Modelling Urban Plant Diversity Along Environmental, Edaphic, and Climatic Gradients
Abstract
1. Introduction
2. Materials and Methods
2.1. Study Area
2.2. Vegetation Sampling
2.3. Environmental Variables and Data Sources
2.3.1. Field-Derived Environmental Variables
2.3.2. Secondary and Geospatial Data Sources
2.4. Statistical Analyses
2.4.1. Dataset and Diversity Metrics
2.4.2. Feature Preprocessing and Multicollinearity Control
2.4.3. Model Development and Variable Importance Analysis
2.4.4. Comparative Model Evaluation
2.4.5. Permutation-Based Variable Importance
2.4.6. Spatial Autocorrelation Testing
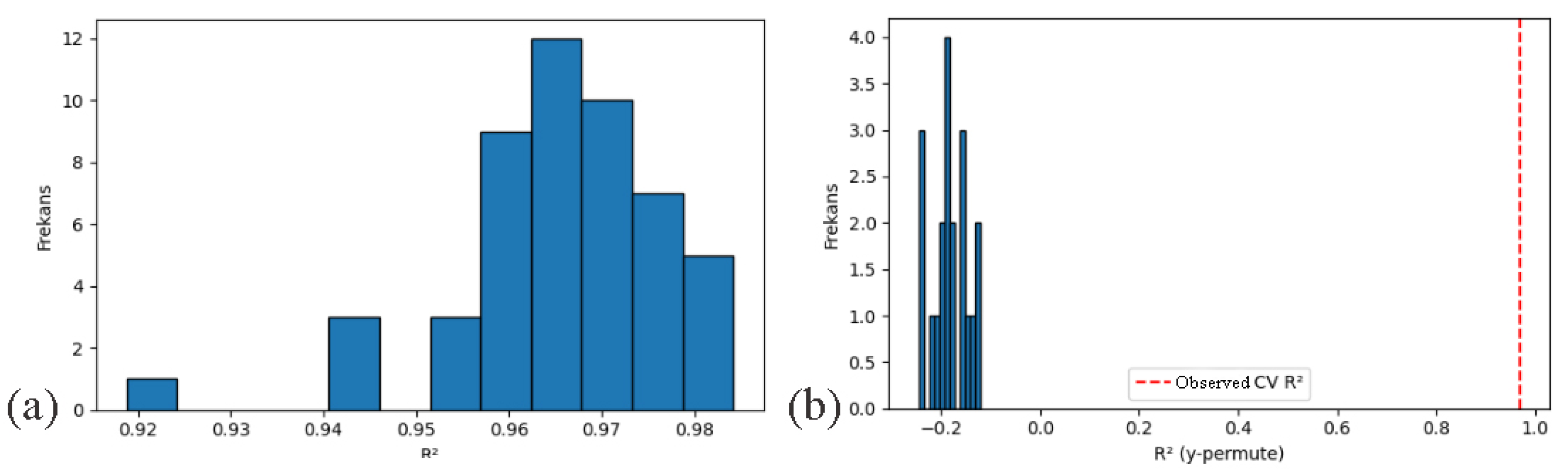
2.4.7. Model Validation and Generalization Testing
3. Results
4. Discussion
5. Conclusions
Supplementary Materials
Author Contributions
Funding
Data Availability Statement
Acknowledgments
Conflicts of Interest
Abbreviations
| RF | Random Forest |
| XGBoost | Extreme Gradient Boosting |
| SVR | Support Vector Regression |
| DUOF | Duzce University Faculty of Forestry Herbarium |
| GBIF | Global Biodiversity Information Facility |
| POWO | Plants of the World Online |
| EC | Electrical conductivity |
| VIF | Variance Inflation Factor |
References
- Gaston, K.J. Urban Ecology; Cambridge University Press: Cambridge, UK, 2010. [Google Scholar] [CrossRef]
- Cardinale, B.J.; Duffy, J.E.; Gonzalez, A.; Hooper, D.U.; Perrings, C.; Venail, P.; Narwani, A.; Mace, G.M.; Tilman, D.; Wardle, D.A.; et al. Biodiversity loss and its impact on humanity. Nature 2012, 486, 59–67. [Google Scholar] [CrossRef]
- Aronson, M.F.J.; La Sorte, F.A.; Nilon, C.H.; Katti, M.; Goddard, M.A.; Lepczyk, C.A.; Warren, P.S.; Williams, N.S.G.; Clilliers, S.; Clarkson, B.; et al. A global analysis of the impacts of urbanization on bird and plant diversity reveals key anthropogenic drivers. Proc. R. Soc. B Biol. Sci. 2014, 281, 20133330. [Google Scholar] [CrossRef]
- Mckinney, M. Urbanization as a major cause of biotic homogenization. Biol. Conserv. 2006, 127, 247–260. [Google Scholar] [CrossRef]
- Aronson, M.F.J.; Handel, S.N.; La Puma, I.P.; Clemants, S.E. Urbanization promotes non-native woody species and diverse plant assemblages in the New York metropolitan region. Urban Ecosyst. 2015, 18, 31–45. [Google Scholar] [CrossRef]
- Kowarik, I. Novel urban ecosystems, biodiversity, and conservation. Environ. Pollut. 2011, 159, 1974–1983. [Google Scholar] [CrossRef] [PubMed]
- Mckinney, M. Effects of urbanization on species richness: A review of plants and animals. Urban Ecosyst. 2008, 11, 161–176. [Google Scholar] [CrossRef]
- McDonald, R.I.; Mansur, A.V.; Ascensão, F.; Colbert, M.; Crossman, K.; Elmqvist, T.; Gonzalez, A.; Güneralp, B.; Haase, D.; Hamann, M.; et al. Research gaps in knowledge of the impact of urban growth on biodiversity. Nat. Sustain. 2019, 3, 16–24. [Google Scholar] [CrossRef]
