Arbuscular Mycorrhizal Fungal Community Assembly and Network Stability Across Urban Green Space Types in Heavy Metal-Contaminated Soils
Abstract
1. Introduction
2. Materials and Methods
2.1. Study Site
2.2. Sampling and Analysis
2.3. Soil Physical and Chemical Analysis
2.4. DNA Extraction, Amplification, and Sequencing
2.5. Identification of Generalists and Specialists
2.6. Statistical Analysis
3. Results
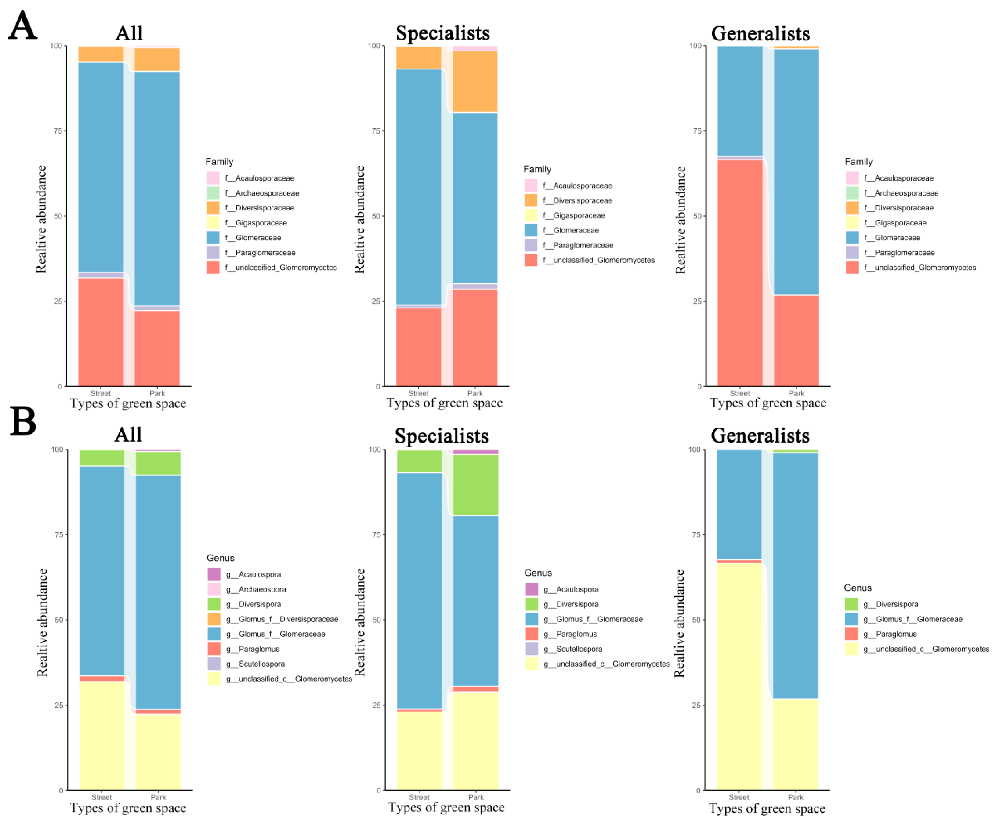
3.1. Composition and Diversity of AMF Under Heavy-Metal Pollution Across Various Types of Green Spaces
3.2. Influence of Environmental Factors on AMF Communities Under Heavy-Metal Pollution Across Various Types of Green Spaces
3.3. Community Assembly Processes of AMF Under Heavy-Metal Pollution Across Various Types of Green Spaces
3.4. Co-Occurrence Networks and Stability of AMF Under Heavy-Metal Pollution Across Various Types of Green Spaces
4. Discussion
4.1. Community Structure and Diversity of AMF Vary Significantly Among Different Types of Green Spaces
4.2. Different Environmental Drivers Shaped the AMF Community Composition in Various Types of Green Spaces
4.3. Stochastic Processes Dominate the Community Assembly of AMF in Greenbelts Contaminated by Heavy Metals
4.4. Specialists Play a More Crucial Role in Network Stability than Generalists
5. Conclusions
Supplementary Materials
Author Contributions
Funding
Institutional Review Board Statement
Informed Consent Statement
Data Availability Statement
Conflicts of Interest
References
- Groffman, P.M.; Williams, C.O.; Pouyat, R.V.; Band, L.E.; Yesilonis, I.D. Nitrate Leaching and Nitrous Oxide Flux in Urban Forests and Grasslands. J. Environ. Qual. 2009, 38, 1848–1860. [Google Scholar] [CrossRef]
- Astell-Burt, T.; Feng, X.Q. Urban green space, tree canopy and prevention of cardiometabolic diseases: A multilevel longitudinal study of 46 786 Australians. Int. J. Epidemiol. 2020, 49, 926–933. [Google Scholar] [CrossRef]
- Wang, Q.; Jin, T.; Fu, Y.; Chen, B.; Crotty, F.; Murray, P.J.; Yu, S.; Xu, C.; Liu, W. Spatial change in glomalin-related soil protein and its relationships with soil enzyme activities and microbial community structures during urbanization in Nanchang, China. Geoderma 2023, 434, 116476. [Google Scholar] [CrossRef]
- Zeng, Y.; Bi, C.; Jia, J.; Deng, L.; Chen, Z. Impact of intensive land use on heavy metal concentrations and ecological risks in an urbanized river network of Shanghai. Ecol. Indic. 2020, 116, 106501. [Google Scholar] [CrossRef]
- Kabir, M.H.; Rashid, M.H.; Wang, Q.; Wang, W.; Lu, S.; Yonemochi, S. Determination of Heavy Metal Contamination and Pollution Indices of Roadside Dust in Dhaka City, Bangladesh. Processes 2021, 9, 1732. [Google Scholar] [CrossRef]
- Chen, X.; Zhang, H.; Wong, C.U.I.; Li, F.; Xie, S. Assessment of Heavy Metal Contamination and Ecological Risk in Soil within the Zheng-Bian-Luo Urban Agglomeration. Processes 2024, 12, 996. [Google Scholar] [CrossRef]
