Age Readings and Assessment in Coastal Batoid Elasmobranchs from Small-Scale Size-Selective Fishery: The Importance of Data Comparability in Multi-Specific Assemblages
Abstract
1. Introduction
2. Materials and Methods
2.1. Sample Collection
2.2. Biometrics
2.3. Laboratory Preparation of Vertebrae
2.4. Statistical Methods
3. Results
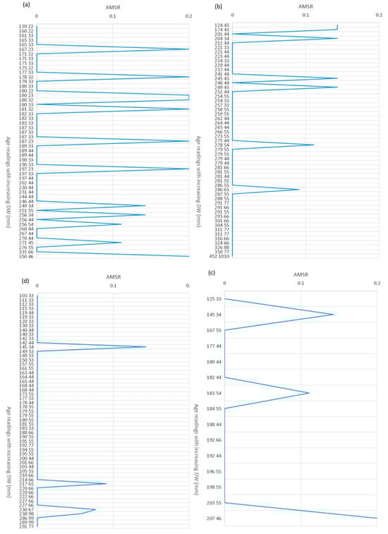
3.1. Age Reading Agreement
3.2. Photographic Evidence
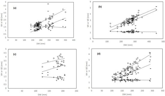
3.3. Regression Results and Characteristics of the Samples
3.4. Bootstrapping and Age and Growth Parameters Estimation
4. Discussion
Supplementary Materials
Author Contributions
Funding
Institutional Review Board Statement
Data Availability Statement
Acknowledgments
Conflicts of Interest
Appendix A
| Species | ||||
|---|---|---|---|---|
| Variables | Rp | RA | TM | TT |
| VD | a | 8.0 × 10−3 | 3.0 × 10−3 | 1.4 × 10−2 |
| Std. err | 5.1 × 10−4 | 3.4 × 10−3 | 5.7 × 10−4 | |
| t (n − 2) | 15.7 | 0.9 | 24.7 | |
| p | *** (a *) | ns | *** (a *) | |
| b | 2.0 × 10−6 | 2.79 | −0.40 | |
| Std. err | 2.1 × 10−1 | 0.96 | 0.16 | |
| t (n − 2) | 1.0 × 10−4 | 2.9 | 2.4 | |
| p | ns | *** | * | |
| R2 | 0.83 | 5.6 × 10−2 | 0.92 | |
| VH | a | 7.7 × 10−3 | 4.5 × 10−3 | 1.0 × 10−2 |
| Std. err | 6.7 × 10−4 | 3.6 × 10−3 | 4.5 × 10−4 | |
| t (n − 2) | 11.3 | 1.3 | 22.0 | |
| p | *** (b *) | ns | *** (b *) | |
| b | −0.33 | 1.45 | −0.32 | |
| Std. err | 0.29 | 1.0 | 0.13 | |
| t (n − 2) | −1.2 | 1.4 | −2.4 | |
| p | ns | ns | * | |
| R2 | 0.71 | 0.11 | 0.90 | |
| VD/VH | a | −4.4 × 10−5 | −1.0 × 10−3 | −1.0 × 10−5 |
| Std. err | 3.1 × 10−4 | 1.5 × 10−3 | 2.6 × 10−4 | |
| t (n − 2) | −1.4 × 10−1 | 6.6 × 10−1 | −4.0 × 10−2 | |
| p | ns | ns | ns | |
| b | 1.18 | 1.65 | 1.42 | |
| Std. err | 0.13 | 0.43 | 7.7 × 10−2 | |
| t (n − 2) | 9.3 | 3.8 | 18.4 | |
| p | *** | ** | *** | |
| R2 | 3.9 × 10−4 | 3.3 × 10−2 | 3.0 × 10−5 | |
Appendix B

Appendix C

Appendix D

Appendix E

References
- Cailliet, G.M.; Martin, L.K.; Kusher, D.; Wolf, P.; Welden, B.A. Techniques for enhancing vertebral bands in age estimation of California elasmobranchs. In Proceedings International Workshop on Age Determination of Oceanic Pelagic Fishes: Tunas, Billfishes, Sharks; Prince, E.D., Pulos, L.M., Eds.; NOAA Technical Report; NMFS: Silver Spring, MD, USA, 1983; Volume 8, pp. 157–165. [Google Scholar]
- Cailliet, G.M.; Radtke, R.L.; Welden, B.A. Elasmobranch age determination and verification: A review. In Indo-Pacific Fish Biology: Proceedings of the Second International Conference on Indo-Pacific Fishes; Ichthyological Society of Japan, Ed.; Ichthyological Society of Japan: Tokyo, Japan, 1986; pp. 345–359. [Google Scholar]
- Cailliet, G.M. Elasmobranch age determination and verification: An updated review. In NOAA Technical Report; NMFS: Silver Spring, MD, USA, 1990; Volume 90, pp. 157–165. [Google Scholar]
- Cailliet, G.M. Perspectives on elasmobranch life-history studies: A focus on age validation and relevance to fishery management. J. Fish. Biol. 2015, 87, 1271–1292. [Google Scholar] [CrossRef]
- Hoenig, J.M.; Brown, C.A. A simple technique for staining growth bands in elasmobranch vertebrae. Bull. Mar. Sci. 1988, 42, 334–337. [Google Scholar]
- Goldman, K.J.; Cailliet, G.M.; Andrews, A.H.; Natanson, L. Assessing the age and growth of Chondrichthyan fishes. In Biology of Sharks and Their Relatives, 2nd ed.; Taylor & Francis Group, Ed.; CRC Press: Boca Raton, FL, USA, 2012; Chapter 14. [Google Scholar]
- Başusta, N.; Demirhan, S.A.; Çiçek, E.; Başusta, A. Comparison of staining techniques for age determination of some Chondrichthyan species. Turk. J. Fish. Aquat. Sci. 2017, 17, 41–49. [Google Scholar] [CrossRef] [PubMed]