- Seto, K.C.; Güneralp, B.; Hutyra, L.R. Global forecasts of urban expansion to 2030 and direct impacts on biodiversity and carbon pools. Proc. Natl. Acad. Sci. USA 2012, 109, 16083–16088. [Google Scholar] [CrossRef]
- Shochat, E.; Warren, P.S.; Faeth, S.H.; McIntyre, N.E.; Hope, D. From patterns to emerging processes in mechanistic urban ecology. Trends Ecol. Evol. 2006, 21, 186–191. [Google Scholar] [CrossRef]
- Norton, B.A.; Evans, K.L.; Warren, P.H. Urban Biodiversity and Landscape Ecology: Patterns, Processes and Planning. Curr. Landsc. Ecol. Rep. 2016, 1, 178–192. [Google Scholar] [CrossRef]
- Pouyat, R.V.; Yesilonis, I.D.; Nowak, D.J. Carbon storage by urban soils in the United States. J. Environ. Qual. 2010, 35, 1566–1575. [Google Scholar] [CrossRef]
- Smith, R.J.; Thompson, K.; Hodgson, J.G. Urban soil temperature effects on plant diversity. Ecol. Appl. 2018, 87, 634–646. [Google Scholar] [CrossRef]
- Fenn, M.E.; Haeuber, R.; Tonnesen, G.S.; Baron, J.S.; Grossman-Clarke, S.; Hope, D.; Jaffe, D.A.; Copeland, S.; Geiser, L.; Rueth, H.M.; et al. Nitrogen emissions, deposition, and monitoring in the western United States. BioScience 2010, 53, 391–403. [Google Scholar] [CrossRef]
- Liu, M.; Xiao, Y.; Shi, J.; Zhang, X. Precipitation alters the relationship between biodiversity and multifunctionality of grassland ecosystems. J. Environ. Manag. 2025, 377, 124707. [Google Scholar] [CrossRef] [PubMed]
- Górka, M.; Pilarz, A.; Modelska, M.; Drzeniecka-Osiadacz, A.; Potysz, A.; Widory, D. Urban. Single Precipitation Events: A Key for Characterizing Sources of Air Contaminants and the Dynamics of Atmospheric Chemistry Exchanges. Water 2024, 16, 3701. [Google Scholar] [CrossRef]
- Zhao, Y.; Yin, X.; Fu, Y.; Yue, T. A comparative mapping of plant species diversity using ensemble learning algorithms combined with high accuracy surface modeling. Environ. Sci. Pollut. Res. 2021, 29, 17878–17891. [Google Scholar] [CrossRef] [PubMed]
- Liu, J.; Li, S.; Yang, Z. Temperature and humidity effect of urban green spaces in Beijing in summer. Chin. J. Ecol. 2008, 27, 1972–1978. [Google Scholar]
- Franklin, J.; Wejnert, K.E.; Hathaway, S.A.; Rochester, C.J.; Fisher, R.N. Effect of species rarity on the accuracy of species distribution models for reptiles and amphibians in southern California. Divers. Distrib. 2009, 15, 167–177. [Google Scholar] [CrossRef]
- Karger, D.N.; Conrad, O.; Böhner, J.; Kawohl, T.; Kreft, H.; Soria-Auza, R.W.; Zimmermann, N.E.; Linder, H.P.; Kessler, M. Climatologies at high resolution for the earth’s land surface areas. Sci. Data 2017, 4, 170122. [Google Scholar] [CrossRef]
- Knapp, S.; Kühn, I.; Mosbrugger, V.; Klotz, S. Do protected areas in urban and rural landscapes differ in species diversity? Biodivers. Conserv. 2008, 17, 1595–1612. [Google Scholar] [CrossRef]
- Auslander, M.; Nevo, E.; Inbar, M. The effects of slope orientation on plant growth, developmental instability and susceptibility to herbivores. J. Arid. Environ. 2003, 55, 405–416. [Google Scholar] [CrossRef]