- Kuang, Y.; Chen, X.; Zhu, C. Characteristics of Soil Heavy Metal Pollution and Health Risks in Chenzhou City. Processes 2024, 12, 623. [Google Scholar] [CrossRef]
- Grierson, J.; Flies, E.J.; Bissett, A.; Ammitzboll, H.; Jones, P. Which soil microbiome? Bacteria, fungi, and protozoa communities show different relationships with urban green space type and use-intensity. Sci. Total Environ. 2023, 863, 160468. [Google Scholar] [CrossRef]
- Huang, X.-R.; Neilson, R.; Yang, L.-Y.; Deng, J.-J.; Zhou, S.-Y.-D.; Li, H.; Zhu, Y.-G.; Yang, X.-R. Urban greenspace types influence the microbial community assembly and antibiotic resistome more in the phyllosphere than in the soil. Chemosphere 2023, 338, 139533. [Google Scholar] [CrossRef]
- Lin, L.; Chen, Y.; Qu, L.; Zhang, Y.; Ma, K. Cd heavy metal and plants, rather than soil nutrient conditions, affect soil arbuscular mycorrhizal fungal diversity in green spaces during urbanization. Sci. Total Environ. 2020, 726, 138594. [Google Scholar] [CrossRef]
- Lin, X.Y.; Han, X.M.; Yang, J.D.; Liu, F.Y.; Li, Y.Y.; Chen, Z.J. Network of Soil Fungi and the Microfauna Community under Diverse Anthropic Disturbances under Chrysopogon zizanioides Planting in the Reservoir. Plants 2024, 13, 393. [Google Scholar] [CrossRef] [PubMed]
- Liu, J.; Xu, Y.; Si, Y.J.; Li, B.Q.; Chen, P.; Wu, L.L.; Guo, P.; Ji, R.Q. The Diverse Mycorrizal Morphology of Rhododendron dauricum, the Fungal Communities Structure and Dynamics from the Mycorrhizosphere. J. Fungi 2024, 10, 65. [Google Scholar] [CrossRef]
- Egan, C.P.; Callaway, R.M.; Hart, M.M.; Pither, J.; Klironomos, J. Phylogenetic structure of arbuscular mycorrhizal fungal communities along an elevation gradient. Mycorrhiza 2017, 27, 273–282. [Google Scholar] [CrossRef]
- Liu, Z.; Fang, J.; Song, B.; Yang, Y.; Yu, Z.; Hu, J.; Dong, K.; Takahashi, K.; Adams, J.M. Stochastic processes dominate soil arbuscular mycorrhizal fungal community assembly along an elevation gradient in central Japan. Sci. Total Environ. 2023, 855, 158941. [Google Scholar] [CrossRef]
- Dumbrell, A.J.; Ashton, P.D.; Aziz, N.; Feng, G.; Nelson, M.; Dytham, C.; Fitter, A.H.; Helgason, T. Distinct seasonal assemblages of arbuscular mycorrhizal fungi revealed by massively parallel pyrosequencing. New Phytol. 2011, 190, 794–804. [Google Scholar] [CrossRef]
- Xie, T.; Lin, Y.; Li, X. Responses of the arbuscular mycorrhizal fungi community to warming coupled with increased drought in an arid desert region. Geoderma 2024, 441, 116744. [Google Scholar] [CrossRef]
- Miransari, M. Contribution of arbuscular mycorrhizal symbiosis to plant growth under different types of soil stress. Plant Biol. 2010, 12, 563–569. [Google Scholar] [CrossRef]
- Garg, N.; Chandel, S. Role of Arbuscular Mycorrhizal (AM) Fungi on Growth, Cadmium Uptake, Osmolyte, and Phytochelatin Synthesis in Cajanus cajan (L.) Millsp Under NaCl and Cd Stresses. J. Plant Growth Regul. 2012, 31, 292–308. [Google Scholar] [CrossRef]
