Diversity and Distribution of the Benthic Foraminifera on the Brunei Shelf (Northwest Borneo): Effect of Seawater Depth
Abstract
1. Introduction
2. Materials and Methods
2.1. Sample Collection and Species Identification
2.2. Species Richness, Distributions, and Assemblage Comparisons
2.3. Stable Isotope Analyses
3. Results
3.1. Species Richness and Distributions
3.2. Species Assemblage Analysis
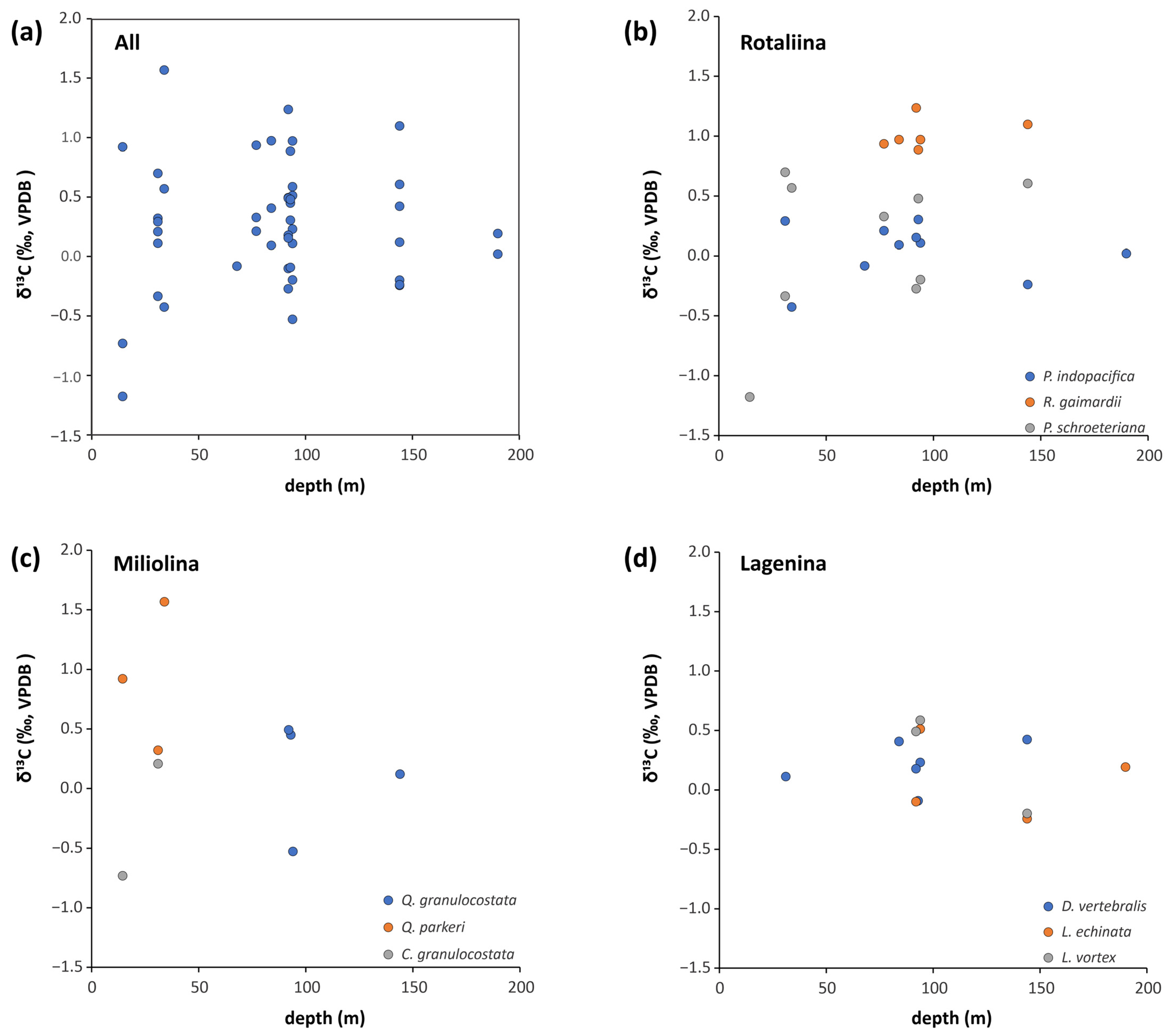
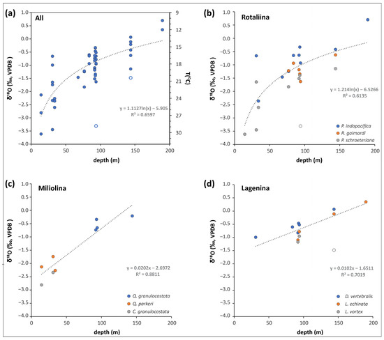
3.3. Isotope Analyses
4. Discussion
4.1. Species Richness and Distributions
4.2. Species Assemblage Analysis
4.3. Stable Isotope Analyses
5. Conclusions
Supplementary Materials
Author Contributions
Funding
Institutional Review Board Statement
Data Availability Statement
Acknowledgments
Conflicts of Interest
Correction Statement
Appendix A








References
- Phleger, F. Ecology and Distribution of Recent Foraminifera; Johns Hopkins Press: Baltimore, MA, USA, 1960. [Google Scholar]
- Murray, J.W. Ecology and Palaeoecology of Benthic Foraminifera; John Wiley and Sons Inc.: New York, NY, USA, 1991; pp. 1–341. [Google Scholar]
- Hayward, B.; Hollis, C. Brackish Foraminifera in New Zealand: A Taxonomic and Ecologic Review. Micropaleontology 1994, 40, 185–222. [Google Scholar] [CrossRef]
- Renema, W. Larger Foraminifera as Marine Environmental Indicators; Nationaal Natuurhistorisch Museum: Leiden, The Netherlands, 2002; p. 263. [Google Scholar]
- Murray, J.W. Ecology and Applications of Benthic Foraminifera; Cambridge University Press: Cambridge, UK, 2006; pp. 1–426. [Google Scholar]
- Jones, R.W. Foraminifera and Their Applications; Cambridge University Press: Cambridge, UK, 2014; p. 391. [Google Scholar]
- Renema, W. Terrestrial influence as a key driver of spatial variability in large benthic foraminiferal assemblage composition in the Central Indo-Pacific. Earth-Sci. Rev. 2018, 177, 514–544. [Google Scholar] [CrossRef]
- Suriadi, R.; Shaari, H.; Culver, S.; Husain, M.; Vijayan, V.; Parham, P.; Sapon, N. Inner Shelf Benthic Foraminifera of the South China Sea, East Coast Peninsular Malaysia. J. Foraminifer. Res. 2019, 49, 11–28. [Google Scholar] [CrossRef]
- Spalding, M.D.; Fox, H.E.; Allen, G.R.; Davidson, N.; Ferdaña, Z.A.; Finlayson, M.; Halpern, B.S.; Jorge, M.A.; Lombana, A.; Lourie, S.A.; et al. Marine Ecoregions of the World: A Bioregionalization of Coastal and Shelf Areas. BioScience 2007, 57, 573–583. [Google Scholar] [CrossRef]
- Li, J.; Asner, G.P. Global analysis of benthic complexity in shallow coral reefs. Environ. Res. Lett. 2023, 18, 1–9. [Google Scholar] [CrossRef]