- Ruas, R.; Costa, L.M.; Bered, F. Urbanization driving changes in plant species and communities—A global view. Glob. Ecol. Conserv. 2022, 38, e02243. [Google Scholar] [CrossRef]
- Kühn, I.; Brandl, R.; Klotz, S. The flora of German cities is naturally species rich. Evol. Ecol. Res. 2004, 6, 749–764. [Google Scholar]
- Hope, D.; Gries, C.; Zhu, W.; Fagan, W.F.; Redman, C.L.; Grimm, N.B.; Nelson, A.L.; Martin, C.; Kinzig, A. Socioeconomics drive urban plant diversity. Proc. Natl. Acad. Sci. USA 2003, 100, 8788–8792. [Google Scholar] [CrossRef] [PubMed]
- Grimm, N.B.; Faeth, S.H.; Golubiewski, N.E.; Redman, C.L.; Wu, J.; Bai, X.; Briggs, J.M. Global change and the ecology of cities. Science 2008, 319, 756–760. [Google Scholar] [CrossRef] [PubMed]
- Parker, K.C.; Bendix, J. Landscape-Scale Geomorphic Influences on Vegetation Patterns in Four Environments. Phys. Geogr. 2013, 17, 113–141. [Google Scholar] [CrossRef]
- Dong, Z.; Liu, H.; Liu, H.; Chen, Y.; Fu, X.; Xia, J.; Ma, Y.; Zhang, Z.; Chen, Q. Spatial Distribution Patterns of Herbaceous Vegetation Diversity and Environmental Drivers in the Subalpine Ecosystem of Anyemaqen Mountains, Qinghai Province, China. Diversity 2024, 16, 755. [Google Scholar] [CrossRef]
- Yıldız, N.; Avdan, U. The effect of the temperature of the surface of vegetation to the temperature of an urban area. Int. J. Multidiscip. Stud. Innov. Technol. 2018, 2, 76–85. [Google Scholar]
- Adiguzel, F. Effects of Green Spaces on Microclimate in Sustainable Urban Planning. Int. J. Environ. Geoinform. 2023, 10, 124–131. [Google Scholar] [CrossRef]
- Altay, V.; Ozyigit, I.; Yarci, C. Urban flora and ecological characteristics of the Kartal District (Istanbul): A contribution to urban ecology in Türkiye. Sci. Res. Essay 2010, 5, 183–200. [Google Scholar]
- Ekren, E.; Çorbacı, Ö.L.; Kordon, S. Evaluatıon of Plants Based on Ecologıcal Tolerance Crıterıa: A Case Study of Urban Open Green Spaces in Rize, Turkıye. Turk. J. For. Sci. 2024, 8, 108–132. [Google Scholar] [CrossRef]
- Eskin, B. Research on Determination of Environmental Factors Affecting Urban Flora of Aksaray Province. Rewieved J. Urban Cult. Manag. 2018, 11, 1. [Google Scholar]
- Turkish Statistical Institute. Address Based Population Registration System Results 2020; Turkish Statistical Institute: Ankara, Turkiye, 2021. [Google Scholar]
- Kaya, A. Afetler ve Kent Morfolojisine Etkileri; Düzce Örneği. Idealkent 2019, 10, 942–962. [Google Scholar] [CrossRef]
- Düzce İl Çevre ve Orman Müdürlüğü. Düzce Province Environmental Status Report; Ministry of Environment and Urbanization: Ankara, Türkiye, 2009. [Google Scholar]
- Görcelioğlu, E.; Günay, T.; Karagül, R.; Aksoy, N.; Başaran, M.A. Western Black Sea flood causes, precautions to be taken and suggestions. In Scientific Committee Report, 2nd ed.; TMMOB The Chamber of Forest Engineers Publication: Ankara, Türkiye, 1999. [Google Scholar]
