The Effect of Light on Plant Growth and Physiology of Acmella radicans and A. paniculata in China
Abstract
1. Introduction
2. Methods
2.1. Study Species
2.2. Experiment Design and Data Collection
2.3. Statistical Analysis
3. Results
3.1. Effects of Species and Light on Plant Growth Parameters of Acmella radicans and Acmella paniculata
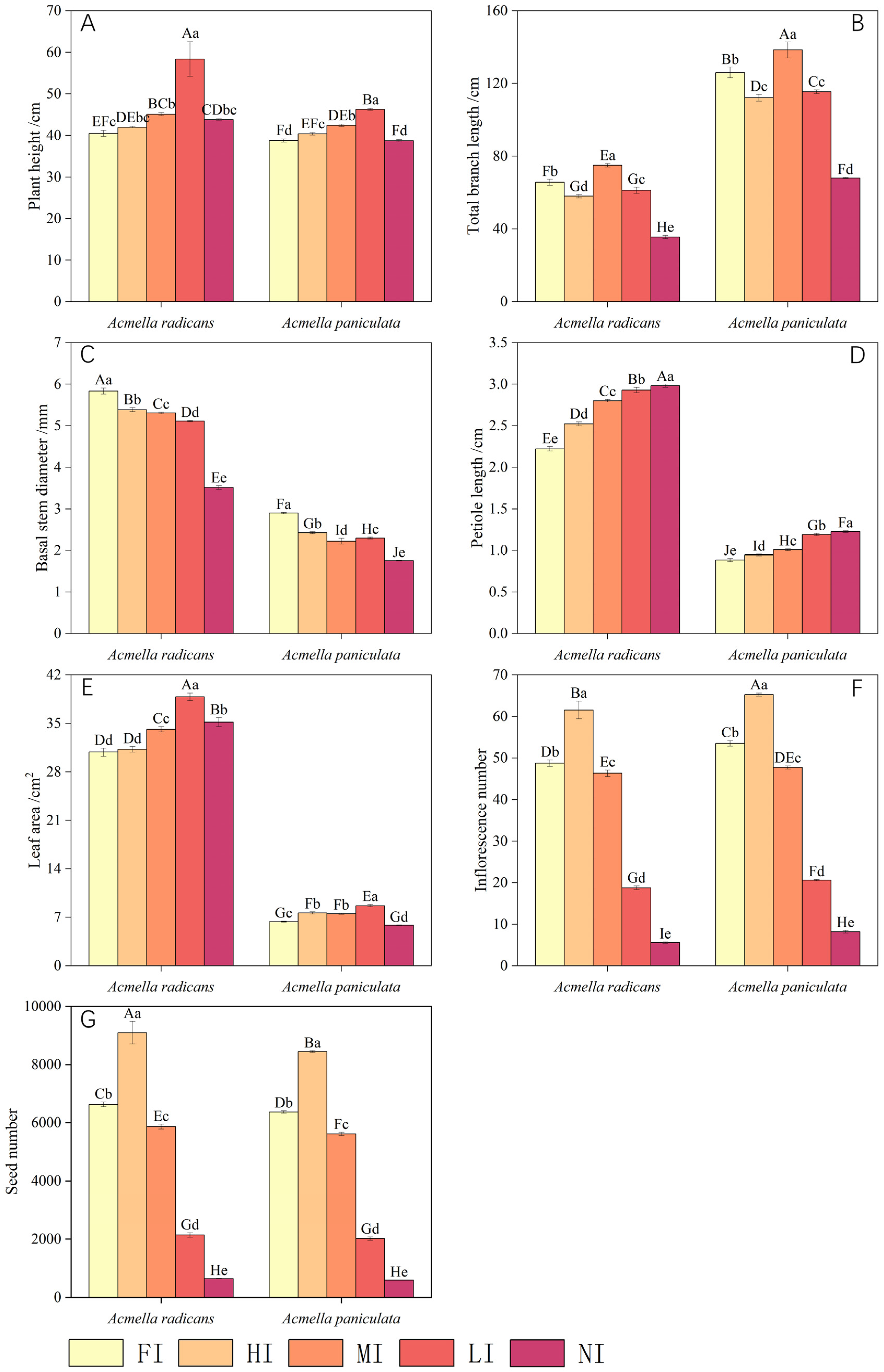
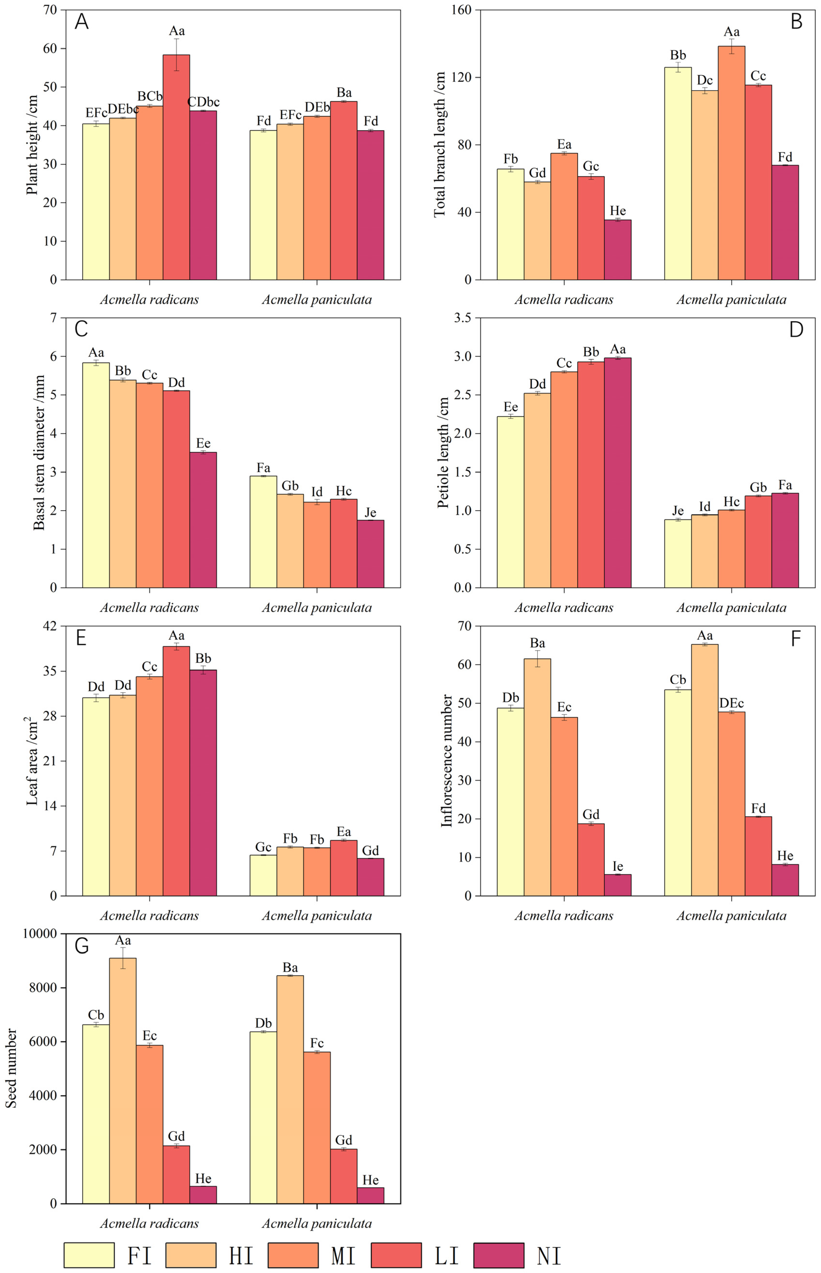
3.2. Effect of Light on Plant Growth of Acmella radicans and Acmella paniculata
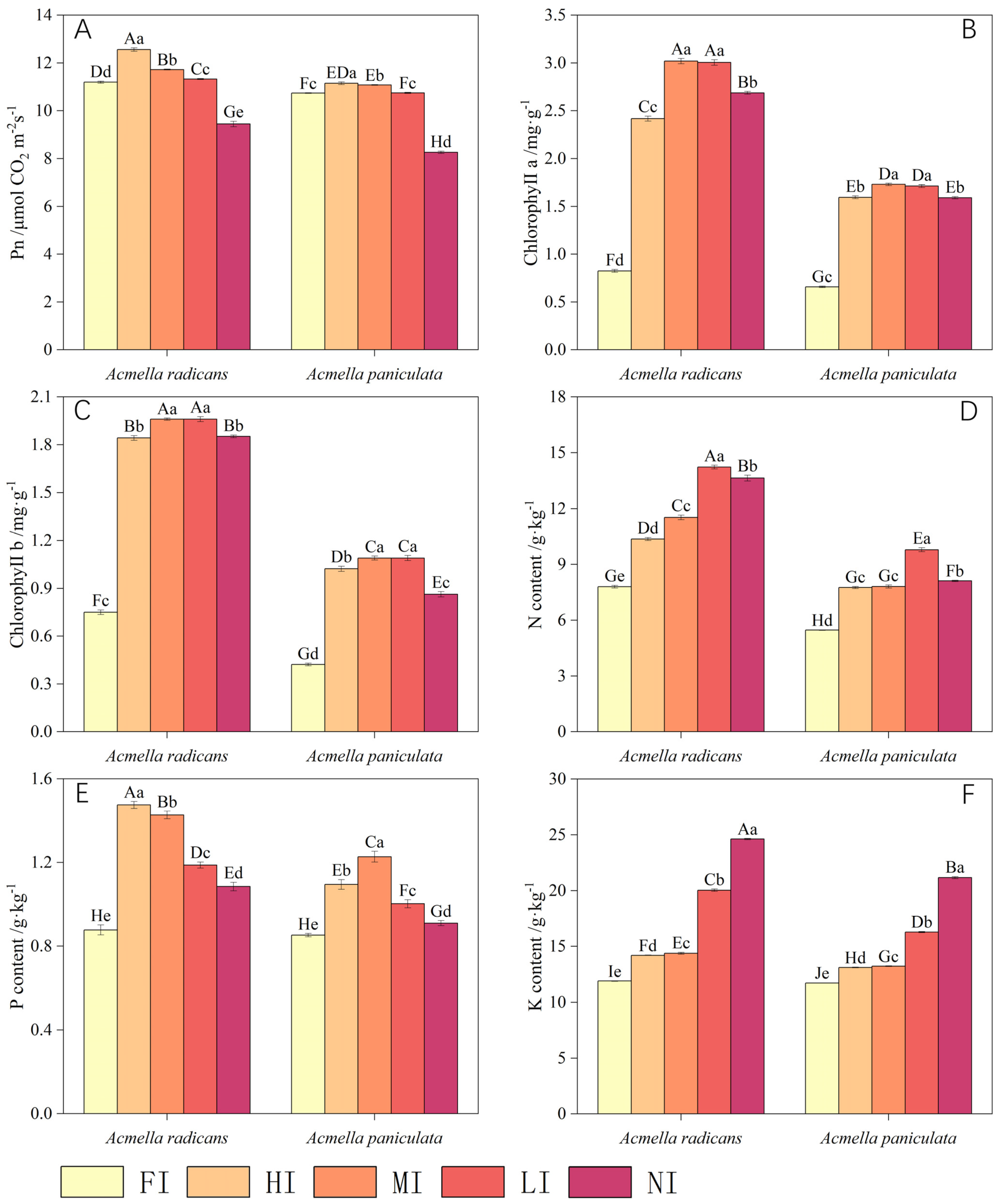
3.3. Effect of Light on Physiological Parameters of Acmella radicans and Acmella paniculata
3.4. Effect of Light on Plant Nutrients of Acmella radicans and Acmella paniculata
4. Discussion
5. Conclusions
Author Contributions
Funding
Institutional Review Board Statement
Data Availability Statement
Acknowledgments
Conflicts of Interest
References
- Pyšek, P.; Jarošík, V.; Hulme, P.E.; Pergl, J.; Hejda, M.; Schaffner, U.; Vilà, M. A global assessment of invasive plant impacts on resident species, communities and ecosystems: The interaction of impact measures, invading species’ traits and environment. Glob. Change Biol. 2012, 18, 1725–1737. [Google Scholar] [CrossRef]
- Simberloff, D.; Martin, J.L.; Genovesi, P.; Maris, V.; Wardle, D.A.; Aronson, J.; Courchamp, F.; Galil, B.; García-Berthou, E.; Pascal, M.; et al. Impacts of biological invasions: What’s what and the way forward. Trends Ecol. Evol. 2013, 28, 58–66. [Google Scholar] [CrossRef] [PubMed]
- Diagne, C.; Leroy, B.; Vaissière, A.C.; Gozlan, R.E.; Roiz, D.; Jarić, I.; Salles, J.M.; Bradshaw, C.J.A.; Courchamp, F. High and rising economic costs of biological invasions worldwide. Nature 2021, 592, 571–576. [Google Scholar] [CrossRef] [PubMed]
- Hudgins, E.J.; Cuthbert, R.N.; Haubrock, P.J.; Taylor, N.G.; Kourantidou, M.; Nguyen, D.; Bang, A.; Turbelin, A.J.; Moodley, D.; Briski, E.; et al. Unevenly distributed biological invasion costs among origin and recipient regions. Nat. Sustain. 2023, 6, 1113–1124. [Google Scholar] [CrossRef]
- Peller, T.; Altermatt, F. Invasive species drive cross-ecosystem effects worldwide. Nat. Ecol. Evol. 2024, 8, 1087–1097. [Google Scholar] [CrossRef] [PubMed]