- Lane, D.J.W.; Marsh, L.M.; Vanden Spiegel, D.; Rowe, F.W.E. Echinoderm fauna of the South China Sea: An inventory and analysis of distribution patterns. Raffles Bull. Zool. 2000, 8, 459–493. [Google Scholar]
- Hoeksema, B.W.; Lane, D.J.W. The mushroom coral fauna (Scleractinia: Fungiidae) of Brunei Darussalam (South China Sea) and its relation to the Coral Triangle. Raffles Bull. Zool. 2014, 62, 566–580. [Google Scholar]
- Setiawan, E.; Relex, D.; Marshall, D.J. Shallow-water sponges from a high-sedimentation estuarine bay (Brunei, northwest Borneo, Southeast Asia). J. Trop. Biodivers. Biotechnol. 2021, 6, 66435. [Google Scholar] [CrossRef]
- Mustapha, N.; Baharuddin, N.; Tan, S.K.; Marshall, D.J. The neritid snails of Brunei Darussalam: Their geographical, ecological and conservation significance. Ecol. Montenegrina 2021, 42, 45–61. [Google Scholar] [CrossRef]
- Lane, D.J.W.; Lim, G.P.C. Reef corals in a high sedimentation environment on the ‘mainland’ coast of Brunei, Northwest Borneo. Galaxea. J. Coral Reef Stud. 2013, 15, 166–171. [Google Scholar] [CrossRef][Green Version]
- Ho, K.F. Distribution of Recent Benthonic foraminifera in the “inner” Brunei Bay. Brunei Mus. J. 1971, 2, 124–137. [Google Scholar]
- Goeting, S.; Briguglio, A.; Eder, W.; Hohenegger, J.; Roslim, A.; Kocsis, L. Depth distribution of modern larger benthic foraminifera offshore Brunei Darussalam. Micropaleontology 2018, 64, 299–316. [Google Scholar] [CrossRef]
- Goeting, S.; Ćosović, V.; Benedetti, A.; Fiorini, F.; Kocsis, L.; Roslim, A.; Briguglio, A. Diversity and depth distribution of modern benthic foraminifera offshore Brunei Darussalam. J. Foraminifer. Res. 2022, 52, 160–178. [Google Scholar] [CrossRef]
- Goeting, S.; Fiorini, F.; Benedetti, A.; Kocsis, L.; Roslim, A.; Zaini, N.; Briguglio, A. Catalogue of modern smaller benthic foraminifera from offshore Brunei Darussalam. Palaeontogr. Abt. A 2021, 318, 129–223. [Google Scholar] [CrossRef]
- Brady, H.B. Notes on some of the reticularian Rhizopoda of the Challenger Expedition, Part I. On new or little-known arenaceous types, part II. Additions to the Knowledge of porcellaneous and hyaline types. Q. J. Microsc. Sci. New Ser. 1879, 19, 261–299. [Google Scholar]
- Brady, H.B. Notes on some of the reticularian Rhizopoda of the Challenger Expedition, Part III. 1. Classification. 2. Further notes on new species. 3. Note on Biloculina mud. Q. J. Microsc. Sci. New Ser. 1881, 21, 31–71. [Google Scholar]