- Özmen, S.; Yıldırım, M.; Şahin, B. Assessment of water and soil resources in Düzce area in terms of agricultural use. J. Adnan Menderes Univ. Agric. Fac. 2015, 12, 9–13. [Google Scholar]
- Meteorological General Directorate (MGM). Seasonal Normals by Provinces (1981–2010); American Meteorological Society: Washington, DC, USA, 2021. [Google Scholar]
- Aksoy, N.; Özkan, N.G.; Aslan, S.; Koçer, N. The endemic plants of Düzce and their conservation status. In Proceedings of the XII OPTIMA Meeting, Antalya, Türkiye, 22–26 March 2010; p. 148. [Google Scholar]
- Aksoy, N.; Özkan, N.G.; Aslan, S.; ve Koçer, N. Düzce Ili Bitki Biyolojik Çeșitliliği, Endemik, Nadir Bitki Taksonları ve Koruma Statüleri. In Düzce’de Tarih ve Kültür; Ertuğrul, A., Ed.; Düzce Belediyesi Kültür Yayınları: Bursa, Türkiye, 2014. [Google Scholar]
- Bartlett, J.E.; Kortlik, J.W.; Higgins, C.C. Determining the appropriate sample size in survey research. Inf. Technol. Learn. Perform. J. 2001, 19, 43–50. [Google Scholar]
- Hansen, M.H.; Hurwitz, W.N. On the determination of optimum probabilities in sampling. Ann. Math. Stat. 1949, 20, 426–432. [Google Scholar] [CrossRef]
- European Environment Agency (EEA). CORINE Land Cover (CLC) 2018, Version 2020_20u1; Copernicus Land Monitoring Service: Copenhagen, Denmark, 2018; Available online: https://land.copernicus.eu/pan-european/corine-land-cover (accessed on 1 December 2023).
- Zamaletdinov, R.; Khamidullina, R.; Pichugin, A.; Kornilov, P.; Fayzulin, A. The development of the structural heterogeneity of the territory of a large city as conditions for the formation of urban ecosystems on the example of Kazan. Urban Sci. 2025, 9, 354. [Google Scholar] [CrossRef]
- Kent, M. Vegetation Description and Data Analysis: A Practical Approach, 2nd ed.; Wiley-Blackwell: Hoboken, NJ, USA, 2012. [Google Scholar]
- Chytrý, M.; Preislerova, Z. Plot sizes used for phytosociological sampling of European vegetation. J. Veg. Sci. 2003, 14, 563–570. [Google Scholar] [CrossRef]
- Barker, P. A Technical Manual for Vegetation Monitoring; Resource Management and Conservation, Department of Primary Industries, Water and Environment: Hobart, Tasmania, 2001. [Google Scholar]
- Turner, R.G., Jr.; Wasson, E. (Eds.) Botanica: The Illustrated A–Z of over 10,000 Garden Plants and How to Cultivate Them, 3rd ed.; Random House: Sydney, Australia, 1997. [Google Scholar]
- Akkemik, Ü. (Ed.) Türkiye’s Native and Exotic Trees and Shrubs I; General Directorate of Forestry, Ministry of Forestry and Water Affairs: Ankara, Türkiye, 2014. [Google Scholar]
- GBIF Global Biodiversity Information Facility. Free and Open Access to Biodiversity Data. Available online: https://www.gbif.org/species/search?q= (accessed on 1 February 2024).
- POWO Plants of the World Online. Royal Botanic Gardens KEW. Available online: https://powo.science.kew.org/ (accessed on 1 February 2024).