- Shen, S.; Zheng, F.; Zhang, W.; Xu, G.; Li, D.; Yang, S.; Jin, G.; Clements, D.R.; Nikkel, E.; Chen, A.; et al. Potential distribution and ecological impacts of Acmella radicans (Jacquin) R.K. Jansen (a new Yunnan invasive species record) in China. BMC Plant Biol. 2024, 24, 494. [Google Scholar] [CrossRef]
- Pearson, D.E.; Ortega, Y.K.; Eren, Ö.; Hierro, J.L. Community assembly theory as a framework for biological invasions. Trends Ecol. Evol. 2018, 33, 313–325. [Google Scholar] [CrossRef]
- Zheng, Y.; Burns, J.H.; Liao, Z.; Li, Y.; Yang, J.; Chen, Y.; Zhang, J.; Zheng, Y. Species composition, functional and phylogenetic distances correlate with success of invasive Chromolaena odorata in an experimental test. Ecol. Lett. 2018, 21, 1211–1220. [Google Scholar] [CrossRef]
- Guo, K.; Pyšek, P.; van Kleunen, M.; Kinlock, N.L.; Lučanová, M.; Leitch, I.J.; Pierce, S.; Dawson, W.; Essl, F.; Kreft, H.; et al. Plant invasion and naturalization are influenced by genome size, ecology and economic use globally. Nat. Commun. 2024, 15, 1330. [Google Scholar] [CrossRef]
- Theoharides, K.A.; Dukes, J.S. Plant invasion across space and time: Factors affecting nonindigenous species success during four stages of invasion. New Phytol. 2007, 176, 256–273. [Google Scholar] [CrossRef]
- Kolar, C.S.; Lodge, D.M. Progress in invasion biology: Predicting invaders. Trends Ecol. Evol. 2001, 16, 199–204. [Google Scholar] [CrossRef] [PubMed]
- Liu, B.; Yan, J.; Li, W.; Yin, L.; Li, P.; Yu, H.; Xing, L.; Cai, M.; Wang, H.; Zhao, M.; et al. Mikania micrantha genome provides insights into the molecular mechanism of rapid growth. Nat. Commun. 2020, 11, 340. [Google Scholar] [CrossRef] [PubMed]
- Zhang, J.; Ning, Y.; Li, J.; Shi, Z.; Zhang, Q.; Li, L.; Kang, B.; Du, Z.; Luo, J.; He, M.; et al. Invasion stage and competition intensity co-drive reproductive strategies of native and invasive saltmarsh plants: Evidence from field data. Sci. Total Environ. 2024, 954, 176383. [Google Scholar] [CrossRef] [PubMed]
- Dawson, W.; Burslem, D.F.R.P.; Hulme, P.E. Factors explaining alien plant invasion success in a tropical ecosystem differ at each stage of invasion. J. Ecol. 2009, 97, 657–665. [Google Scholar] [CrossRef]
- Funk, J.L. The physiology of invasive plants in low-resource environments. Conserv. Physiol. 2013, 1, cot026. [Google Scholar] [CrossRef]