- Matta, M.E.; Tribuzio, C.A.; Ebert, D.A.; Goldman, K.J.; Gburski, C.M. Age and growth of Elasmobranchs and applications to fisheries management and conservation in the northeast Pacific Ocean. Adv. Mar. Biol. 2017, 77, 179–220. [Google Scholar] [PubMed]
- Cailliet, G.M.; Kusher, D.; Martin, L.; Wolf, P. A review of several methods for aging elasmobranchs [Fishes]. Cal. Neva Wildl. Trans. 1981, 8, 52–61. [Google Scholar]
- Prince, E.D.; Pulos, L.M. Sharks. In Proceedings of the International Workshop on Age Determination of Oceanic Pelagic Fishes: Tunas, Billfishes, and Sharks, Miami, FL, USA, 15–18 February 1982. [Google Scholar]
- Gallagher, M.J.; Green, M.J.; Nolan, C.P. The potential use of caudal thorns as a non-invasive ageing structure in the thorny skate (Amblyraja radiata Donovan, 1808). Env. Biol. Fish. 2006, 77, 265–272. [Google Scholar] [CrossRef]
- Basusta, N.; Demirhan, S.A.; Basusta, A.; Cicek, E. Ageing with alcian blue dying techniques for some elasmobranchs in Iskenderun Bay, Eastern Mediterranean. Rapp. Comm. Int. Mer. Médit. 2010, 39, 441. [Google Scholar]
- James, K.C.; Natanson, L. Positional and ontogenetic variation in vertebral centra morphology in five batoid species. Mar. Freshw. Res. 2020, 72, 887–898. [Google Scholar] [CrossRef]
- Joung, S.J.; Lyu, G.T.; Hsu, H.H.; Liu, K.M.; Wang, S.B. Age and growth estimates of the blue shark Prionace glauca in the central South Pacific Ocean. Mar. Freshw. Res. 2018, 69, 1346–1354. [Google Scholar] [CrossRef]
- Rigby, C.L.; Foley, W.J.; Simpfendorfer, C.A. Near-infrared spectroscopy for shark ageing and biology. In Shark Research: Emerging Technologies and Applications for the Field and Laboratory; CRC Press: Boca Raton, FL, USA, 2018. [Google Scholar]
- Arrington, M.B.; Helser, T.E.; Benson, I.M.; Essington, T.E.; Matta, M.E.; Punt, A.E. Rapid age estimation of longnose skate (Raja rhina) vertebrae using near-infrared spectroscopy. Mar. Freshw. Res. 2021, 73, 71–80. [Google Scholar] [CrossRef]
- Campana, S.E. Age determination of elasmobranchs, with special reference to Mediterranean species: A technical manual. In Studies and Reviews. General Fisheries Commission for the Mediterranean; Food and Agriculture Organization of the United Nations: Rome, Italy, 2014; Volume 94, 38p. [Google Scholar]
- Claeson, K.M.; Hilger, A. Morphology of the anterior vertebral region in elasmobranchs: Special focus, Squatiniformes. Foss. Rec. 2011, 14, 129–140. [Google Scholar] [CrossRef]
- Smith, W.D.; Miller, J.A.; Heppell, S.S. Elemental markers in Elasmobranchs: Effects of environmental history and growth on vertebral chemistry. PLoS ONE 2013, 8, e62423. [Google Scholar] [CrossRef] [PubMed]
- Pears, J.B.; Johanson, Z.; Trinajstic, K.; Dean, M.N.; Boisvert, C.A. Mineralization of the Callorhinchus vertebral column (Holocephali; Chondrichthyes). Front. Genet. 2020, 11, 571694. [Google Scholar] [CrossRef] [PubMed]
- Gennari, E.; Scacco, U. First age and growth estimates in the deep water shark, Etmopterus spinax (Linnaeus, 1758), by deep coned vertebral analysis. Mar. Biol. 2007, 152, 1207–1214. [Google Scholar] [CrossRef]
- McMillan, M.N.; Wade, C.I.B.; Gillanders, B.M. Elements and elasmobranchs: Hypotheses, assumptions and limitations of elemental analysis. J. Fish Biol. 2017, 90, 559–594. [Google Scholar] [CrossRef] [PubMed]
- Brown, C.A.; Gruber, S.G. Age assessment of the Lemon Shark, Negaprion brevirostris, using tetracyline validated vertebral centra. Copeia 1988, 5, 747–753. [Google Scholar] [CrossRef]
- Flinn, S.A.; Midway, S.R. Trends in Growth Modeling in Fisheries Science. Fishes 2021, 6, 1. [Google Scholar] [CrossRef]
- Parma, A.M.; Deriso, R.B. Dynamics of age and size composition in a population subject to size-selective mortality: Effects of phenotypic variability in growth. Can. J. Fish. Aquat. Sci. 1990, 47, 274–289. [Google Scholar] [CrossRef]