- Magurran, A.E. Measuring Biological Diversity; Blackwell Publishing: Oxford, UK, 2004. [Google Scholar]
- James, G.; Witten, D.; Hastie, T.; Tibshirani, R. An Introduction to Statistical Learning; Springer: Berlin/Heidelberg, Germany, 2013; Chapter 6. [Google Scholar]
- Kutner, M.H.; Nachtsheim, C.J.; Neter, J.; Li, W. Applied Linear Statistical Models, 5th ed.; McGraw-Hill: Columbus, OH, USA, 2005. [Google Scholar]
- Anselin, L. Local indicators of spatial association—LISA. Geogr. Anal. 1995, 27, 93–115. [Google Scholar] [CrossRef]
- Kohavi, R. A study of cross-validation and bootstrap for accuracy estimation and model selection. In Proceedings of the 14th International Joint Conference on Artificial Intelligence, Montreal, QC, Canada, 20–25 August 1995; Volume 2, pp. 1137–1143. [Google Scholar]
- Pedregosa, F.; Varoquaux, G.; Gramfort, A.; Michel, V.; Thirion, B.; Grisel, O.; Duchesnay, É. Scikit-learn: Machine learning in Python. J. Mach. Learn. Res. 2011, 12, 2825–2830. [Google Scholar]
- Rahbek, C. The role of spatial scale and the perception of large-scale species-richness patterns. Ecol. Lett. 2005, 8, 224–239. [Google Scholar] [CrossRef]
- Körner, C. The use of ‘altitude’ in ecological research. Trends Ecol. Evol. 2007, 22, 569–574. [Google Scholar] [CrossRef]
- Tuomisto, H. A consistent terminology for quantifying species diversity? Yes, it does exist. Oecologia 2010, 164, 853–860. [Google Scholar] [CrossRef] [PubMed]
- Grime, J.P. Plant Strategies, Vegetation Processes, and Ecosystem Properties, 2nd ed.; Wiley: Hoboken, NJ, USA, 2001. [Google Scholar]
- Prach, K.; Walker, L.R. Four opportunities for studies of ecological succession. Trends Ecol. Evol. 2011, 26, 119–123. [Google Scholar] [CrossRef]
- Anderson, M.J.; Crist, T.O.; Chase, J.M.; Vellend, M.; Inouye, B.D.; Freestone, A.L.; Sanders, N.J.; Cornell, H.V.; Comita, L.S.; Davies, K.F.; et al. Navigating the multiple meanings of β diversity: A roadmap for the practicing ecologist. Ecol. Lett. 2011, 14, 19–28. [Google Scholar] [CrossRef] [PubMed]
- Naiman, R.J.; Décamps, H. The ecology of interfaces: Riparian zones. Annu. Rev. Ecol. Syst. 1997, 28, 621–658. [Google Scholar] [CrossRef]
- Tabacchi, E.; Lambs, L.; Guilloy, H.; Planty-Tabacchi, A.M.; Muller, E.; Décamps, H. Impacts of riparian vegetation on hydrological processes. Hydrol. Process. 2000, 14, 2959–2976. [Google Scholar] [CrossRef]
- Si, L.; Li, Z. Atmospheric precipitation chemistry and environmental significance in major anthropogenic regions globally. Sci. Total Environ. 2024, 926, 171830. [Google Scholar] [CrossRef]
- Robinson, S.; Mclaughlin, O.; Marteinsdottir, B.; O’Gorman, E. Soil temperature effects on the structure and diversity of plant and invertebrate communities in a natural warming experiment. J. Anim. Ecol. 2018, 87, 634–646. [Google Scholar] [CrossRef]
- Capon, S.; Dowe, J. Diversity and dynamics of riparian vegetation. In Principles for Riparian Lands Management; Siwan, L., Phil, P., Eds.; Land & Water Australia: Western Australia, Australia, 2012. [Google Scholar]
- Cutler, D.R.; Edwards, T.C.; Beard, K.H.; Cutler, A.; Hess, K.T.; Gibson, J.; Lawler, J.J. Random forests for classification in ecology. Ecology 2007, 88, 2783–2792. [Google Scholar] [CrossRef]
- Olden, J.D.; Lawler, J.J.; Poff, N.L. Machine learning methods without tears: A primer for ecologists. Q. Rev. Biol. 2008, 83, 171–193. [Google Scholar] [CrossRef]
- Beale, C.M.; Lennon, J.J.; Yearsley, J.M.; Brewer, M.J.; Elston, D.A. Regression analysis of spatial data. Ecol. Lett. 2010, 13, 246–264. [Google Scholar] [CrossRef] [PubMed]