- Parendes, L.A.; Jones, J.A. Role of light availability and dispersal in exotic plant invasion along roads and streams in the H. J. Andrews Experimental Forest, Oregon. Conserv. Biol. 2000, 14, 64–75. [Google Scholar] [CrossRef]
- Yu, H.; He, W. Congeneric invasive versus native plants utilize similar inorganic nitrogen forms but have disparate use efficiencies. J. Plant Ecol. 2021, 14, 180–190. [Google Scholar] [CrossRef]
- Quan, G.; Mao, D.; Zhang, J.; Xie, J.; Xu, H.; An, M. Response of invasive Chromolaena odorata and two coexisting weeds to contrasting irradiance and nitrogen. Photosynthetica 2015, 53, 419–429. [Google Scholar] [CrossRef]
- Wang, Y.; Xiong, Y.; Wang, Y.; Li, Q. Long period exposure to serious cadmium pollution benefits an invasive plant (Alternanthera philoxeroides) competing with its native congener (Alternanthera sessilis). Sci. Total Environ. 2021, 786, 147456. [Google Scholar] [CrossRef]
- Kempel, A.; Nater, P.; Fischer, M.; van Kleunen, M. Plant-microbe-herbivore interactions in invasive and non-invasive alien plant species. Funct. Ecol. 2013, 27, 498–508. [Google Scholar] [CrossRef]
- Zhao, Y.; Xu, Y.H.; Guo, K.; Guo, W.Y.; Wang, Y.J. Native plant species are more resistant than invasive aliens to escalating environmental change factors. Glob. Change Biol. 2025, 31, e70282. [Google Scholar] [CrossRef]
- Bagga, J.; Deshmukh, U.B. Acmella radicans (Jacquin) R.K. Jansen (Asteraceae)—A new distributional plant record for Jharkhand State (India). J. New Biol. Rep. 2018, 7, 24–27. [Google Scholar]
- Rahman, M.M.; Khan, S.A.; Hossain, G.M.; Jakaria, M.; Rahim, M.A. Acmella radicans (Jacq.) R.K. Jansen (Asteraceae)—A new angiosperm record. Jahangirnagar Univ. J. Biol. Sci. 2016, 5, 87–93. [Google Scholar] [CrossRef]
- Maity, D.; Sardar, A.; Dash, S.S. Acmella radicans (Asteraceae), and American weed new to Eastern India. Nelumbo 2017, 59, 54–57. [Google Scholar] [CrossRef]
- Panyadee, P.; Inta, A. Taxonomy and ethnobotany of Acmella (Asteraceae) in Thailand. Biodiversitas 2022, 23, 2177–2186. [Google Scholar] [CrossRef]
- Yang, K.; Yang, Y.; Wu, X.; Zheng, F.; Xu, G.; Yang, S.; Jin, G.; Clements, D.R.; Shen, S.; Zhang, F. Allelopathic potential and chemical composition of essential oil from the invasive plant Acmella radicans. Agronomy 2024, 14, 342. [Google Scholar] [CrossRef]