- Brady, H.B. Report of the Foraminifera Dredged by H. M. S. Challenger during the Years 1873–1876. Reports of the Scientific Results of the Voyage of H. M. S. Challenger during the Years 1873–1876; Zoology: Jena, Germany, 1884; Volume 9, pp. 1–814. [Google Scholar]
- Jones, R.W. The Challenger Foraminifera; Oxford University Press: Oxford, UK, 1994; pp. 1–149. [Google Scholar]
- Loeblich, A.R.; Tappan, H. Foraminifera of the Sahul Shelf; Cushman Foundation for Foraminiferal Research: Cambridge, MA, USA, 1994; Volume 31, pp. 1–661. [Google Scholar]
- Lesslar, P. Computer-assisted interpretation of depositional palaeoenvironments based on foraminifera. Bull. Geol. Soc. Malays. 1987, 21, 103–119. [Google Scholar] [CrossRef]
- Renema, W. Large benthic foraminifera from the deep photic zone of a mixed siliciclastic-carbonate shelf off East Kalimantan, Indonesia. Mar. Micropaleontol. 2006, 58, 73–82. [Google Scholar] [CrossRef]
- Szarek, R. Biodiversity and Biogeography of Recent Benthic Foraminiferal Assemblages in the South-Western South China Sea (Sunda Shelf). (Unpublished Ph.D. Thesis). Faculty of Mathematics and Natural Sciences, Kiel, Germany, 2001. [Google Scholar]
- Szarek, R.; Kuhnt, W.; Kawamura, H.; Kitazato, H. Distribution of recent benthic foraminifera on the Sunda Shelf (South China Sea). Mar. Micropaleontol. 2006, 61, 171–195. [Google Scholar] [CrossRef]
- Hoeksema, B.W. Delineation of the Indo-Malayan Centre of Maximum Marine Biodiversity: The Coral Triangle. In Biogeography, Time and Place: Distributions, Barriers and Islands; Renema, W., Ed.; Springer: Dordrecht, The Netherlands, 2007; pp. 117–178. [Google Scholar]
- Veron, J.E.N.; De Vantier, L.M.; Turak, E.; Green, A.L.; Kininmonth, S.; Stafford-Smith, M.G.; Peterson, N. Delineating the Coral Triangle: Galaxea. J. Coral Reef Stud. 2009, 11, 91–100. [Google Scholar] [CrossRef]
- Veron, J.E.N.; DeVantier, L.M.; Turak, E.; Green, A.L.; Kininmonth, S.; Stafford-Smith, M.G.; Peterson, N. The Coral Triangle. In Coral Reefs: An Ecosystem in Transition; Dubinsky, Z., Stambler, N., Eds.; Springer: Dordrecht, The Netherlands, 2011; pp. 47–55. [Google Scholar]
- Lei, Y.; Li, T. Atlas of Benthic Foraminifera from China Seas; Science Press Ltd.: Beijing, China, 2016; p. 399. [Google Scholar]
- Förderer, M.; Langer, M.R. Atlas of benthic foraminifera from coral reefs of the Raja Ampat Archipelago (Irian Jaya, Indonesia). Micropaleontology 2018, 64, 1–170. [Google Scholar] [CrossRef]