- Pholchan, M.K.; Baptista, J.d.C.; Davenport, R.J.; Sloan, W.T.; Curtis, T.P. Microbial community assembly, theory and rare functions. Front. Microbiol. 2013, 4, 68. [Google Scholar] [CrossRef] [PubMed]
- Qian, X.; Li, S.; Wu, B.; Wang, Y.; Ji, N.; Yao, H.; Cai, H.; Shi, M.; Zhang, D. Mainland and island populations of Mussaenda kwangtungensis differ in their phyllosphere fungal community composition and network structure. Sci. Rep. 2020, 10, 952. [Google Scholar] [CrossRef] [PubMed]
- Wei, X.L.Y.; Tian, X.R.; Zhao, K.; Yu, X.M.; Chen, Q.; Zhang, L.Z.; Liao, D.C.; Penttinen, P.; Gu, Y.F. Bacterial community in the buckwheat rhizosphere responds more sensitively to single microplastics in lead-contaminated soil compared to the arbuscular mycorrhizal fungi community. Ecotoxicol. Environ. Saf. 2024, 281, 116683. [Google Scholar] [CrossRef]
- Bell, T.H.; Bell, T. Many roads to bacterial generalism. Fems Microbiol. Ecol. 2021, 97, fiaa240. [Google Scholar] [CrossRef]
- Yang, Z.; Dai, H.; Huang, Y.; Dong, B.; Fu, S.; Zhang, C.; Li, X.; Tan, Y.; Zhang, X.; Zhang, X. Driving mechanisms of soil bacterial α and (3 diversity under long-term nitrogen addition: Subtractive heterogenization based on the environment selection. Geoderma 2024, 445, 116886. [Google Scholar] [CrossRef]
- Sexton, J.P.; Montiel, J.; Shay, J.E.; Stephens, M.R.; Slatyer, R.A. Evolution of Ecological Niche Breadth. In Annual Review of Ecology, Evolution, and Systematics; Futuyma, D.J., Ed.; Annual Reviews: San Mateo, CA, USA, 2017; Volume 48, pp. 183–206. [Google Scholar]
- Xu, Q.; Luo, G.; Guo, J.; Xiao, Y.; Zhang, F.; Guo, S.; Ling, N.; Shen, Q. Microbial generalist or specialist: Intraspecific variation and dormancy potential matter. Mol. Ecol. 2022, 31, 161–173. [Google Scholar] [CrossRef] [PubMed]
- Chen, Y.-J.; Leung, P.M.; Wood, J.L.; Bay, S.K.; Hugenholtz, P.; Kessler, A.J.; Shelley, G.; Waite, D.W.; Franks, A.E.; Cook, P.L.M.; et al. Metabolic flexibility allows bacterial habitat generalists to become dominant in a frequently disturbed ecosystem. ISME J. 2021, 15, 2986–3004. [Google Scholar] [CrossRef]
- Szekely, A.J.; Langenheder, S. The importance of species sorting differs between habitat generalists and specialists in bacterial communities. Fems Microbiol. Ecol. 2014, 87, 102–112. [Google Scholar] [CrossRef]
- Mo, Y.; Zhang, W.; Wilkinson, D.M.; Yu, Z.; Xiao, P.; Yang, J. Biogeography and co-occurrence patterns of bacterial generalists and specialists in three subtropical marine bays. Limnol. Oceanogr. 2021, 66, 793–806. [Google Scholar] [CrossRef]
- Zheng, W.; Feng, G.; Liang, K.; Wang, T.; Lv, F.; Zhang, X.; Li, Z.; Zhai, B. SOC mediates the contribution of generalists and specialists to changes in soil nirK bacterial diversity: Evidence from apple orchards in main production areas of China. Appl. Soil Ecol. 2023, 182, 104713. [Google Scholar] [CrossRef]