- Wu, X.; Yang, K.; Zheng, F.; Xu, G.; Fan, Z.; Clements, D.R.; Yang, Y.; Yang, S.; Jin, G.; Zhang, F.; et al. Effects of Acmella radicans invasion on soil seed bank community characteristics in different habitats. Plants 2024, 13, 2644. [Google Scholar] [CrossRef]
- Wu, X.; Yang, K.; Zheng, F.; Yang, Y.; Xu, G.; Clements, D.R.; Yang, S.; Yao, B.; Jin, G.; Shen, S.; et al. Impact of environmental factors on seed germination and seedling emergence of the invasive plant Acmella radicans. Plant Ecol. 2025, 226, 995–1004. [Google Scholar] [CrossRef]
- Xiao, F.; Chen, C.; Gong, W.; Xiong, Y.; Zhou, Y.; Guo, W.; Li, B.; Wang, Y. Trade-off between shade tolerance and chemical resistance of invasive Phytolacca americana under different light levels compared with its native and exotic non-invasive congeners. Environ. Exp. Bot. 2022, 196, 104809. [Google Scholar] [CrossRef]
- Zhang, X.; Li, M.; Li, C.; Yue, L. GC-MS analysis of volatile oil components from different parts of Acmella paniculata. China Food Addit. 2022, 12, 233–240. [Google Scholar] [CrossRef]
- Patel, S.; Gamit, S.; Qureshimatva, U.; Solanki, H. Distribution patterns of Acmella paniculata (Wall. Ex DC.) R. K. Jansen in Gujarat, India. Int. J. Res. Advent. Technol. 2019, 7, 186–191. [Google Scholar] [CrossRef]
- Wu, X.; Zheng, F.; Xu, G.; Yang, K.; Clements, D.R.; Yang, Y.; Yang, S.; Jin, G.; Zhang, F.; Shen, S. Plant growth and physiological responses of the invasive plant Acmella radicans to contrasting light and soil water conditions. Discov. Life 2024, 54, 11. [Google Scholar] [CrossRef]
- Oduor, A.M.D. Evolutionary responses of native plant species to invasive plants: A review. New Phytol. 2013, 200, 986–992. [Google Scholar] [CrossRef] [PubMed]
- Čuda, J.; Skálová, H.; Janovský, Z.; Pyšek, P. Competition among native and invasive Impatiens species: The roles of environmental factors, population density and life stage. AoB Plants 2015, 7, plv033. [Google Scholar] [CrossRef]
- Wyka, T.; Robakowski, P.; Zytkowiak, R. Acclimation of leaves to contrasting irradiance in juvenile trees differing in shade tolerance. Tree Physiol. 2007, 27, 1293–1306. [Google Scholar] [CrossRef]
- Tecco, P.A.; Díaz, S.; Cabido, M.; Urcelay, C. Functional traits of alien plants across contrasting climatic and land-use regimes: Do aliens join the locals or try harder than them? J. Ecol. 2010, 98, 17–27. [Google Scholar] [CrossRef]
