |
| 24. Pinto | 29 | 60.42 | 1.60 ± 0.49 | 1.30 ± 0.36 | 0.23 ± 0.02 | 0.27 ± 0.27 |
| 25. Bacalito blanco | 30 | 62.5 | 1.62 ± 0.48 | 1.43 ± 0.40 | 0.28 ± 0.02 | 0.35 ± 0.30 |
| 26. Bacalito blanco | 29 | 60.42 | 1.60 ± 0.49 | 1.42 ± 0.42 | 0.28 ± 0.03 | 0.34 ± 0.30 |
| 27. Pinto | 37 | 77.08 | 1.77 ± 0.42 | 1.53 ± 0.38 | 0.33 ± 0.02 | 0.44 ± 0.27 |
| 28. Bacalito blanco | 40 | 83.33 | 1.83 ± 0.37 | 1.51 ± 0.33 | 0.35 ± 0.02 | 0.45 ± 0.23 |
| 29. Bacalito blanco | 36 | 75 | 1.75 ± 0.43 | 1.49 ± 0.38 | 0.31 ± 0.02 | 0.41 ± 0.27 |
| Promedio | 31 | 66 | 1.66 ± 0.46 | 1.43 ± 0.38 | 0.29 ± 0.01 | 0.36 ± 0.28 |
Disclaimer/Publisher’s Note: The statements, opinions and data contained in all publications are solely those of the individual author(s) and contributor(s) and not of MDPI and/or the editor(s). MDPI and/or the editor(s) disclaim responsibility for any injury to people or property resulting from any ideas, methods, instructions or products referred to in the content. |
© 2025 by the authors. Licensee MDPI, Basel, Switzerland. This article is an open access article distributed under the terms and conditions of the Creative Commons Attribution (CC BY) license (https://creativecommons.org/licenses/by/4.0/).
Share and Cite
Hernández, E.d.l.C.; Andueza-Noh, R.H.; Latournerie-Moreno, L.; Ruiz-Sanchez, E.; Gordillo Ruiz, M.C.; Pérez, G.R. Diversity and Genetic Structure of Maize Landraces Cultivated in the Zoque Region from Chiapas, Mexico. Diversity 2025, 17, 159. https://doi.org/10.3390/d17030159
Hernández EdlC, Andueza-Noh RH, Latournerie-Moreno L, Ruiz-Sanchez E, Gordillo Ruiz MC, Pérez GR. Diversity and Genetic Structure of Maize Landraces Cultivated in the Zoque Region from Chiapas, Mexico. Diversity. 2025; 17(3):159. https://doi.org/10.3390/d17030159
Chicago/Turabian StyleHernández, Eduardo de la Cruz, Rubén H. Andueza-Noh, Luis Latournerie-Moreno, Esau Ruiz-Sanchez, Mercedes C. Gordillo Ruiz, and Gilberto Rodríguez Pérez. 2025. "Diversity and Genetic Structure of Maize Landraces Cultivated in the Zoque Region from Chiapas, Mexico" Diversity 17, no. 3: 159. https://doi.org/10.3390/d17030159
APA StyleHernández, E. d. l. C., Andueza-Noh, R. H., Latournerie-Moreno, L., Ruiz-Sanchez, E., Gordillo Ruiz, M. C., & Pérez, G. R. (2025). Diversity and Genetic Structure of Maize Landraces Cultivated in the Zoque Region from Chiapas, Mexico. Diversity, 17(3), 159. https://doi.org/10.3390/d17030159

