Weed Management Reduces Wild Bee Diversity in Cherry Orchards of the Moroccan Middle Atlas
Abstract
1. Introduction
2. Materials & Methods
2.1. Study Site
2.2. Sampling of Flower Visitors
2.3. Impact of Orchard Management on Bee Diversity
2.4. Impact of Orchard Management on Bee Community Composition
2.5. Impact of Orchard Management and Sampling Method on Bee Abundance
2.6. Impact of Color and Orchard Management on Bee Captures in Pan Traps
2.7. Pollinators of Cherry in Ain Leuh
3. Results
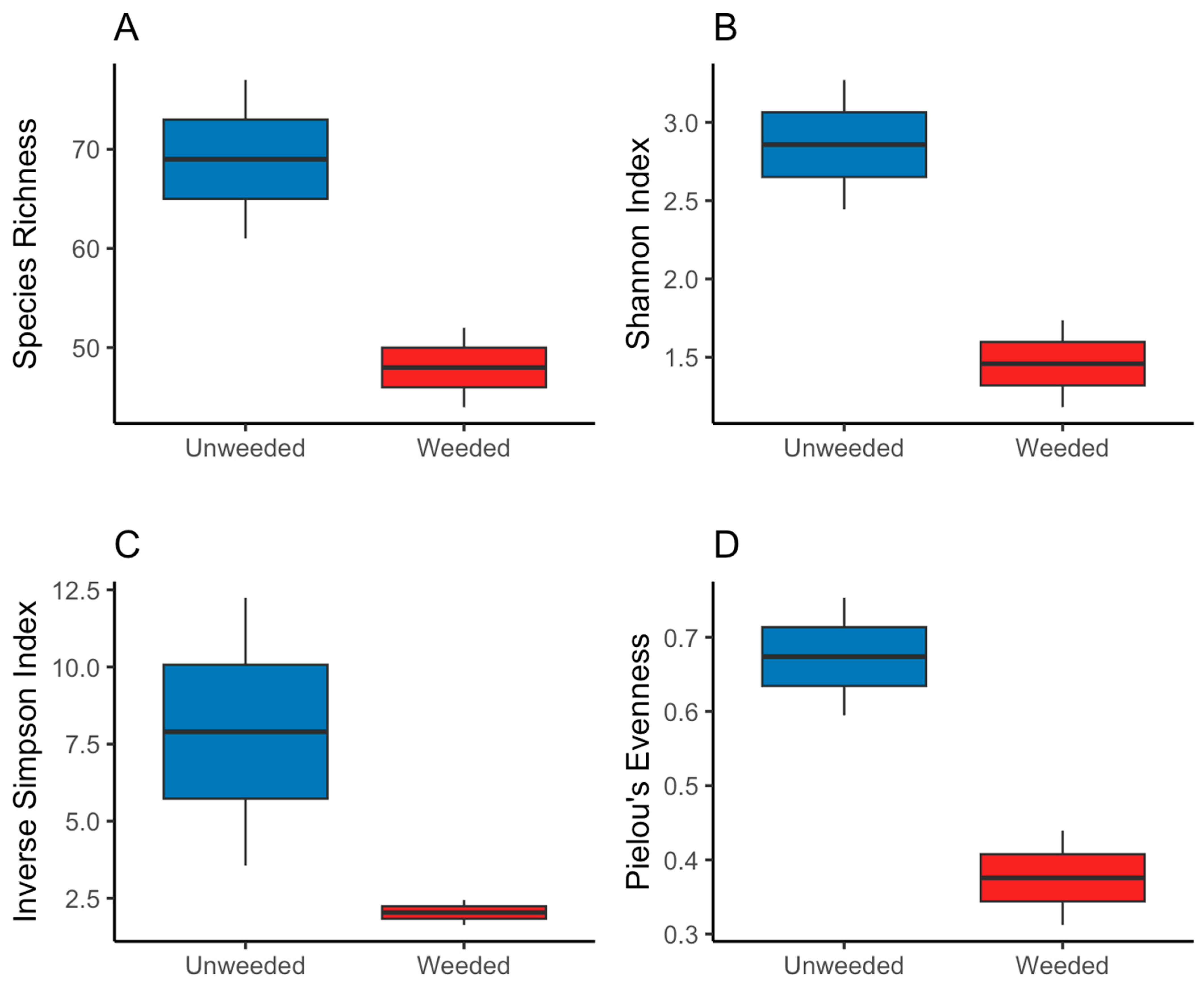
3.1. Impact of Orchard Management on Bee Diversity
3.2. Impact of Orchard Management on Bee Community Composition
3.3. Impact of Orchard Management and Sampling Method on Bee Abundance and Species Richness
3.4. Impact of Pan Trap Color and Orchard Management on Bee Captures
3.5. Pollinators of Cherry in Ain Leuh
4. Discussion
5. Conclusions
Supplementary Materials
Author Contributions
Funding
Data Availability Statement
Acknowledgments
Conflicts of Interest
References
- Klein, A.M.; Vaissière, B.E.; Cane, J.H.; Steffan-Dewenter, I.; Cunningham, S.A.; Kremen, C.; Tscharntke, T. Importance of pollinators in changing landscapes for world crops. Proc. R. Soc. B Biol. Sci. 2007, 274, 303–313. [Google Scholar] [CrossRef]
- Ollerton, J.; Winfree, R.; Tarrant, S. How many flowering plants are pollinated by animals? Oikos 2011, 120, 321–326. [Google Scholar] [CrossRef]
- Bartholomée, O.; Aullo, A.; Becquet, J.; Vannier, C.; Lavorel, S. Pollinator presence in orchards depends on landscape-scale habitats more than in-field flower resources. Agric. Ecosyst. Environ. 2020, 293, 106806. [Google Scholar] [CrossRef]
- Pardo, A.; Borges, P.A.V. Worldwide importance of insect pollination in apple orchards: A review. Agric. Ecosyst. Environ. 2020, 293, 106839. [Google Scholar] [CrossRef]
- Sentil, A.; Fiordaliso, W.; Michez, D. Relation between honey bee abundance and wild bee communities in Moroccan agro-ecosystems. Biodivers. Conserv. 2024, 34, 299–314. [Google Scholar] [CrossRef]
- El-Abdouni, I.; Lhomme, P.; Christmann, S.; Dorchin, A.; Sentil, A.; Pauly, A.; Hamroud, L.; Ihsane, O.; Reverté, S.; Patiny, S.; et al. Diversity and Relative Abundance of Insect Pollinators in Moroccan Agroecosystems. Front. Ecol. Evol. 2022, 10, 866581. [Google Scholar] [CrossRef]