- Carrión-Tacuri, J.; Rubio-Casal, A.E.; de Cires, A.; Figueroa, M.E.; Castillo, J.M. Lantana camara L.: A weed with great light-acclimation capacity. Photosynthetica 2011, 49, 321–329. [Google Scholar] [CrossRef]
- Daehler, C.C. Performance comparisons of co-occurring native and alien invasive plants: Implications for conservation and restoration. Annu. Rev. Ecol. Evol. S. 2003, 34, 183–211. [Google Scholar] [CrossRef]
- Lambers, H.; Poorter, H. Inherent variation in growth rate between higher plants: A search for physiological causes and ecological consequences. Adv. Ecol. Res. 1992, 23, 187–261. [Google Scholar] [CrossRef]
- Feng, Y.; Wang, J.; Sang, W. Biomass allocation, morphology and photosynthesis of invasive and noninvasive exotic species grown at four irradiance levels. Acta Oecol. 2007, 31, 40–47. [Google Scholar] [CrossRef]
- Durand, L.Z.; Goldstein, G. Photosynthesis, photoinhibition, and nitrogen use efficiency in native and invasive tree ferns in Hawaii. Oecologia 2001, 126, 345–354. [Google Scholar] [CrossRef] [PubMed]
- Liu, D.; Chen, L.; Chen, C.; Zhou, Y.; Xiao, F.; Wang, Y.; Li, Q. Effect of plant VOCs and light intensity on growth and reproduction performance of an invasive and a native Phytolacca species in China. Ecol. Evol. 2022, 12, e8522. [Google Scholar] [CrossRef] [PubMed]
- Assad, R.; Rashid, I.; Reshi, Z.A.; Sofi, I.A. Invasiveness traits help Amaranths to invade Kashmir Himalaya, India. Trop. Ecol. 2021, 62, 209–217. [Google Scholar] [CrossRef]
- Callaway, J.C.; Josselyn, M.N. The introduction and spread of smooth cordgrass (Spartina alterniflora) in South San Francisco Bay. Estuaries 1992, 15, 218–226. [Google Scholar] [CrossRef]
- Walck, J.L.; Baskin, J.M.; Baskin, C.C. Why is Solidago shortii narrowly endemic and S. altissmima geographically wide spread? A comprehensive comparative study of biological trait. J. Biogeogr. 2001, 28, 1221–1237. [Google Scholar] [CrossRef]
- Callaway, R.M.; Newingham, B.; Zabinski, C.A.; Mahall, B.E. Compensatory growth and competitive ability of an invasive weed are enhanced by soil fungi and native neighbours. Ecol. Lett. 2001, 4, 429–433. [Google Scholar] [CrossRef]