- Powell, J.R.; Rillig, M.C. Biodiversity of arbuscular mycorrhizal fungi and ecosystem function. New Phytol. 2018, 220, 1059–1075. [Google Scholar] [CrossRef]
- Castillo, C.G.; Borie, F.; Oehl, F.; Sieverding, E. Arbuscular mycorrhizal fungi biodiversity: Prospecting in Southern-Central zone of Chile. A review. J. Soil Sci. Plant Nutr. 2016, 16, 400–422. [Google Scholar] [CrossRef]
- Xu, Q.; Vandenkoornhuyse, P.; Li, L.; Guo, J.; Zhu, C.; Guo, S.; Ling, N.; Shen, Q. Microbial generalists and specialists differently contribute to the community diversity in farmland soils. J. Adv. Res. 2022, 40, 17–27. [Google Scholar] [CrossRef]
- Hu, A.; Wang, H.; Cao, M.; Rashid, A.; Li, M.; Yu, C.-P. Environmental Filtering Drives the Assembly of Habitat Generalists and Specialists in the Coastal Sand Microbial Communities of Southern China. Microorganisms 2019, 7, 598. [Google Scholar] [CrossRef]
- Sun, M.; Li, M.; Zhou, Y.; Liu, J.; Shi, W.; Wu, X.; Xie, B.; Deng, Y.; Gao, Z. Nitrogen deposition enhances the deterministic process of the prokaryotic community and increases the complexity of the microbial co-network in coastal wetlands. Sci. Total Environ. 2023, 856, 158939. [Google Scholar] [CrossRef] [PubMed]
- Liu, S.; Yu, H.; Yu, Y.; Huang, J.; Zhou, Z.; Zeng, J.; Chen, P.; Xiao, F.; He, Z.; Yan, Q. Ecological stability of microbial communities in Lake Donghu regulated by keystone taxa. Ecol. Indic. 2022, 136, 108695. [Google Scholar] [CrossRef]
- Ceola, G.; Goss-Souza, D.; Alves, J.; Alves da Silva, A.; Sturmer, S.L.; Baretta, D.; Sousa, J.P.; Klauberg-Filho, O. Biogeographic Patterns of Arbuscular Mycorrhizal Fungal Communities Along a Land-Use Intensification Gradient in the Subtropical Atlantic Forest Biome. Microb. Ecol. 2021, 82, 942–960. [Google Scholar] [CrossRef]
- Ma, Y.; Zhang, H.; Wang, D.; Guo, X.; Yang, T.; Xiang, X.; Walder, F.; Chu, H. Differential Responses of Arbuscular Mycorrhizal Fungal Communities to Long-Term Fertilization in the Wheat Rhizosphere and Root Endosphere. Appl. Environ. Microbiol. 2021, 87, e00349-21. [Google Scholar] [CrossRef]
- Wang, H.; Feng, Y.; Zhang, Q.; Zou, M.; Li, T.; Ai, L.; Wang, H. Urban greenspace types and climate factors jointly drive the microbial community structure and co-occurrence network. Sci. Rep. 2024, 14, 16042. [Google Scholar] [CrossRef] [PubMed]
- Wang, H.; Huang, L.; Hu, J.; Yang, H.; Guo, W. Effect of Urbanization on the River Network Structure in Zhengzhou City, China. Int. J. Environ. Res. Public Health 2022, 19, 2464. [Google Scholar] [CrossRef]
- Jiang, L.G.; Liu, Y. Spatiotemporal Dynamics of COVID-19 Pandemic City Lockdown: Insights From Nighttime Light Remote Sensing. Geohealth 2024, 8, e2024GH001034. [Google Scholar] [CrossRef]
- News, Z. Zhengzhou’s New Green Space Has Fallen for the First Time, and It’s Because…. Available online: https://new.qq.com/rain/a/20230227A0310P00 (accessed on 23 May 2023).