- Chih, C.P. The effects of otolith sampling methods on the precision of growth curves. N. Am. J. Fish. Manag. 2009, 29, 1519–1528. [Google Scholar] [CrossRef]
- Tyszko, S.M.; Pritt, J.J. Comparing otoliths and scales as structures used to estimate ages of Largemouth Bass: Consequences of biased age estimates. Can. J. Fish. Aquat. Sci. 2017, 37, 1075–1082. [Google Scholar] [CrossRef]
- Pauly, D. On the interrelationships between natural mortality, growth parameters, and mean environmental temperature in 175 fish stocks. J. Cons. Int. Explor. Mer. 1980, 39, 175–192. [Google Scholar] [CrossRef]
- Ogle, D.H.; Brenden, T.O.; McCormick, J.K. Growth estimation: Growth models and statistical inference. In Age and Growth of Fishes: Principles and Techniques; Quist, M.C., Isermann, D.A., Eds.; American Fisheries Society: Bethesda, MD, USA, 2017; pp. 265–359. [Google Scholar]
- King, J.R.; Helser, T.; Gburski, C.; Ebert, D.A.; Cailliet, G.; Kastelle, C.R. Bomb radiocarbon analyses validate and inform age determination of longnose skate (Raja rhina) and big skate (Beringraja binoculata) in the north Pacific Ocean. Fish. Res. 2017, 193, 195–206. [Google Scholar] [CrossRef]
- Fishing News Books Ltd. FAO Catalogue of Fishing Gears Designs; Fishing News Books Ltd.: London, UK, 1972; pp. 160–189. [Google Scholar]
- FAO Fishery Information, Data Statistics Service and Fishing Technology Service (comps). In Definition and Classification of Fishery Vessel Types; FAO Fishery Technical Paper; FAO: Rome, Italy, 1985; Volume 267, pp. 1–63. Available online: http://www.fao.org/3/a-191bq842e.pdf (accessed on 30 September 2023).
- FAO. FAO Code of Conduct for Responsible Fisheries; FAO: Rome, Italy, 1995; p. 41. [Google Scholar]
- FAO International Standard Statistical Classification of Fishing Gear (ISSCFG, 2016). Coordinating Working Party on Fishery Statistics (CWP). Handbook of Fishery Statistics. 2016. Available online: https://www.fao.org/3/a-bt988e.pdf (accessed on 30 September 2023).
- JRC. 2020. Available online: https://datacollection.jrc.ec.europa.eu/wordef/fleet-segment (accessed on 30 September 2023).
- Smith, H.; Basurto, X. Defining Small-Scale Fisheries and Examining the Role of Science in Shaping Perceptions of Who and What Counts: A Systematic Review. Front. Mar. Sci. 2019, 6, 236. [Google Scholar] [CrossRef]
- Tiralongo, F.; Messina, G.; Lombardo, B.M. Discards of elasmobranchs in a trammel net fishery targeting cuttlefish, Sepia officinalis Linnaeus, 1758, along the coast of Sicily (central Mediterranean Sea). Reg. Stud. Mar. Sci. 2018, 20, 60–63. [Google Scholar] [CrossRef]
- Tiralongo, F.; Messina, G.; Lombardo, B.M. Biological aspects of juveniles of the Common Stingray, Dasyatis pastinaca (Linnaeus, 1758) (Elasmobranchii, Dasyatidae), from the central Mediterranean Sea. J. Mar. Sci. Eng. 2020, 8, 269. [Google Scholar] [CrossRef]
- Silva, P.M.; Teixeira, C.M.; Pita, C.; Cabral, H.N.; França, S. Portuguese artisanal fishers’ knowledge about elasmobranchs—A case study. Front. Mar. Sci. 2021, 8, 684059. [Google Scholar] [CrossRef]
- Bauchot, M.L. Raies et autres batoides. In Fiches FAO D’identification pour les Besoins de la Pêche. (Rev. 1). Mèditerranée et mer Noire. Zone de Pêche 37; Fischer, W., Bauchot, M.L., Schneider, M., Eds.; Commission des Communautés Européennes and FAO: Rome, Italy, 1987; Volume II, pp. 845–886. [Google Scholar]
- Barría, C.; Navarro, J.; Coll, M.; Fernancez-Arcaya, U.; Sáez-Liante, R. Morphological parameters of abundant and threatened chondrichthyans of the northwestern Mediterranean Sea. J. Appl. Ichthyol. 2015, 31, 114–119. [Google Scholar] [CrossRef]