- Huang, Q.; Li, X.; Huang, F.; Wang, R.; Lu, B.; Shen, Y.; Fan, Z.; Lin, P. Nutrient addition increases the capacity for division of labor and the benefits of clonal integration in an invasive plant. Sci. Total Environ. 2018, 643, 1232–1238. [Google Scholar] [CrossRef]
- Sardans, J.; Bartrons, M.; Margalef, O.; Gargallo-Garriga, A.; Janssens, I.A.; Ciais, P.; Obersteiner, M.; Sigurdsson, B.D.; Chen, H.Y.H.; Peñuelas, J. Plant invasion is associated with higher plant–soil nutrient concentrations in nutrient-poor environments. Glob. Change Biol. 2017, 23, 1282–1291. [Google Scholar] [CrossRef]
- Xun, Z.; Bai, L.; Qu, B.; Xu, Y.; Li, G.; Zhan, Z.; Shi, J. Effect of nitrogen treatments on growth of the invasive plant Xanthium strumarium, the native plant Xanthium sibiricum, and their reciprocal crosses. Acta Pratacult. Sin. 2017, 26, 51–61. [Google Scholar] [CrossRef]
- Guo, X.; Hu, Y.; Ma, J.; Wang, H.; Wang, K.; Wang, T.; Jiang, S.; Jiao, J.; Sun, Y.; Jiang, X.; et al. Nitrogen deposition effects on invasive and native plant competition: Implications for future invasions. Ecotox. Environ. Safe. 2023, 259, 115029. [Google Scholar] [CrossRef]
- Fridley, J.D.; Craddock, A. Contrasting growth phenology of native and invasive forest shrubs mediated by genome size. New Phytol. 2015, 207, 659–668. [Google Scholar] [CrossRef]



| Variables | Light Level | Species Level | Interaction | R2 | |||
|---|---|---|---|---|---|---|---|
| F | P | F | P | F | P | ||
| Plant height (cm) | 83.754 | 0.000 ** | 88.265 | 0.000 ** | 15.788 | 0.000 ** | 0.924 |
| Total branch length (cm) | 633.279 | 0.000 ** | 5205.421 | 0.000 ** | 54.751 | 0.000 ** | 0.995 |
| Basal stem diameter (cm) | 1477.864 | 0.000 ** | 33,380.358 | 0.000 ** | 263.964 | 0.000 ** | 0.999 |
| Petiole length (cm) | 848.313 | 0.000 ** | 54,219.081 | 0.000 ** | 141.325 | 0.000 ** | 0.999 |
| Leaf area (cm2) | 160.404 | 0.000 ** | 37,502.783 | 0.000 ** | 87.097 | 0.000 ** | 0.999 |
| Inflorescence number | 4768.768 | 0.000 ** | 88.362 | 0.000 ** | 4.164 | 0.008 ** | 0.998 |
| Seed number | 3703.523 | 0.000 ** | 30.056 | 0.000 ** | 4.443 | 0.006 ** | 0.997 |
| Leaf biomass (g) | 481.500 | 0.000 ** | 4755.738 | 0.000 ** | 40.315 | 0.000 ** | 0.994 |
| Stem biomass (g) | 7586.821 | 0.000 ** | 10,591.593 | 0.000 ** | 138.208 | 0.000 ** | 0.999 |