- Yang, Y.; Ma, J.; Liu, H.; Song, L.; Cao, W.; Ren, Y. Spatial Heterogeneity analysis of urban forest ecosystem services in Zhengzhou City. PLoS ONE 2023, 18, e0286800. [Google Scholar] [CrossRef]
- Zhang, J.; Li, P.K.; Li, L.; Zhao, M.N.; Yan, P.S.; Liu, Y.; Li, W.; Ding, S.Y.; Zhao, Q.H. Soil respiration and carbon sequestration response to short-term fertilization in wheat-maize cropping system in the North China Plain. Soil Tillage Res. 2025, 251, 106536. [Google Scholar] [CrossRef]
- Lu, N.; Xu, X.; Wang, P.; Zhang, P.; Ji, B.; Wang, X. Succession in arbuscular mycorrhizal fungi can be attributed to a chronosequence of Cunninghamia lanceolata. Sci. Rep. 2019, 9, 18057. [Google Scholar] [CrossRef]
- Sui, X.; Zhang, R.; Frey, B.; Yang, L.; Li, M.-H.; Ni, H. Land use change effects on diversity of soil bacterial, Acidobacterial and fungal communities in wetlands of the Sanjiang Plain, northeastern China. Sci. Rep. 2019, 9, 18535. [Google Scholar] [CrossRef] [PubMed]
- Zhang, J.; He, P.; Liu, Y.; Du, W.; Jing, H.; Nie, C. Soil properties and microbial abundance explain variations in N2O fluxes from temperate steppe soil treated with nitrogen and water in Inner Mongolia, China. Appl. Soil Ecol. 2021, 165, 103984. [Google Scholar] [CrossRef]
- Fu, Q.; Shao, Y.; Wang, S.; Liu, F.; Tian, G.; Chen, Y.; Yuan, Z.; Ye, Y. Soil Microbial Distribution Depends on Different Types of Landscape Vegetation in Temperate Urban Forest Ecosystems. Front. Ecol. Evol. 2022, 10, 858254. [Google Scholar] [CrossRef]
- Li, P.K.; Ding, S.Y.; Xin, X.L.; Zhu, A.N.; Ding, S.P.; Mei, Y.; Liu, Y.; Wu, X.Y.; Lu, K.X.; Zhao, Q.H. Ecological niche differentiation of detritivores dominates soil mesofaunal community assembly in a 33-year fertilized cropland. Soil Tillage Res. 2025, 252, 106605. [Google Scholar] [CrossRef]
- Page, A.L. Methods of Soil Analysis: Part 2 Chemical and Microbiological Properties. In Methods of Soil Analysis; American Society of Agronomy, Soil Science Society of America: Madison, WI, USA, 1965. [Google Scholar]
- Ekere, N.R.; Ugbor, M.C.J.; Ihedioha, J.N.; Ukwueze, N.N.; Abugu, H.O. Ecological and potential health risk assessment of heavy metals in soils and food crops grown in abandoned urban open waste dumpsite. J. Environ. Health Sci. Eng. 2020, 18, 711–721. [Google Scholar] [CrossRef]
- Wang, Z.; Pu, W.; Liu, Q.; Zhu, M.; Chen, Q.; Xu, Y.; Zhou, C. Association of Gut Microbiota Composition in Pregnant Women Colonized with Group B Streptococcus with Maternal Blood Routine and Neonatal Blood-Gas Analysis. Pathogens 2022, 11, 1297. [Google Scholar] [CrossRef] [PubMed]
- Luo, Y.F.; Wang, Z.K.; He, Y.L.; Li, G.F.; Lv, X.H.; Zhuang, L. High-throughput sequencing analysis of the rhizosphere arbuscular mycorrhizal fungi (AMF) community composition associated with Ferula sinkiangensis. BMC Microbiol. 2020, 20, 355. [Google Scholar] [CrossRef]
- Zhang, R.; Mu, Y.; Li, X.; Li, S.; Sang, P.; Wang, X.; Wu, H.; Xu, N. Response of the arbuscular mycorrhizal fungi diversity and community in maize and soybean rhizosphere soil and roots to intercropping systems with different nitrogen application rates. Sci. Total Environ. 2020, 740, 139810. [Google Scholar] [CrossRef]
- Li, X.; Peng, X.; Qiao, B.; Peng, M.; Deng, N.; Yu, R.; Tan, Z. Gut-Kidney Impairment Process of Adenine Combined with Folium sennae-Induced Diarrhea: Association with Interactions between Lactobacillus intestinalis, Bacteroides acidifaciens and Acetic Acid, Inflammation, and Kidney Function. Cells 2022, 11, 3261. [Google Scholar] [CrossRef]
- Caporaso, J.G.; Kuczynski, J.; Stombaugh, J.; Bittinger, K.; Bushman, F.D.; Costello, E.K.; Fierer, N.; Pena, A.G.; Goodrich, J.K.; Gordon, J.I.; et al. QIIME allows analysis of high-throughput community sequencing data. Nat. Methods 2010, 7, 335–336. [Google Scholar] [CrossRef] [PubMed]