- Lhomme, P.; Michez, D.; Christmann, S.; Scheuchl, E.; El-Abdouni, I.; Hamroud, L.; Ihsane, O.; Sentil, A.; Smaili, M.C.; Schwarz, M.; et al. The wild bees (Hymenoptera: Apoidea) of Morocco. Zootaxa 2020, 4892, 1–159. [Google Scholar] [CrossRef]
- Sabbahi, R. Economic value of insect pollination of major crops in Morocco. Int. J. Trop. Insect Sci. 2022, 42, 1275–1284. [Google Scholar] [CrossRef]
- Osterman, J.; Mateos-Fierro, Z.; Siopa, C.; Castro, H.; Castro, S.; Eeraerts, M. The impact of pollination requirements, pollinators, landscape and management practices on pollination in sweet and sour cherry: A systematic review. Agric. Ecosyst. Environ. 2024, 374, 109163. [Google Scholar] [CrossRef]
- Free, J.B. Insect Pollination of Crops; Academic Press: London, UK; New York, NY, USA, 1970; 768p, ISBN 012266650X. [Google Scholar]
- Brittain, C.; Williams, N.; Kremen, C.; Klein, A. Synergistic effects of non-Apis bees and honey bees for pollination services. Proc. R. Soc. B Biol. Sci. 2013, 280, 20122767. [Google Scholar] [CrossRef]
- Holzschuh, A.; Dudenhöffer, J.H.; Tscharntke, T. Landscapes with wild bee habitats enhance pollination, fruit set and yield of sweet cherry. Biol. Conserv. 2012, 153, 101–107. [Google Scholar] [CrossRef]
- Reilly, J.R.; Artz, D.R.; Biddinger, D.; Bobiwash, K.; Boyle, N.K.; Brittain, C.; Brokaw, J.; Campbell, J.W.; Daniels, J.; Elle, E.; et al. Crop production in the USA is frequently limited by a lack of pollinators. Proc. R. Soc. B Biol. Sci. 2020, 287, 0922. [Google Scholar] [CrossRef]
- Potts, S.G.; Imperatriz-Fonseca, V.L.; Ngo, H.T.; Biesmeijer, J.C.; Breeze, T.D.; Dicks, L.V.; Garibaldi, L.A.; Hill, R.; Settele, J.; Vanbergen, A.J. Summary for Policymakers of the Assessment Report of the Intergovernmental Science-Policy Platform on Biodiversity and Ecosystem Services on Pollinators, Pollination and Food Production; Intergovernmental Science-Policy Platform on Biodiversity and Ecosystem Services: Bonn, Germany, 2016; ISBN 978-92-807-3568-0. [Google Scholar]