| Root biomass (g) | 4067.349 | 0.000 ** | 4430.265 | 0.000 ** | 89.487 | 0.000 ** | 0.998 |
| Inflorescence biomass (g) | 4617.140 | 0.000 ** | 15,309.559 | 0.000 ** | 765.470 | 0.000 ** | 0.999 |
| Aboveground biomass (g) | 5068.145 | 0.000 ** | 18,899.377 | 0.000 ** | 126.776 | 0.000 ** | 0.999 |
| Total biomass (g) | 12,130.486 | 0.000 ** | 38,158.387 | 0.000 ** | 279.547 | 0.000 ** | 1.000 |
| Pn (µmol CO2 m−2 s−1) | 2872.480 | 0.000 ** | 1967.314 | 0.000 ** | 92.582 | 0.000 ** | 0.997 |
| Chlorophyll a (mg/g) | 7903.666 | 0.000 ** | 18,693.343 | 0.000 ** | 944.941 | 0.000 ** | 0.999 |
| Chlorophyll b (mg/g) | 5272.171 | 0.000 ** | 25,145.655 | 0.000 ** | 557.258 | 0.000 ** | 0.999 |
| N content (mg/kg) | 2900.520 | 0.000 ** | 12,203.728 | 0.000 ** | 302.579 | 0.000 ** | 0.998 |
| P content (mg/kg) | 630.345 | 0.000 ** | 778.725 | 0.000 ** | 66.512 | 0.000 ** | 0.989 |
| K content (mg/kg) | 31,696.913 | 0.000 ** | 7340.116 | 0.000 ** | 1002.527 | 0.000 ** | 1.000 |
| Variables | HI | MI | LI | NI | ||||
|---|---|---|---|---|---|---|---|---|
| Acmella radicans | Acmellapaniculata | Acmella radicans | Acmellapaniculata | Acmella radicans | Acmellapaniculata | Acmella radicans | Acmellapaniculata | |
| Plant height | −3.58 | −4.26 | −11.38 | −9.53 | −44.11 | −19.41 | −8.30 | 0.07 |
| Total branch length | 11.72 | 10.98 | −14.18 | −9.91 | 6.74 | 8.30 | 45.84 | 46.03 |
| Basal stem diameter | 7.67 | 16.31 | 9.08 | 23.30 | 12.38 | 20.88 | 39.80 | 39.60 |
| Petiole length | −13.50 | −7.08 | −25.97 | −14.16 | −31.83 | −34.84 | −34.08 | −38.81 |
| Leaf area | −1.32 | −19.58 | −10.78 | −17.78 | −25.99 | −36.08 | −14.09 | 8.46 |
| Inflorescence number | −26.24 | −22.04 | 4.96 | 10.83 | 61.54 | 61.52 | 88.55 | 84.75 |
| Seed number | −37.16 | −32.70 | 11.56 | 11.75 | 67.78 | 68.36 | 90.31 | 90.75 |
| Leaf biomass | −15.00 | −8.73 | −42.73 | −25.40 | −12.73 | 25.40 | 22.27 | 61.11 |
| Stem biomass | −27.82 | −14.15 | −50.57 | −44.40 | −41.41 | −27.91 | 18.49 | 33.40 |
| Inflorescence biomass | 20.34 | 22.02 | 27.21 | 29.76 | 49.26 | 51.79 | 86.27 | 88.69 |
| Root biomass | 9.49 | 13.14 | 26.49 | 27.88 | 43.49 | 46.79 | 73.51 | 80.77 |
| Aboveground biomass | −9.69 | −5.73 | −23.57 | −25.90 | −6.46 | −2.86 | 41.49 | 49.32 |
| Total biomass | −4.55 | −0.45 | −10.17 | −10.85 | 6.91 | 11.03 | 50.06 | 58.12 |