- Levins, R.A. Evolution in Changing Environments: Some Theoretical Explorations. (MPB-2); Princeton University Press: Princeton, NJ, USA, 1968. [Google Scholar]
- Zhang, J.; Zhang, B.; Liu, Y.; Guo, Y.; Shi, P.; Wei, G. Distinct large-scale biogeographic patterns of fungal communities in bulk soil and soybean rhizosphere in China. Sci. Total Environ. 2018, 644, 791–800. [Google Scholar] [CrossRef]
- Wilson, B.; Hayek, L.-A.C. Distinguishing relative specialist and generalist species in the fossil record. Mar. Micropaleontol. 2015, 119, 7–16. [Google Scholar] [CrossRef]
- Wu, W.; Logares, R.; Huang, B.; Hsieh, C.-h. Abundant and rare picoeukaryotic sub-communities present contrasting patterns in the epipelagic waters of marginal seas in the northwestern Pacific Ocean. Environ. Microbiol. 2017, 19, 287–300. [Google Scholar] [CrossRef]
- Ogola, H.J.O.; Selvarajan, R.; Tekere, M. Local Geomorphological Gradients and Land Use Patterns Play Key Role on the Soil Bacterial Community Diversity and Dynamics in the Highly Endemic Indigenous Afrotemperate Coastal Scarp Forest Biome. Front. Microbiol. 2021, 12, 592725. [Google Scholar] [CrossRef]
- Zhou, X.Y.; Wang, Z.; Liu, W.X.; Fu, Q.J.; Shao, Y.Z.; Liu, F.Q.; Ye, Y.Z.; Chen, Y.; Yuan, Z.L. Distribution Pattern of Woody Plants in a Mountain Forest Ecosystem Influenced by Topography and Monsoons. Forests 2022, 13, 957. [Google Scholar] [CrossRef]
- Zhu, Y.; Tang, Y.; He, H.; Hu, P.; Sun, W.; Jin, M.; Wang, L.; Xu, X. Gut Microbiota Correlates With Clinical Responsiveness to Erythropoietin in Hemodialysis Patients With Anemia. Front. Cell. Infect. Microbiol. 2022, 12, 919352. [Google Scholar] [CrossRef]
- Xing, Y.; Cheng, L.; Zheng, L.; Wu, H.; Tan, Q.; Wang, X.; Tian, Q. Brownification increases the abundance of microorganisms related to carbon and nitrogen cycling in shallow lakes. Environ. Res. 2024, 257, 119243. [Google Scholar] [CrossRef] [PubMed]
- Xi, J.J.; Shao, Y.Z.; Li, Z.H.; Zhao, P.F.; Ye, Y.Z.; Li, W.; Chen, Y.; Yuan, Z.L. Distribution of Woody Plant Species Among Different Disturbance Regimes of Forests in a Temperate Deciduous Broad-Leaved Forest. Front. Plant Sci. 2021, 12, 618524. [Google Scholar] [CrossRef] [PubMed]
- Yuan, Y.X.; Li, X.Y.; Liu, F.Q.; Tian, X.Y.; Shao, Y.Z.; Yuan, Z.L.; Chen, Y. Differences in Soil Microbial Communities across Soil Types in China’s Temperate Forests. Forests 2024, 15, 1110. [Google Scholar] [CrossRef]
- Kuiper, J.J.; van Altena, C.; de Ruiter, P.C.; van Gerven, L.P.A.; Janse, J.H.; Mooij, W.M. Food-web stability signals critical transitions in temperate shallow lakes. Nat. Commun. 2015, 6, 7727. [Google Scholar] [CrossRef] [PubMed]
- Mo, Y.; Peng, F.; Gao, X.; Xiao, P.; Logares, R.; Jeppesen, E.; Ren, K.; Xue, Y.; Yang, J. Low shifts in salinity determined assembly processes and network stability of microeukaryotic plankton communities in a subtropical urban reservoir. Microbiome 2021, 9, 21. [Google Scholar] [CrossRef]
- Djotan, A.K.G.; Matsushita, N.; Fukuda, K. Year-round dynamics of arbuscular mycorrhizal fungi communities in the roots and surrounding soils of Cryptomeria japonica. Mycorrhiza 2024, 34, 119–130. [Google Scholar] [CrossRef] [PubMed]
- Gai, X.; Li, X.; Xing, W.; Zhang, X.; Chen, G. Mechanism insights into amendments enhanced dendroremediation for Cd and Zn-polluted soil: Bacterial co-occurrence networks’ complexity and stability. Geoderma 2024, 451, 117088. [Google Scholar] [CrossRef]
- Chen, Y.; Niu, S.; Li, P.K.; Jia, H.R.; Wang, H.L.; Ye, Y.Z.; Yuan, Z.L. Stand Structure and Substrate Diversity as Two Major Drivers for Bryophyte Distribution in a Temperate Montane Ecosystem. Front. Plant Sci. 2017, 8, 874. [Google Scholar] [CrossRef]
- Guo, Y.; Bei, Q.; Dzomeku, B.M.; Martin, K.; Rasche, F. Genetic diversity and community composition of arbuscular mycorrhizal fungi associated with root and rhizosphere soil of the pioneer plant Pueraria phaseoloides. iMeta 2022, 1, e51. [Google Scholar] [CrossRef]