- Crase, B.; Liedloff, A.C.; Wintle, B.A. A new method for dealing with residual spatial autocorrelation in species distribution models. Ecography 2012, 35, 879–888. [Google Scholar] [CrossRef]
- Breiman, L. Random forests. Mach. Learn. 2001, 45, 5–32. [Google Scholar] [CrossRef]
- Chen, T.; Guestrin, C. XGBoost: A scalable tree boosting system. In Proceedings of the 22nd ACM SIGKDD International Conference on Knowledge Discovery and Data Mining, San Francisco, CA, USA, 13–17 August 2016; pp. 785–794. [Google Scholar]
- Yang, R.; Zhang, G.; Liu, F.; Lu, Y.; Yang, F.; Yang, F.; Yang, M.; Zhao, Y.; Li, D. Comparison of boosted regression tree and random forest models for mapping topsoil organic carbon concentration in an alpine ecosystem. Ecol. Indic. 2016, 60, 870–878. [Google Scholar] [CrossRef]
- Vojík, M.; Sádlo, J.; Petřík, P.; Pyšek, P.; Man, M.; Pergl, J. Two faces of parks: Sources of invasion and habitat for threatened native plants. Preslia 2020, 92, 353–373. [Google Scholar] [CrossRef]
- Sharaya, L.S.; Ivanova, A.V.; Sharyi, P.A.; Kuznetsova, R.S.; Kostina, N.V.; Rosenberg, G.S. Relations of the species wealth of adventive and aboriginal fractions of floras with the characteristics of climate and relief in the Middle Volga Region. Russ. J. Ecol. 2024, 55, 285–292. [Google Scholar] [CrossRef]
- Zhao, X.; Li, Y.; Wang, J. Precipitation alters the relationship between biodiversity and ecosystem function in urban areas. Sci. Total Environ. 2025, 857, 159778. [Google Scholar]
- Kaya, S.; Eroglu, E.; Başaran, N.; Ayteğin, A.; Dönmez, A. Determination of the natural plant compositions and species distribution model in different habitat types of Düzce (Türkiye). Cerne 2025, 31, e-103449. [Google Scholar] [CrossRef]
- Kondratyeva, A.; Knapp, S.; Durka, W.; Kühn, I.; Vallet, J.; Machon, N.; Martin, G.; Motard, E.; Grandcolas, P.; Pavoine, S. Urbanization effects on biodiversity revealed by a two-scale analysis of species functional uniqueness vs. redundancy. Front. Ecol. Evol. 2020, 8, 73. [Google Scholar] [CrossRef]
- Doğan, T.G.; Demirci, S.; Eroğlu, E.; Çorbacı, Ö.L.; Kaya, S.; Meral, A. The effects of urbanization on species richness and floristic diversity in residential gardens. Urban Ecosystems. 2025, 28, 161. [Google Scholar] [CrossRef]
- Godefroid, S.; Monbaliu, D.; Koedam, N. The role of soil and microclimatic variables in the distribution patterns of urban wasteland flora in Brussels, Belgium. Landsc. Urban Plan. 2007, 80, 45–55. [Google Scholar] [CrossRef]
- Oppel, S.; Meirinho, A.; Ramírez, I.; Gardner, B.; O’Connell, A.F.; Miller, P.I.; Louzao, M. Comparison of five modelling techniques to predict the spatial distribution and abundance of seabirds. Biol. Conserv. 2012, 156, 94–104. [Google Scholar] [CrossRef]
- Pironon, S.; Papuga, G.; Villellas, J.; Angert, A.L.; García, M.B.; Thompson, J.D. Geographic variation in genetic and demographic performance: New insights from an old biogeographical paradigm. Biol. Rev. 2019, 92, 1877–1909. [Google Scholar] [CrossRef]
- Biau, G. Analysis of a random forests model. J. Mach. Learn. Res. 2012, 13, 1063–1095. [Google Scholar]
- Wang, J.; Zhang, X.; Rodman, K. Land cover composition, climate, and topography drive land surface phenology in a recently burned landscape: An application of machine learning in phenological modeling. Agric. For. Meteorol. 2021, 304–305, 108432. [Google Scholar] [CrossRef]
- Probst, P.; Wright, M.N.; Boulesteix, A.L. Hyperparameters and tuning strategies for random forest. Wiley Interdiscip. Rev. Data Min. Knowl. Discov. 2019, 9, e1301. [Google Scholar] [CrossRef]