| Pn | −12.18 | −3.86 | −4.69 | −3.19 | −1.15 | 0.07 | 15.65 | 23.05 |
| Chlorophyll a | −193.03 | −142.59 | −266.06 | −163.12 | −264.24 | −160.46 | −225.76 | −141.83 |
| Chlorophyll b | −145.67 | −142.01 | −161.33 | −157.99 | −161.33 | −157.99 | −147.00 | −104.14 |
| N content | −32.86 | −41.99 | −47.69 | −42.91 | −82.22 | −79.14 | −74.63 | −48.44 |
| P content | −68.09 | −28.45 | −62.68 | −43.99 | −35.33 | −17.60 | −23.65 | −6.74 |
| K content | −19.38 | −11.61 | −20.87 | −12.63 | −68.45 | −38.66 | −100.70 | −80.28 |
Disclaimer/Publisher’s Note: The statements, opinions and data contained in all publications are solely those of the individual author(s) and contributor(s) and not of MDPI and/or the editor(s). MDPI and/or the editor(s) disclaim responsibility for any injury to people or property resulting from any ideas, methods, instructions or products referred to in the content. |
© 2025 by the authors. Licensee MDPI, Basel, Switzerland. This article is an open access article distributed under the terms and conditions of the Creative Commons Attribution (CC BY) license (https://creativecommons.org/licenses/by/4.0/).
Share and Cite
Wu, X.; Zheng, F.; Wang, Z.; Li, Q.; Yang, K.; Xu, G.; Yang, Y.; Clements, D.R.; Yang, S.; Yao, B.; et al. The Effect of Light on Plant Growth and Physiology of Acmella radicans and A. paniculata in China. Diversity 2025, 17, 709. https://doi.org/10.3390/d17100709
Wu X, Zheng F, Wang Z, Li Q, Yang K, Xu G, Yang Y, Clements DR, Yang S, Yao B, et al. The Effect of Light on Plant Growth and Physiology of Acmella radicans and A. paniculata in China. Diversity. 2025; 17(10):709. https://doi.org/10.3390/d17100709
Chicago/Turabian StyleWu, Xiaohan, Fengping Zheng, Zhijie Wang, Qiurui Li, Kexin Yang, Gaofeng Xu, Yunhai Yang, David Roy Clements, Shaosong Yang, Bin Yao, and et al. 2025. "The Effect of Light on Plant Growth and Physiology of Acmella radicans and A. paniculata in China" Diversity 17, no. 10: 709. https://doi.org/10.3390/d17100709
APA StyleWu, X., Zheng, F., Wang, Z., Li, Q., Yang, K., Xu, G., Yang, Y., Clements, D. R., Yang, S., Yao, B., Jin, G., Shen, S., Zhang, F., & Day, M. D. (2025). The Effect of Light on Plant Growth and Physiology of Acmella radicans and A. paniculata in China. Diversity, 17(10), 709. https://doi.org/10.3390/d17100709