- Lloret, J.; Biton-Porsmoguer, S.; Carreño, A.; Di Franco, A.; Sahyoun, R.; Melià, P.; Claudet, J.; Sève, C.; Ligas, A.; Belharet, M.; et al. Recreational and small-scale fisheries may pose a threat to vulnerable species in coastal and offshore waters of the western Mediterranean. ICES J. Mar. Sci. 2019, fsz071, 567. [Google Scholar] [CrossRef]
- Brito, A. Catalogo de Los Pesces de las Islas Canarias; Francisco Lemus: La Laguna, Spain, 1991; 230p. [Google Scholar]
- Séret, B. Dasyatidae. In The Fresh and Brackish Water Fishes of West Africa Volume 1. Collection Faune et Flore Tropicales 40; Paugy, D., Lévêque, C., Teugels, G.G., Eds.; Institut de recherche de développement: Paris, France; Muséum national d’histoire naturelle: Paris, France; France and Musée royal de l’Afrique Central: Tervuren, Belgium, 2003; pp. 81–96. 457p. [Google Scholar]
- Dulvy, N.K.; Reynolds, J.D. Evolutionary transitions among egg-laying, live-bearing and maternal inputs in sharks and rays. Proc. R. Soc. Lond. Ser. B Biol. Sci. 1997, 264, 1309–1315. [Google Scholar] [CrossRef]
- Fatimetou, M.K.; Younes, S. Diet of Raja asterias (Delaroshe, 1809) caught along the Mediterranean part of the Moroccan coast (northern Morocco). J. Black Sea/Mediterr. Environ. 2016, 22, 182–189. [Google Scholar]
- Stehmann, M.; Bürkel, D.L. Rajidae. In Fishes of the North-Eastern Atlantic and Mediterranean; Whitehead, P.J.P., Bauchot, M.L., Hureau, J.C., Nielsen, J., Tortonese, E., Eds.; UNESCO: Paris, France, 1984; Volume 1, pp. 163–196. [Google Scholar]
- Romanelli, M.; Colasante, A.; Scacco, U.; Consalvo, I.; Finoia, M.G.; Vacchi, M. Commercial catches, reproduction and feeding habits of Raja asterias (Chondrichthyes: Rajidae) in a coastal area of the Tyrrhenian Sea (Italy, northern Mediterranean). Acta Adriat. 2007, 48, 57–71. [Google Scholar]
- Consalvo, I.; Scacco, U.; Romanelli, M.; Vacchi, M. Comparative study on the reproductive biology of Torpedo torpedo (Linnaeus, 1758) and T. marmorata (Risso, 1810) in the central Mediterranean Sea. Sci. Mar. 2007, 71, 213–222. [Google Scholar] [CrossRef]
- Capapé, C.; Desoutter, M. Torpedinidae. In Check-List of the Fishes of the Eastern Tropical Atlantic (CLOFETA); Quero, J.C., Hureau, J.C., Karrer, C., Post, A., Saldanha, L., Eds.; JNICT: Lisbon, Portugal; SEI: Paris, France; UNESCO: Paris, France, 1990; Volume 1, pp. 55–58. [Google Scholar]
- Møller, P.R. Electric Fishes: History and Behavior; Chapman & Hall: London, UK, 1995; 584p. [Google Scholar]
- Tiralongo, F.; Messina, G.; Brundo, M.V.; Lombardo, B.M. Biological aspects of the common torpedo, Torpedo torpedo (Linnaeus, 1758) (Elasmobranchii: Torpedinidae), in the central Mediterranean Sea (Sicily, Ionian Sea). Eur. Zool. J. 2019, 86, 488–496. [Google Scholar] [CrossRef]
- Mellinger, J. Croissance et reproduction de la Torpille (Torpedo marmorata). I. Introduction, écologie, croissance générale et dimorphisme sexuel. Cycle. Fécondité. Bull. Biol. Fr. Belg. 1971, 105, 165–218. [Google Scholar]
- Last, P.R.; White, W.T.; de Carvalho, M.R.; Séret, B.; Stehmann, M.F.W.; Naylor, G.J.P. Rays of the World; CSIRO Publishing: Collingwood, Australia; Comstock Publishing Associates: New York, NY, USA, 2016; pp. i–ix+1–790. [Google Scholar]
- Michael, S.W. Reef Sharks and Rays of the World, A Guide to Their Identification, Behaviour, and Ecology; Sea Challengers: Monterey, CA, USA, 1993; 107p. [Google Scholar]
- Mellinger, J.; Belbenoit, P.; Ravaille, M.; Szabo, T. Electric organ development in Torpedo mamorata, Chondrichthyes. Dev. Biol. 1978, 67, 167–188. [Google Scholar] [CrossRef]
- Ismen, A. Age, growth, reproduction and food of common stingray (Dasyatis pastinaca L., 1758) in Iskenderun Bay, the eastern Mediterranean. Fish. Res. 2003, 60, 169–176. [Google Scholar] [CrossRef]
- Yigin, C.C.; Ismen, A. Age, growth and reproduction of the common stingray, Dasyatis pastinaca from the North Aegean Sea. Mar. Biol. Res. 2012, 8, 644–653. [Google Scholar] [CrossRef]