- Cao, M.; Liu, Y.; Zhang, Y.; Wang, S. Machine learning-based assessment of urban vegetation dynamics using high-resolution ecological and climatic data. Urban Ecosyst. 2023, 26, 341–356. [Google Scholar]











| Land Cover (Level 2) | Land Cover (Level 3) | Subtype | No. of Plots | Minimum No. of Subplots |
|---|---|---|---|---|
| 1.1. Urban Fabric | 1.1.1. Continuous Urban Fabric | Park/Urban Green Space | 29 | 1 |
| 1.1.2. Discontinuous Urban Fabric | Residential Area/Orchard/Annual Crops/Urban Void/Coppice | 29 | ≥2 | |
| 1.2. Industrial, Commercial, and Transport Units | 1.2.1. Industrial and Commercial Units | Industrial Site/University Campus | 9 | 1 |
| 1.2.2. Road and Rail Networks and Associated Land | Road Verge | 11 | 1 | |
| 1.3. Mine, Dump, and Construction Sites | 1.3.1. Mineral Extraction Sites | Quarry | 3 | 1 |
| 1.3.3. Construction Sites | Urban Green Space | 1 | 1 | |
| 2.1. Arable Land | 2.1.2. Permanently Irrigated Land | Coppice/Annual Crops | 5 | 2 |
| 2.2. Permanent Crops | 2.2.2. Fruit Trees and Berry Plantations | Orchard | 18 | 1 |
| 2.3. Pastures | 2.3.1. Pasture Land | Pasture | 9 | 1 |
| 2.4. Heterogeneous Agricultural Areas | 2.4.2. Complex Cultivation Patterns | Orchard/Coppice/Annual Crops/Irrigated Crops/Ornamental Plants | 27 | ≥2 |
| 2.4.3. Land Principally Occupied by Agriculture with Significant Areas of Natural Vegetation | Agricultural Use/Forest | 10 | 2 | |
| 3.1. Forests | 3.1.1. Broad-leaved Forests | Broad-leaved Forest | 45 | 2 |
| 3.1.2. Coniferous Forests | Coniferous Forest | 3 | 2 | |
| 3.1.3. Mixed Forests | Mixed Forest | 11 | 2 | |
| 3.2. Maquis and Herbaceous Vegetation | 3.2.1. Natural Grasslands | Natural Grassland | 1 | 1 |
| 3.2.4. Transitional Woodland-Shrub | Forest/Shrubland | 2 | 1 | |
| 4.1. Inland Wetlands | 4.1.1. Inland Wetlands | Inland Wetland | 2 | ≥2 |
| 5.1. Inland Waters | 5.1.1. Water Courses | Riparian Zone | 15 | 1 |
| Total | 270 | 397 | ||
| Variable Description | Abbreviation (Code) | Variable Description | Abbreviation (Code) |
|---|---|---|---|
| Slope | slope | Moisture at Wilting Point (%) | Moisture_WP_% |
| Terrain Aspect Index | terrain_aspect_Index | Total carbonate content in soil (%) | % CaCO3_soil |
| Topographic Position Index | tpi | Soil moisture content (%) | soil_moisture |
| Topographic Roughness | roughness | Light intensity measured in lux | Light_Intensity |
| Terrain Ruggedness Index | tri | Soil temperature (°C) | soil_temperature |
| Elevation | elevation | pH of precipitation | pH_Rainwater |
| Aspect Suitability Index | BU_OA | Electrical conductivity of precipitation (µS/cm) | EC_Rainwater |
| Topography-based potential solar radiation | HA_OA | Carbonate ion in precipitation | CO3_Rainwater |
| Annual total solar radiation | RA_OA | Bicarbonate ion in precipitation | HCO3_Rainwater |
| Mean annual solar radiation | solar_rad | Chloride ion in precipitation | Cl_Rainwater |
| Coarse fragment percentage in soil | coarse_frag_percent | Sulfate ion in precipitation | SO42− in Rainwater |
| % Organic Matter | OM_ percent | Calcium ion in precipitation | Ca2+ in Rainwater |
| Total Carbon (Organic + Inorganic) | Total Carbon_% | Potassium ion in precipitation | K+ in Rainwater |
| Inorganic Carbon Percent | Inorganic Carbon_% | Magnesium ion in precipitation | Mg2+ in Rainwater |
| Organic Carbon Percent | Organic Carbon_% | Sodium ion in precipitation | Na+ in Rainwater |
| Soil Electrical Conductivity | EC_soil | Bioclimatic Variables | bio1, bio2… bio19 |
| Soil pH (acidity–alkalinity) | pH_soil | Distance to riparian zones | Riparian_Dist |