- Martin, S.Q.; Culver, S.J.; Leorri, E.; Mallinson, D.J.; Buzas, M.A.; Hayek, L.A.; Shazili, N.A.M. Distribution and Taxonomy of Modern Benthic Foraminifera of the Western Sunda Shelf (South China Sea) off Peninsular Malaysia; Cushman Foundation, Special Publication: Kansas, KS, USA, 2018; Volume 47, p. 108. [Google Scholar]
- Minhat, F.; Husain, M.; Sulaiman, A. Species composition and distribution data of benthic foraminifera from the straits of Malacca during the early Holocene. Data Brief 2019, 25, 104214. [Google Scholar] [CrossRef] [PubMed]
- Novak, V.; Renema, W. Ecological tolerances of Miocene larger benthic foraminifera from Indonesia. J. Asian Earth Sci. 2018, 151, 301–323. [Google Scholar] [CrossRef]
- Förderer, M.; Langer, M.R. Exceptionally species-rich assemblages of modern larger benthic foraminifera from nearshore reefs in northern Palawan (Philippines). Rev. Micropaléontol. 2019, 65, 100387. [Google Scholar] [CrossRef]
- Azmi, N.; Minhat, F.I.; Hasan, S.S.; Rahman Abdul Manaf, O.A.; Abdul A’ziz, A.N.; Wan Saelan, W.N.; Suratman, S. Distribution of benthic foraminifera off Kelantan, Peninsular Malaysia, South China Sea. J. Foraminifer. Res. 2020, 50, 89–96. [Google Scholar] [CrossRef]
- Hallock, P.; Lidz, B.H.; Cockey-Burkhard, E.M.; Donnelly, K.B. Foraminifera as bioindicators in coral reef assessment and monitoring: The FORAM Index. Environ. Monit. Assess. 2003, 81, 221–238. [Google Scholar] [CrossRef]
- Armstrong, H.; Brasier, M. Foraminifera. In Microfossils, 2nd ed.; Armstrong, H., Brasier, M., Eds.; Blackwell Publishing: Malden, UK, 2005; pp. 142–187. [Google Scholar]
- Pignatti, J.; Frezza, V.; Benedetti, A.; Carbone, F.; Accordi, G.; Matteucci, R. Recent foraminiferal assemblages and mixed carbonate-siliciclastic sediments along the coast of southern Somalia and northern Kenya. Ital. J. Geosci. 2012, 131, 66–75. [Google Scholar]
- Benedetti, A.; Frezza, V. Benthic foraminiferal assemblages from shallow-water environments of northeastern Sardinia (Italy, Mediterranean Sea). Facies 2016, 62, 14. [Google Scholar] [CrossRef]
- Zaini, N.; Briguglio, A.; Goeting, S.; Roslim, A.; Kocsis, L. Sedimentological characterization of sea bottom samples collected offshore Muara and Tutong, Brunei Darussalam. Bull. Geol. Soc. Malays. 2020, 70, 139–151. [Google Scholar] [CrossRef]
- Hossain, M.B. Macrobenthic Community Structure from a Tropical Estuary; LAP Lambert Academic Publishing GmbH & Co.: Saarbruecken, Germany, 2011. [Google Scholar]
- Hossain, M.B. Trophic functioning of microbenthic fauna in a tropical acidified Bornean estuary (Southeast Asia). Int. J. Sediment Res. 2019, 34, 48–57. [Google Scholar] [CrossRef]