- Hamza, A.K.; Ezzat, A.A.; Alaam’, S.M.; Hashem, M.T. Age and growth of stingray Dasyatis pastinaca in the Egyptian Mediterranean waters off Alexandria. Bull. Nat. Inst. Oceanogr. Fish. 1988, 14, 227–237. [Google Scholar]
- Jaramillo-Londono, A.M.; Volpedo, A.V.; Diaz-Arevalo, J.L.; Rodrigo-Santamalia, M.E.; Bendito-Dura, V. Somatic growth and age of selected commercial fish species of the Cullera Coast, Iberian Peninsula, south-east Spain. Indian J. Fish. 2019, 66, 12–23. [Google Scholar] [CrossRef]
- Pauly, D. A preliminary compilation of fish length growth parameters. Ber. Inst. Meereskd. Christian-Albrechts-Univ. Kiel 1978, 55, 1–200. [Google Scholar]
- Bono, L.; De Ranieri, S.; Fabiani, O.; Lenzi, C.; Mancusi, C.; Serena, F. Study of the growth of Raja asterias (Delaroche, 1809) (Chondrichthyes, Rajidae) through the analysis of vertebral sections. Biol. Mar. Medit. 2005, 12, 470–474. [Google Scholar]
- Bellodi, A.; Mulas, A.; Carbonara, P.; Cau, A.; Cuccu, D.; Marongiu, M.F.; Mura, V.; Pesci, P.; Zupa, W.; Porcu, C.; et al. New insights into life–history traits of Mediterranean Electric rays (Torpediniformes: Torpedinidae) as a contribution to their conservation. Zoology 2021, 146, 125922. [Google Scholar] [CrossRef] [PubMed]
- FAO. Serena F Field Identification Guide to the Sharks and Rays of the Mediterranean and Black Sea; FAO Species Identification Guide for Fishery Purposes; FAO: Rome, Italy, 2005; 97p. [Google Scholar]
- Follesa, M.C.; Carbonara, P. Atlas of the Maturity Stages of Mediterranean Fishery Resources. Studies and Reviews; FAO: Rome, Italy, 2019; Volume 99, 268p. [Google Scholar]
- Beamish, R.J.; Fournier, D.A. A Method for Comparing the Precision of a Set of Age Determinations. Can. J. Fish. Aq. Sci. 1981, 38, 982–983. [Google Scholar] [CrossRef]
- Zar, J.H. Biostatistical Analysis; Pearson Education India: Delhi, India, 1999. [Google Scholar]
- Ford, E. An account of the herring investigations conducted at Plymouth during the years from 1924-1933. J. Mar. Biol. Assoc. 1933, 19, 305–384. [Google Scholar] [CrossRef]
- Walford, L.A. A new graphic method of describing the growth of animals. Biol. Bull. 1946, 90, 141–147. [Google Scholar] [CrossRef] [PubMed]
- Von Bertalanffy, L. A quantitative theory of organic growth (inquiries on growth laws. II). Hum. Biol. 1938, 10, 181–213. [Google Scholar]
- Gompertz, B. On the nature of the function expressive of the law of human mortality, and on a new mode of determining the value of life contingencies. Philos. Trans. Royal. Soc. 1825, 115, 513–585. [Google Scholar] [CrossRef]
- StatSoft Inc. STATISTICA (Data Analysis Softare System), Version 6; StatSoft Inc.: Tulsa, OK, USA, 2001; p. 150. [Google Scholar]
- Microsoft Corporation. Microsoft Excel; Excel Version 18.2110.13110; Microsoft Corporation: Redmond, WA, USA, 2013; Available online: https://office.microsoft.com/excelOffice (accessed on 6 June 2023).
- Tortonese, E. Fauna d’Italia Vol. 02-Leptocardia, Ciclostomata, Selachii; Calderini: Bologna, Italy, 1956; 334p. [Google Scholar]
- Goldman, K.J. Age and growth of elasmobranch Fishes. In Elasmobranch Fisheries Management Techniques; Musick, J.A., Bonfil, R., Eds.; Asia Pacific Economic Cooperation: Singapore, 2004; Volume 370, pp. 97–132. [Google Scholar]
- Cortés, E. Demographic analysis as an aid in shark stock assessment and management. Fish. Res. 1998, 39, 199–208. [Google Scholar] [CrossRef]
- Cortés, E. Incorporating uncertainty into demographic modelling: Application to shark populations and their conservation. Cons. Biol. 2002, 16, 1048–1062. [Google Scholar] [CrossRef]
- Ricker, W. Computation and Interpretation of Biological Statistics of Fish Populations; Technical Report Bulletin 191; Bull Fish Res Board of Canada: Ottawa, ON, Canada, 1975.