- Hallmann, C.A.; Sorg, M.; Jongejans, E.; Siepel, H.; Hofland, N.; Schwan, H.; Stenmans, W.; Müller, A.; Sumser, H.; Hörren, T.; et al. More than 75 percent decline over 27 years in total flying insect biomass in protected areas. PLoS ONE 2017, 12, e0185809. [Google Scholar] [CrossRef]
- Geppert, C.; Hass, A.; Földesi, R.; Donkó, B.; Akter, A.; Tscharntke, T.; Batáry, P. Agri-environment schemes enhance pollinator richness and abundance but bumblebee reproduction depends on field size. J. Appl. Ecol. 2020, 57, 1818–1828. [Google Scholar] [CrossRef]
- Haaland, C.; Naisbit, R.E.; Bersier, L.F. Sown wildflower strips for insect conservation: A review. Insect Conserv. Divers. 2011, 4, 60–80. [Google Scholar] [CrossRef]
- Albrecht, M.; Kleijn, D.; Williams, N.M.; Tschumi, M.; Blaauw, B.R.; Bommarco, R.; Campbell, A.J.; Dainese, M.; Drummond, F.A.; Entling, M.H.; et al. The effectiveness of flower strips and hedgerows on pest control, pollination services and crop yield: A quantitative synthesis. Ecol. Lett. 2020, 23, 1488–1498. [Google Scholar] [CrossRef]
- Williams, N.M.; Ward, K.L.; Pope, N.; Isaacs, R.; Wilson, J.; May, E.A.; Ellis, J.; Daniels, J.; Pence, A.; Ullmann, K.; et al. Native wildflower plantings support wild bee abundance and diversity in agricultural landscapes across the United States. Ecol. Appl. 2015, 25, 2119–2131. [Google Scholar] [CrossRef]
- Ganser, D.; Mayr, B.; Albrecht, M.; Knop, E. Wildflower strips enhance pollination in adjacent strawberry crops at the small scale. Ecol. Evol. 2018, 8, 11775–11784. [Google Scholar] [CrossRef]
- Ganser, D.; Albrecht, M.; Knop, E. Wildflower strips enhance wild bee reproductive success. J. Appl. Ecol. 2021, 58, 486–495. [Google Scholar] [CrossRef]
- Blaauw, B.R.; Isaacs, R. Flower plantings increase wild bee abundance and the pollination services provided to a pollination-dependent crop. J. Appl. Ecol. 2014, 51, 890–898. [Google Scholar] [CrossRef]
- Carreck, N.L.; Williams, I.H. Food for insect pollinators on farmland: Insect visits to flowers of annual seed mixtures. J. Insect Conserv. 2002, 6, 13–23. [Google Scholar] [CrossRef]
- Balfour, N.J.; Ratnieks, F.L.W. The disproportionate value of ‘weeds’ to pollinators and biodiversity. J. Appl. Ecol. 2022, 59, 1209–1218. [Google Scholar] [CrossRef]