- Hossain, M.B.; Marshall, D.J.; Venkatramanan, S. Sediment granulometry and organic matter content in the intertidal zone of the Sungai Brunei estuarine system, northwest coast of Borneo. Carpathian J. Earth Environ. Sci. 2014, 9, 231–239. [Google Scholar]
- Talley, L.D. Descriptive Physical Oceanography: An Introduction; Academic Press: Cambridge, MA, USA, 2011. [Google Scholar] [CrossRef]
- Hee, Y.Y.; Weston, K.; Suratman, S.; Akhir, M.F.; Latif, M.; Valliyodan, S. Biogeochemical and physical drivers of hypoxia in a tropical embayment (Brunei Bay). Environ. Sci. Pollut. Res. 2023, 30, 65351–65363. [Google Scholar] [CrossRef]
- Billman, H.; Hottinger, L.; Oesterle, H. Neogene to Recent Rotaliid Foraminifera from the Indo-Pacific Ocean, their canal system, their classification and their stratigraphic use. Schweiz. Palaeontol. Abh. 1980, 101, 7–113. [Google Scholar]
- Loeblich, A.R.; Tappan, H. Foraminiferal Genera and Their Classification; Van Nostrand Reinhold Co.: New York, NY, USA, 1987; p. 869. [Google Scholar]
- Parker, J.H. Taxonomy of Foraminifera from Ningaloo Reef, Western Australia; Memoirs of the Association of Australasian Palaeontologists: Canberra, Australia, 2009; Volume 36, pp. 1–810. [Google Scholar]
- Debenay, J.P. A Guide to 1,000 Foraminifera from the Southwestern Pacific New Caledonia; IRD Editions: Paris, France, 2012; pp. 1–383. [Google Scholar]
- Hohenegger, J. Large Foraminifera: Greenhouse Constructions and Gardeners in the Oceanic Microcosm; Kagoshima University Museum: Kagoshima, Japan, 2011; p. 81. [Google Scholar]
- McGeogh, M.; Gaston, K.J. Occupancy frequency distributions: Patterns, artefacts and mechanisms. Biol. Rev. 2002, 77, 311–331. [Google Scholar] [CrossRef]
- Warwick, R.M.; Clarke, K.R. New ‘biodiversity’ measures reveal a decrease in taxonomic distinctness with increasing stress. Mar. Ecol. Prog. Ser. 1995, 129, 301–305. [Google Scholar] [CrossRef]
- Spötl, C.; Vennemann, W.T. Continuous-flow IRMS analysis of carbonate minerals. Rapid Commun. Mass Spectrom 2003, 17, 1004–1006. [Google Scholar] [CrossRef] [PubMed]
- Spötl, C. A robust and fast method of sampling and analysis of δ13C of dissolved inorganic carbon in ground waters. Isot. Environ. Health Stud. 2005, 41, 217–221. [Google Scholar] [CrossRef] [PubMed]
- Halder, J.; Decrouy, L.; Vennemann, W.T. Mixing of Rhône River water in Lake Geneva (Switzerland–France) inferred from stable hydrogen and oxygen isotope profiles. J. Hydrol. 2013, 477, 152–164. [Google Scholar] [CrossRef]