- Jones, C.M. Fitting growth curves to retrospective size-at-age data. Fish. Res. 2000, 46, 123–129. [Google Scholar] [CrossRef]
- Ono, K.; Licandeo, R.; Muradian, M.L.; Cunningham, C.J.; Anderson, S.C.; Hurtado-Ferro, F.; Johnson, K.F.; McGilliard, C.R.; Monnahan, C.C.; Szuwalski, C.S.; et al. The importance of length and age composition data in statistical age-structured models for marine species. ICES J. Mar. Sci. 2015, 72, 31–43. [Google Scholar] [CrossRef]
- Goodyear, C.P. Modeling Growth: Consequences from Selecting Samples by Size. Trans. Am. Fish. Soc. 2019, 148, 528–551. [Google Scholar] [CrossRef]
- Tiralongo, F.; Messina, G.; Cazzolla Gatti, R.; Tibullo, D.; Lombardo, B.M. Some biological aspects of juvenile of the rough ray, Raja radula Delaroche, 1809 in Eastern Sicily (central Mediterranean Sea). J. Sea Res. 2018, 142, 174–179. [Google Scholar] [CrossRef]
- Jenkins, D.G.; Quintana-Ascencio, P.F. A solution to minimum sample size for regressions. PLoS ONE 2020, 15, e0229345. [Google Scholar] [CrossRef]
- Smart, J.J.; Harry, A.V.; Tobin, A.J.; Simpfendorfer, C.A. Overcoming the constraints of low sample sizes to produce age and growth data for rare or threatened sharks. Aquat Conserv Mar Freshw Ecosyst. 2012, 23, 124–134. [Google Scholar] [CrossRef]
- Mueller, L.D.; Nusbaum, T.J.; Rose, M.R. The Gompertz equation as a predictive tool in demography. Exp. Geron. 1995, 30, 553–569. [Google Scholar] [CrossRef] [PubMed]
- Liu, K.M.; Wu, C.B.; Joung, S.J.; Tsai, W.P.; Su, K.Y. Multi-Model Approach on Growth Estimation and Association with Life History Trait for Elasmobranchs. Front. Mar. Sci. 2021, 8, 591692. [Google Scholar] [CrossRef]
- Capapé, C.; Hemida, F.; Quignard, J.P.; Amor, M.M.B.; Reynaud, C. Biological observations on a rare deep-sea shark, Dalatias licha (Chondrichthyes: Dalatiidae), off the Maghreb coast (south-western Mediterranean). PanamJAS 2008, 3, 355–360. [Google Scholar]
- Abdel-Aziz, S.H. Observations on the biology of the common torpedo (Torpedo torpedo, Linnaeus, 1758) and marbled electric ray (Torpedo marmorata, risso, 1810) from the Egyptian Mediterranean waters. Aust. J. Mar. Freshwat. Res. 1994, 45, 693–704. [Google Scholar] [CrossRef]
- Natanson, L.J.; Skomal, G.B.; Hoffmann, S.L.; Porter, M.E.; Goldmann, K.J.; Serra, D. Age and growth of sharks: Do vertebral band pairs record age? Mar. Fresh. Res. 2018, 69, 1440–1452. [Google Scholar] [CrossRef]
- Augustine, S.; Lika, K.; Kooijman, S. The comparative energetics of the chondrichthyans reveals universal links between respiration, reproduction and lifespan. J. Sea Res. 2022, 185, 102228. [Google Scholar] [CrossRef]
- Kotas, J.E.; Mastrochirico, V.; Petrere Junior, M. Age and growth of the Scalloped Hammerhead shark, Sphyrna lewini (Griffith and Smith, 1834), from the southern Brazilian coast. Braz. J. Biol. 2011, 71, 755–761. [Google Scholar] [CrossRef]
- Heupel, M.R.; Carlson, J.K.; Simpfendorfer, C.A. Shark nursery areas: Concepts, definition, characterization and assumptions. Mar. Ecol. Prog. Ser. 2007, 337, 287–297. [Google Scholar] [CrossRef]
- Kinney, M.J.; Simpfendorfer, C.A. Reassessing the value of nursery areas to shark conservation and management. Conserv. Lett. 2009, 2, 53–60. [Google Scholar] [CrossRef]
- Ward-Paige, C.A.; Britten, G.L.; Bethea, D.M.; Carlson, J.K. Characterizing and predicting essential habitat features for juvenile coastal sharks. Mar. Ecol. 2014, 36, 419–431. [Google Scholar] [CrossRef]
- Roff, G.; Brown, C.J.; Priest, M.A.; Mumby, P. Decline of coastal apex shark populations over the past half century. Comm. Biol. 2018, 1, 223. [Google Scholar] [CrossRef]
- Pacoureau, N.; Rigby, C.L.; Kyne, P.M.; Sherley, R.B.; Winker, H.; Carlson, J.K.; Fordham, S.V.; Barreto, R.; Fernando, D.; Francis, M.P.; et al. Half a century of global decline in oceanic sharks and rays. Nature 2021, 589, 567–571. [Google Scholar] [CrossRef]
- Temple, A.J.; Kiszka, J.J.; Stead, S.M.; Wambiji, N.; Brito, A.; Poonian, C.N.S.; Amir, O.A.; Jiddawi, N.; Fennessy, S.T.; Pérez-Jorge, S.; et al. Marine megafauna interactions with small-scale fisheries in the southwestern Indian Ocean: A review of status and challenges for research and management. Rev. Fish. Biol. Fish. 2018, 28, 89–115. [Google Scholar]
- IUCN. Important Shark and Ray Areas. 2023. Available online: https://sharkrayareas.org/isra/ (accessed on 25 September 2023).
- Convention on Biological Diversity (CBD). 2023. Available online: https://www.cbd.int/ebsa/ (accessed on 20 September 2023).