- Kremen, C.; Williams, N.M.; Thorp, R.W. Crop pollination from native bees at risk from agricultural intensification. Agric. Water Manag. 2002, 96, 1485–1496. [Google Scholar] [CrossRef]
- Akdime, H.; Boukhira, S.; Mansouri, L.E.; Youbi, A.H.E.; Bousta, D. Ethnobotanical Study and Traditional Knowledge of Medicinal Plants in Ain Leuh Region (Middle-Atlas of Morocco). Am. J. Adv. Drug Deliv. 2015, 3, 248–263. [Google Scholar]
- El Baji, M.; Nohaissi, Z.; En-Nahli, S.; Hanine, H.; Kodad, O. Year and genotype effects on the fruit physico-chemical traits of sweet cherry cultivated under Southern Mediterranean climate in Morocco. E3S Web Conf. 2020, 183, 03004. [Google Scholar] [CrossRef]
- Westphal, C.; Bommarco, R.; Carré, G.; Lamborn, E.; Morison, N.; Petanidou, T.; Potts, S.G.; Roberts, S.P.M.; Szentgyörgyi, H.; Szentgyörgyi, S.; et al. Measuring bee diversity in different European habitats and biogeographical regions. Ecol. Monogr. 2008, 78, 653–671. [Google Scholar] [CrossRef]
- Leclercq, N.; Marshall, L.; Weekers, T.; Anselmo, A.; Benda, D.; Bevk, D.; Bogusch, P.; Cejas, D.; Drepper, B.; Galloni, M.; et al. A comparative analysis of crop pollinator survey methods along a large-scale climatic gradient. Agric. Ecosyst. Environ. 2022, 329, 107871. [Google Scholar] [CrossRef]
- Michez, D.; Rasmont, P.; Terzo, M.; Vereecken, N.J. Bees of Europe. In Hymenoptera of Europe; NAP Editions: Paris, France, 2019; Volume 1, 552p, ISBN 978-2-913688-34-6. [Google Scholar]
- Oksanen, J.; Simpson, G.L.; Blanchet, F.G.; Kindt, R.; Legendre, P.; Minchin, P.R.; O’Hara, R.B.; Solymos, P.; Stevens, M.H.H.; Szoecs, E.; et al. Vegan: Community Ecology Package. R package Version 2.4-3. 2022. Available online: https://github.com/vegandevs/vegan (accessed on 2 September 2025).
- Ricotta, C.; Podani, J. On some properties of the Bray-Curtis dissimilarity and their ecological meaning. Ecol. Complex. 2017, 31, 201–205. [Google Scholar] [CrossRef]
- Bürkner, P.C. Bayesian Item Response Modeling in R with brms and Stan. J. Stat. Softw. 2021, 100, 1–54. [Google Scholar] [CrossRef]
- Chen, H. Generate High-Resolution Venn and Euler Plots: Package ‘VennDiagram’. 2025. Available online: https://cran.r-project.org/web/packages/VennDiagram/VennDiagram.pdf (accessed on 2 September 2025).