- Li, J.; Zhao, J.; Liao, X.; Yi, Q.; Zhang, W.; Lin, H.; Liu, K.; Peng, P.; Wang, K. Long-term returning agricultural residues increases soil microbe-nematode network complexity and ecosystem multifunctionality. Geoderma 2023, 430, 116340. [Google Scholar] [CrossRef]
- Zhao, L.; Ma, Y.-M.; Yang, B.; Han, W.-X.; Zhao, W.-H.; Chai, H.-L.; Zhang, Z.-S.; Zhan, Y.-J.; Wang, L.-F.; Xing, Y.; et al. Comparative analysis of microbial communities in different growth stages of Dermacentor nuttalli. Front. Vet. Sci. 2022, 9, 1021426. [Google Scholar] [CrossRef]
- Ning, D.; Deng, Y.; Tiedje, J.M.; Zhou, J. A general framework for quantitatively assessing ecological stochasticity. Proc. Natl. Acad. Sci. USA 2019, 116, 16892–16898. [Google Scholar] [CrossRef]
- Chen, Y.; Shao, Y.; Xi, J.; Yuan, Z.; Ye, Y.; Wang, T. Community Preferences of Woody Plant Species in a Heterogeneous Temperate Forest, China. Front. Ecol. Evol. 2020, 8, 165. [Google Scholar] [CrossRef]
- de Mendonça, B.A.F.; Fernandes, E.I.; do Amaral, E.F.; Schaefer, C. Soils, Geoenvironments and Ecosystem Services of a Protected Area in Western Brazilian Amazonia. An. Acad. Bras. Cienc. 2023, 95, e20221071. [Google Scholar] [CrossRef]
- Xu, D.L.; Yu, X.W.; Chen, J.; Liu, H.J.; Zheng, Y.X.; Qu, H.T.; Bao, Y.Y. Arbuscular Mycorrhizae Fungi Diversity in the Root-Rhizosphere-Soil of Tetraena mongolica, Sarcozygium xanthoxylon, and Nitraria tangutorum Bobr in Western Ordos, China. Agronomy 2023, 13, 1485. [Google Scholar] [CrossRef]
- Ban, Y.; Jiang, Y.; Li, M.; Zhang, X.; Zhang, S.; Wu, Y.; Xu, Z. Homogenous stands of a wetland grass living in heavy metal polluted wetlands harbor diverse consortia of arbuscular mycorrhizal fungi. Chemosphere 2017, 181, 699–709. [Google Scholar] [CrossRef] [PubMed]
- Wu, S.; You, F.; Wu, Z.; Bond, P.; Hall, M.; Huang, L. Molecular diversity of arbuscular mycorrhizal fungal communities across the gradient of alkaline Fe ore tailings, revegetated waste rock to natural soil sites. Environ. Sci. Pollut. Res. 2020, 27, 11968–11979. [Google Scholar] [CrossRef]
- Akhtar, N.; Mannan, M.A.-U. Mycoremediation: Expunging environmental pollutants. Biotechnol. Rep. 2020, 26, e00452. [Google Scholar] [CrossRef]
- Zhang, W.W.; Han, J.G.; Molla, A.; Zuo, S.D.; Ren, Y. The Optimization Strategy of the Existing Urban Green Space Soil Monitoring System in Shanghai, China. Int. J. Environ. Res. Public Health 2021, 18, 4820. [Google Scholar] [CrossRef]
- Weber, S.E.; Diez, J.M.; Andrews, L.V.; Goulden, M.L.; Aronson, E.L.; Allen, M.F. Responses of arbuscular mycorrhizal fungi to multiple coinciding global change drivers. Fungal Ecol. 2019, 40, 62–71. [Google Scholar] [CrossRef]
- Li, D.Y.; Liao, Y.L. Spatial Characteristics of Heavy Metals in Street Dust of Coal Railway Transportation Hubs: A Case Study in Yuanping, China. Int. J. Environ. Res. Public Health 2018, 15, 2662. [Google Scholar] [CrossRef]
- Ma, X.D.; Li, J.P.; Ding, F.C.; Zheng, Y.X.; Chao, L.M.; Liu, H.J.; Liu, X.Y.; Qu, H.T.; Bao, Y.Y. Changes of Arbuscular Mycorrhizal Fungal Community and Glomalin in the Rhizosphere along the Distribution Gradient of Zonal Stipa Populations across the Arid and Semiarid Steppe. Microbiol. Spectr. 2022, 10, e0148922. [Google Scholar] [CrossRef] [PubMed]
- Mao, J.L.; Zheng, Z.K.; Ma, L.Y.; Wang, H.M.; Wang, X.J.; Zhu, F.; Xue, S.G.; Srivastava, P.; Sapsford, D.J. Polymetallic contamination drives indigenous microbial community assembly dominated by stochastic processes at Pb-Zn smelting sites. Sci. Total Environ. 2024, 947, 174575. [Google Scholar] [CrossRef]
- Zhou, J.Q.; Wang, P.S.; Wei, L.; Zhang, J.G.; Li, X.X.; Huang, N.; Liu, G.; Zou, K.; Fan, R.; Liu, L.; et al. Grazing increases the complexity of networks and ecological stochastic processes of mycorrhizal fungi. J. Environ. Manag. 2025, 373, 123933. [Google Scholar] [CrossRef]