| IAPE by Species | Sample Size | Intra-Reader 1 | Intra-Reader 2 | Inter-Readers |
|---|---|---|---|---|
| Dasyatis pastinaca | 53 | 3.33% | 2.91% | 4.26% |
| Raja asterias | 51 | 0.92% | 1.02% | 1.67% |
| Torpedo marmorata | 15 | 1.48% | 2.08% | 2.81% |
| Torpedo torpedo | 55 | 0.16% | 0.59% | 0.73% |
| Species | RP | DP | RA | TM | TT |
|---|---|---|---|---|---|
| VD | a | 1.2 × 10−2 | 9.7 × 10−3 | 8.0 × 10−3 | 2.2 × 10−2 |
| Std. err | 1.1 × 10−3 | 8.3 × 10−4 | 5.6 × 10−3 | 1.3 × 10−3 | |
| t (n − 2) | 11.0 | 11.6 | 1.4 | 17.4 | |
| p | *** (b*) | *** (a **, b *) | ns | *** (a **) | |
| b | −0.23 | 0.61 | 2.17 | −0.38 | |
| Std. err | 0.23 | 0.23 | 1.0 | 0.23 | |
| t (n − 2) | −1.0 | 2.7 | 2.1 | −1.6 | |
| p | ns | * | ns | ns | |
| R2 | 0.71 | 0.72 | 0.14 | 0.85 | |
| VH | a | 9.3 × 10−3 | 1.0 × 10−2 | 1.1 × 10−2 | 1.6 × 10−2 |
| Std. err | 1.1 × 10−3 | 9.0 × 10−4 | 5.8 × 10−3 | 9.7 × 10−4 | |
| t (n − 2) | 8.7 | 11.0 | 1.8 | 16.1 | |
| p | *** (c **, d *) | *** (d *) | ns | *** (c **) | |
| b | −0.48 | 1.0 × 10−1 | 0.77 | −0.29 | |
| Std. err | 2 × 10−1 | 2.4 × 10−1 | 1.1 | 1.8 × 10−1 | |
| t (n − 2) | −2.1 | 0.41 | 0.73 | −1.6 | |
| p | * | ns | ns | * | |
| R2 | 0.61 | 0.70 | 0.21 | 0.83 | |
| VD/VH | a | −1.4 × 10−3 | −2.0 × 10−4 | −2.3 × 10−3 | 1.1 × 10−5 |
| Std. err | 5.7 × 10−4 | 4.1 × 10−4 | 2.6 × 10−3 | 4.3 × 10−4 | |
| t (n − 2) | −2.4 | −0.6 | −0.9 | ||
| p | * | ns | ns | ns | |
| b | 1.91 | 1.23 | 1.78 | 1.42 | |
| Std. err | 1.2 × 10−1 | 1.1 × 10−1 | 4.8 × 10−1 | 2.5 × 10−2 | |
| t (n − 2) | 15.7 | 11.1 | −3.7 | 1.0 × 10−1 | |
| p | *** | *** | ** | *** | |
| R2 | 0.11 | 6.0 × 10−3 | 5.6 × 10−2 | 1.2 × 10−5 |
| Mean Asymptotic Length (mm) | D. pastinaca | T. torpedo | R. asterias | T. marmorata | |
|---|---|---|---|---|---|
| VH∞ | Est | 9.09 | 5.08 | 3.43 | 3.27 |
| Std. err | ±3.50 | ±0.01 | ±0.06 | ±0.05 | |
| C. lim. −95% | 2.21 | 4.71 | 3.31 | 3.18 | |
| C. lim. +95% | 15.47 | 5.46 | 3.56 | 3.36 | |
| NISCM | 700 | 900 | 450 | >1000 | |
| NFWF | 474 | 606 | 561 | 338 | |
| VD∞ | Est | 12.86 | 10.35 | 7.86 | 3.88 |
| Std. err | ±0.01 | ±0.38 | ±0.24 | ±0.03 | |
| C. lim. −95% | 10.50 | 9.60 | 7.39 | 3.83 | |
| C. lim. +95% | 15.21 | 11.11 | 8.32 | 3.94 | |
| NISCM | 800 | 900 | 850 | ≈1000 | |
| NFWF | 152 | 491 | 542 | 279 | |
| TL∞ | Est | na | 671.90 | 699.66 | 342.00 |
| Std. err | ±26.23 | ±21.26 | ±11.15 | ||
| C. lim. −95% | 620.36 | 657.25 | 320.12 | ||
| C. lim. +95% | 723.43 | 742.07 | 363.89 | ||
| NISCM | 850 | 600 | 900 | ||
| NFWF | 551 | 367 | 749 | ||
| DW∞ | Est | 1056.65 | 439.87 | 427.92 | 206.15 |
| Std. err | ±372.81 | ±13.85 | ±34.76 | ±1.25 | |
| C. lim. −95% | 307.46 | 412.67 | 359.33 | 203.70 | |
| C. lim. +95% | 1805.85 | 467.07 | 496.52 | 208.61 | |
| NISCM | 450 | 950 | 800 | 950 | |
| NFWF | 50 | 638 | 177 | 767 |
| (1) D. pastinaca | (2) T. torpedo | (3) R. asterias | |||||||||||
|---|---|---|---|---|---|---|---|---|---|---|---|---|---|
| VBGE | GOMPERTZ | VBGE | GOMPERTZ | VBGE | GOMPERTZ | ||||||||
| k | t0 | kG | cG | k | t0 | kG | cG | k | t0 | kG | cG | ||
| VH∞ (1) 9.09 (2) 5.08 (3) 3.43 | Est | 0.05 | −0.15 | 0.14 | −1.08 | 0.18 | 0.77 | 0.27 | −0.88 | 0.38 | 0.20 | 0.43 | −0.44 |
| ±Std. err. | 0.01 | 0.60 | 0.08 | 0.02 | 0.02 | 0.30 | 0.02 | 0.10 | 0.09 | 0.93 | 0.11 | 0.43 | |
| tn − 2 | −5.85 | 0.25 | 12.92 | 6.05 | 11.46 | 2.54 | 11.84 | 8.61 | 4.06 | 0.22 | 4.07 | 1.02 | |