- Eeraerts, M.; Isaacs, R. Different Semi-Natural Habitat Types Provide Complementary Nesting Resources for Wild Bees. J. Pollinat. Ecol. 2022, 32, 101–107. [Google Scholar] [CrossRef]
- Requier, F.; Odoux, J.F.; Tamic, T.; Moreau, N.; Henry, M.; Decourtye, A. Honey bee diet in intensive farmland habitats reveals an unexpectedly high flower richness and a major role of weeds. Ecol. Appl. 2015, 25, 881–890. [Google Scholar] [CrossRef]
- Mateos-Fierro, Z.; Garratt, M.P.D.; Fountain, M.T.; Ashbrook, K.; Westbury, D.B. Wildflower strip establishment for the delivery of ecosystem services in sweet cherry orchards. Asp. Appl. Biol. Ecosyst. Habitat. Manag. Res. Policy Pract. 2018, 139, 179–186. [Google Scholar] [CrossRef]
- Tschumi, M.; Albrecht, M.; Dubsky, V.; Herzog, F.; Jacot, K. Les bandes fleuries pour auxiliaires limitent les ravageurs dans les grandes cultures. Rech. Agron. Suisse 2016, 7, 260–267. [Google Scholar]
- Kleijn, D.; Bommarco, R.; Fijen, T.P.M.; Garibaldi, L.A.; Potts, S.G.; van der Putten, W.H. Ecological Intensification: Bridging the Gap between Science and Practice. Trends Ecol. Evol. 2019, 34, 154–166. [Google Scholar] [CrossRef] [PubMed]
- Templ, B.; Mózes, E.; Templ, M.; Földesi, R.; Szirák, Á.; Báldi, A.; Kovács-Hostyánszki, A. Habitat-dependency of transect walk and pan trap methods for bee sampling in farmlands. J. Apic. Sci. 2019, 63, 93–115. [Google Scholar] [CrossRef]
- Lezzeri, M.; Lozano, V.; Brundu, G.; Floris, I.; Pusceddu, M.; Quaranta, M.; Satta, A. Standardized transect walks outperform pan traps in assessing wild bee community in a Mediterranean protected area (Asinara National Park, Italy). Biodivers. Conserv. 2024, 33, 1–16. [Google Scholar] [CrossRef]
- Eeraerts, M.; Vanderhaegen, R.; Smagghe, G.; Meeus, I. Pollination efficiency and foraging behaviour of honey bees and non-Apis bees to sweet cherry. Agric. For. Entomol. 2020, 22, 75–82. [Google Scholar] [CrossRef]
- Hamroud, L.; Lhomme, P.; Christmann, S.; Sentil, A.; Michez, D.; Rasmont, P. Conserving wild bees for crop pollination: Efficiency of bee hotels in Moroccan cherry orchards (Prunus avium). J. Apic. Res. 2022, 62, 1123–1131. [Google Scholar] [CrossRef]
- Zhang, H.; Huang, J.; Williams, P.H.; Vaissière, B.E.; Zhou, Z.; Gai, Q.; Dong, J.; An, J. Managed bumblebees outperform honeybees in increasing peach fruit set in China: Different limiting processes with different pollinators. PLoS ONE 2015, 10, e0121143. [Google Scholar] [CrossRef] [PubMed]








Disclaimer/Publisher’s Note: The statements, opinions and data contained in all publications are solely those of the individual author(s) and contributor(s) and not of MDPI and/or the editor(s). MDPI and/or the editor(s) disclaim responsibility for any injury to people or property resulting from any ideas, methods, instructions or products referred to in the content. |
© 2025 by the authors. Licensee MDPI, Basel, Switzerland. This article is an open access article distributed under the terms and conditions of the Creative Commons Attribution (CC BY) license (https://creativecommons.org/licenses/by/4.0/).
Share and Cite
Bencharki, Y.; Michez, D.; Ghisbain, G.; Baum, M.; Lhomme, P. Weed Management Reduces Wild Bee Diversity in Cherry Orchards of the Moroccan Middle Atlas. Diversity 2025, 17, 782. https://doi.org/10.3390/d17110782
Bencharki Y, Michez D, Ghisbain G, Baum M, Lhomme P. Weed Management Reduces Wild Bee Diversity in Cherry Orchards of the Moroccan Middle Atlas. Diversity. 2025; 17(11):782. https://doi.org/10.3390/d17110782
Chicago/Turabian StyleBencharki, Youssef, Denis Michez, Guillaume Ghisbain, Michael Baum, and Patrick Lhomme. 2025. "Weed Management Reduces Wild Bee Diversity in Cherry Orchards of the Moroccan Middle Atlas" Diversity 17, no. 11: 782. https://doi.org/10.3390/d17110782
APA StyleBencharki, Y., Michez, D., Ghisbain, G., Baum, M., & Lhomme, P. (2025). Weed Management Reduces Wild Bee Diversity in Cherry Orchards of the Moroccan Middle Atlas. Diversity, 17(11), 782. https://doi.org/10.3390/d17110782