- Sun, T.; Li, G.; Mazarji, M.; Delaplace, P.; Yang, X.; Zhang, J.; Pan, J. Heavy metals drive microbial community assembly process in farmland with long-term biosolids application. J. Hazard. Mater. 2024, 468, 133845. [Google Scholar] [CrossRef]
- Zhang, M.; Zhang, T.; Zhou, L.; Lou, W.; Zeng, W.; Liu, T.; Yin, H.; Liu, H.; Liu, X.; Mathivanan, K.; et al. Soil microbial community assembly model in response to heavy metal pollution. Environ. Res. 2022, 213, 113576. [Google Scholar] [CrossRef]
- Zhong, X.; Chen, Z.; Ding, K.; Liu, W.-S.; Baker, A.J.M.; Fei, Y.-H.; He, H.; Wang, Y.; Jin, C.; Wang, S.; et al. Heavy metal contamination affects the core microbiome and assembly processes in metal mine soils across Eastern China. J. Hazard. Mater. 2023, 443, 130241. [Google Scholar] [CrossRef]
- Liu, S.; Shi, Y.; Chen, J.; Zhang, Z.; Cao, H.; Li, W.; Ye, M. Interspecific barrier effect driven by heavy metals makes soil bacterial functional assembly more stochastic. Environ. Res. 2024, 253, 119153. [Google Scholar] [CrossRef] [PubMed]
- Rottjers, L.; Faust, K. From hairballs to hypotheses-biological insights from microbial networks. Fems Microbiol. Rev. 2018, 42, 761–780. [Google Scholar] [CrossRef] [PubMed]
- Ling, F.; Hwang, C.; LeChevallier, M.W.; Andersen, G.L.; Liu, W.-T. Core-satellite populations and seasonality of water meter biofilms in a metropolitan drinking water distribution system. ISME J. 2016, 10, 582–595. [Google Scholar] [CrossRef] [PubMed]
- Jiao, S.; Xu, Y.; Zhang, J.; Hao, X.; Lu, Y. Core Microbiota in Agricultural Soils and Their Potential Associations with Nutrient Cycling. Msystems 2019, 4, e00313-18. [Google Scholar] [CrossRef]
- Saunders, A.M.; Albertsen, M.; Vollertsen, J.; Nielsen, P.H. The activated sludge ecosystem contains a core community of abundant organisms. ISME J. 2016, 10, 11–20. [Google Scholar] [CrossRef]
- Chen, Y.; Zhou, X.; Wang, Z.; Su, X.; Liu, F.; Tian, X.; Ye, Y.; Shao, Y.; Yuan, Z. Cd contamination determined assembly processes and network stability of AM fungal communities in an urban green space ecosystem. Sci. Total Environ. 2023, 899, 166372. [Google Scholar] [CrossRef] [PubMed]







Disclaimer/Publisher’s Note: The statements, opinions and data contained in all publications are solely those of the individual author(s) and contributor(s) and not of MDPI and/or the editor(s). MDPI and/or the editor(s) disclaim responsibility for any injury to people or property resulting from any ideas, methods, instructions or products referred to in the content. |
© 2025 by the authors. Licensee MDPI, Basel, Switzerland. This article is an open access article distributed under the terms and conditions of the Creative Commons Attribution (CC BY) license (https://creativecommons.org/licenses/by/4.0/).
Share and Cite
Niu, L.; Feng, Y.; Lin, J.; Geng, Z.; Shao, Y.; Yuan, Z. Arbuscular Mycorrhizal Fungal Community Assembly and Network Stability Across Urban Green Space Types in Heavy Metal-Contaminated Soils. Diversity 2025, 17, 810. https://doi.org/10.3390/d17120810
Niu L, Feng Y, Lin J, Geng Z, Shao Y, Yuan Z. Arbuscular Mycorrhizal Fungal Community Assembly and Network Stability Across Urban Green Space Types in Heavy Metal-Contaminated Soils. Diversity. 2025; 17(12):810. https://doi.org/10.3390/d17120810
Chicago/Turabian StyleNiu, Lvyuan, Yazhou Feng, Jiao Lin, Zhonghu Geng, Yizhen Shao, and Zhiliang Yuan. 2025. "Arbuscular Mycorrhizal Fungal Community Assembly and Network Stability Across Urban Green Space Types in Heavy Metal-Contaminated Soils" Diversity 17, no. 12: 810. https://doi.org/10.3390/d17120810
APA StyleNiu, L., Feng, Y., Lin, J., Geng, Z., Shao, Y., & Yuan, Z. (2025). Arbuscular Mycorrhizal Fungal Community Assembly and Network Stability Across Urban Green Space Types in Heavy Metal-Contaminated Soils. Diversity, 17(12), 810. https://doi.org/10.3390/d17120810