| p | *** | ns | *** | *** | *** | * | *** | *** | *** | ns | *** | ns | |
| R2 | 0.42 | 0.42 | 0.77 | 0.78 | 0.40 | 0.41 | |||||||
| VD∞ (1) 12.86 (2) 10.35 (3) 7.86 | Est | 0.05 | −0.77 | 0.13 | −0.98 | 0.09 | 0.09 | 0.16 | −0.83 | 0.06 | −3.49 | 0.10 | −0.37 |
| St.d err | 0.01 | 0.59 | 0.02 | 0.06 | 0.01 | 0.36 | 0.01 | 0.06 | 0.01 | 1.10 | 0.01 | 0.06 | |
| tn − 2 | 7.05 | −1.30 | 16.13 | 7.56 | 12.24 | 0.25 | 12.60 | 13.10 | 7.36 | −3.16 | 7.64 | 5.76 | |
| p | *** | ns | *** | *** | *** | ns | *** | *** | *** | ** | *** | *** | |
| R2 | 0.51 | 0.53 | 0.76 | 0.77 | 0.54 | 0.55 | |||||||
| TL∞ (2) 671.9 (3) 699.7 | Est | na | 0.11 | −0.26 | 0.18 | −0.68 | 0.12 | −2.19 | 0.17 | −0.19 | |||
| St.d err | 0.01 | 0.39 | 0.01 | 0.07 | 0.01 | 0.81 | 0.02 | 0.09 | |||||
| tn − 2 | 12.05 | −0.67 | 12.27 | 9.90 | 8.23 | −2.70 | 8.49 | 2.11 | |||||
| p | *** | ns | *** | *** | *** | ** | *** | * | |||||
| R2 | 0.76 | 0.77 | 0.63 | 0.64 | |||||||||
| DW∞ (1) 1056.6 (2) 439 (3) 427.9 | Est | 0.05 | −1.23 | 0.12 | −0.90 | 0.10 | −0.57 | 0.16 | −0.64 | 0.17 | −1.09 | 0.22 | −0.27 |
| St.d err | 0.004 | 0.44 | 0.01 | 0.04 | 0.01 | 0.44 | 0.01 | 0.07 | 0.02 | 0.78 | 0.03 | 0.14 | |
| tn − 2 | 10.36 | .2.77 | 11.46 | 22.63 | 11.40 | −1.29 | 11.60 | 9.62 | 7.00 | −1.40 | 7.12 | 1.91 | |
| p | *** | ** | *** | *** | *** | ns | *** | *** | *** | ns | *** | (0.06) | |
| R2 | 0.70 | 0.72 | 0.74 | 0.74 | 0.57 | 0.58 | |||||||
Disclaimer/Publisher’s Note: The statements, opinions and data contained in all publications are solely those of the individual author(s) and contributor(s) and not of MDPI and/or the editor(s). MDPI and/or the editor(s) disclaim responsibility for any injury to people or property resulting from any ideas, methods, instructions or products referred to in the content. |
© 2024 by the authors. Licensee MDPI, Basel, Switzerland. This article is an open access article distributed under the terms and conditions of the Creative Commons Attribution (CC BY) license (https://creativecommons.org/licenses/by/4.0/).
Share and Cite
Scacco, U.; Zanardi, F.; Kroha, S.; Mancini, E.; Tiralongo, F.; Nascetti, G. Age Readings and Assessment in Coastal Batoid Elasmobranchs from Small-Scale Size-Selective Fishery: The Importance of Data Comparability in Multi-Specific Assemblages. Diversity 2024, 16, 271. https://doi.org/10.3390/d16050271
Scacco U, Zanardi F, Kroha S, Mancini E, Tiralongo F, Nascetti G. Age Readings and Assessment in Coastal Batoid Elasmobranchs from Small-Scale Size-Selective Fishery: The Importance of Data Comparability in Multi-Specific Assemblages. Diversity. 2024; 16(5):271. https://doi.org/10.3390/d16050271
Chicago/Turabian StyleScacco, Umberto, Fabiana Zanardi, Silvio Kroha, Emanuele Mancini, Francesco Tiralongo, and Giuseppe Nascetti. 2024. "Age Readings and Assessment in Coastal Batoid Elasmobranchs from Small-Scale Size-Selective Fishery: The Importance of Data Comparability in Multi-Specific Assemblages" Diversity 16, no. 5: 271. https://doi.org/10.3390/d16050271
APA StyleScacco, U., Zanardi, F., Kroha, S., Mancini, E., Tiralongo, F., & Nascetti, G. (2024). Age Readings and Assessment in Coastal Batoid Elasmobranchs from Small-Scale Size-Selective Fishery: The Importance of Data Comparability in Multi-Specific Assemblages. Diversity, 16(5), 271. https://doi.org/10.3390/d16050271