| Sand content in soil (%) | sand_% | Distance to forest areas | Forest_Dist |
| Clay content in soil (%) | Clay_% | Distance to Urban Center | Urban_Center_Dist |
| Silt content in soil (%) | Silt_% | Distance to roads | Road_Dist |
| Moisture at Field Capacity (%) | Moisture_FC_% | Distance to industrial areas | Industry_Dist |
| Step | Description | Justification |
|---|---|---|
| (a) StandardScaler | Each continuous variable was standardized using the z-score transformation formula x^ = (x − x¯)/s, such that the resulting values had an approximate mean of 0 and a standard deviation of 1. | Ensures comparability among variables with different units by bringing them onto a common scale. Reduces the influence of outliers compared to Min-Max normalization. Enhances numerical stability in non-tree-based algorithms (e.g., SVR). |
| (b) High-Correlation Filter | Absolute Pearson Correlation Coefficient | ρ |
| (c) VIF | For the remaining columns, variables with VIF > 10 were iteratively removed. | Multicollinearity inflates the variance of coefficient estimates; the VIF serves as its statistical diagnostic measure. |
| Algorithm | Strengths | Limitations | R2 Score (Test Set) |
|---|---|---|---|
| RF | Assumption-free; highly robust to outliers | Limited interpretability | Highest |
| XGBoost | Fast boosting; achieves high accuracy with fewer trees | Sensitive to hyperparameter tuning; prone to overfitting | Moderate |
| SVR (RBF Kernel) | Suitable for small datasets with complex decision boundaries | Highly sensitive to feature scaling; requires extended training time | Lowest |
| Shannon Diversity | Species Richness | Evenness | |
|---|---|---|---|
| CV R2 (10 × 5) | 0.968 ± 0.014 | 0.948 ± 0.022 | 0.858 ± 0.035 |
| CV RMSE (10 × 5) | 0.047 ± 0.010 | 4.427 ± 0.733 | 0.021 ± 0.002 |
| OOF R2 | 0.970 | 0.952 | 0.861 |
| OOF RMSE | 0.047 | 4.408 | 0.021 |
| Hold-out R2 (50×) | 0.966 ± 0.012 | 0.942 ± 0.016 | 0.846 ± 0.026 |
| Hold-out RMSE (50×) | 0.049 ± 0.007 | 4.731 ± 0.588 | 0.022 ± 0.002 |
| Y-shuffle R2 | −0.181 | −0.224 | −0.227 |
Disclaimer/Publisher’s Note: The statements, opinions and data contained in all publications are solely those of the individual author(s) and contributor(s) and not of MDPI and/or the editor(s). MDPI and/or the editor(s) disclaim responsibility for any injury to people or property resulting from any ideas, methods, instructions or products referred to in the content. |
© 2025 by the authors. Licensee MDPI, Basel, Switzerland. This article is an open access article distributed under the terms and conditions of the Creative Commons Attribution (CC BY) license (https://creativecommons.org/licenses/by/4.0/).
Share and Cite
Doğan, T.G.; Eroğlu, E.; Küçüksille, E.U.; Doğan, M.İ.; Gedik, T. Modelling Urban Plant Diversity Along Environmental, Edaphic, and Climatic Gradients. Diversity 2025, 17, 706. https://doi.org/10.3390/d17100706
Doğan TG, Eroğlu E, Küçüksille EU, Doğan Mİ, Gedik T. Modelling Urban Plant Diversity Along Environmental, Edaphic, and Climatic Gradients. Diversity. 2025; 17(10):706. https://doi.org/10.3390/d17100706
Chicago/Turabian StyleDoğan, Tuba Gül, Engin Eroğlu, Ecir Uğur Küçüksille, Mustafa İsa Doğan, and Tarık Gedik. 2025. "Modelling Urban Plant Diversity Along Environmental, Edaphic, and Climatic Gradients" Diversity 17, no. 10: 706. https://doi.org/10.3390/d17100706
APA StyleDoğan, T. G., Eroğlu, E., Küçüksille, E. U., Doğan, M. İ., & Gedik, T. (2025). Modelling Urban Plant Diversity Along Environmental, Edaphic, and Climatic Gradients. Diversity, 17(10), 706. https://doi.org/10.3390/d17100706