- Bidgood, M.D.; Simmons, M.D.; Thomas, C.D. Agglutinated Foraminifera from Miocene sediments of northwest Borneo. In Proceedings of the Fifth International Workshop on Agglutinated Foraminifera, Plymouth, UK, 6–16 September 1997; Hart, M.B., Kaminski, M.A., Smart, C.W., Eds.; Grzybowski Foundation Special Publication: Krakow, Poland, 2000; Volume 7, pp. 41–58. [Google Scholar]
- Haunold, T.G.; Baal, C.; Piller, W.E. Benthic foraminiferal associations in the Northern Bay of Safaga, Red Sea, Egypt. Mar. Micropaleontol. 1997, 29, 185–210. [Google Scholar] [CrossRef]
- Hohenegger, J. Coenoclines of Larger Foraminifera. Micropaleontology 2000, 46, 127–151. [Google Scholar]
- Hohenegger, J. Depth coenoclines and environmental considerations of Western Pacific larger foraminifera. J. Foraminifer. Res. 2004, 34, 9–33. [Google Scholar] [CrossRef]
- Hayward, B.W.; Grenfell, H.R.; Reid, C.M.; Hayward, K.A. Recent New Zealand Shallow-Water Benthic Foraminifera: Taxonomy, Ecologic Distribution, Biogeography, and Use in Paleoenvironmental Assessments; Institute of Geological and Nuclear Sciences Limited: Lower Hutt, New Zealand, 1999; p. 264. [Google Scholar]
- Seddighi, M.; Briguglio, A.; Hohenegger, J.; Papazzoni, C.A. New results on the hydrodynamic behaviour of fossil Nummulites tests from two nummulite banks from the Bartonian and Priabonian of northern Italy. Boll. Della Soc. Paleontol. Ital. 2015, 54, 103–116. [Google Scholar]
- Gallagher, S.; Waccace, M.W.; Li, C.L.; Kinna, B.; Bye, J.T.; Akimoto, K.; Torii, M. Neogene history of the West Pacific Warm Pool, Kuroshio and Leeuwin currents. Paleoceanography 2009, 24, 1–27. [Google Scholar] [CrossRef]
- Belanger, C.L.; Jablonski, D.; Roy, K.; Berke, S.K.; Krug, A.Z.; Valentine, J.W. Global environmental predictors of benthic marine biogeographic structure. Proc. Natl. Acad. Sci. USA 2012, 109, 14046–14051. [Google Scholar] [CrossRef] [PubMed]
- Jiang, F.; Fan, D.; Zhao, Q.; Wu, Y.; Ren, F.; Liu, Y.; Li, A. Comparison of alive and dead benthic foraminiferal fauna off the Changjiang Estuary: Understanding water- mass properties and taphonomic processes. Front. Mar. Sci. 2023, 10, 1114337. [Google Scholar] [CrossRef]
- Epstein, S.; Buchsbaum, R.; Lowenstam, H.A.; Urey, H.C. Revised carbonate water isotopic temperature scale. Geol. Soc. Am. Bull. 1953, 64, 1315–1326. [Google Scholar] [CrossRef]
- Sharp, Z. Principles of Stable Isotope Geochemistry, 2nd ed.; University of New Mexico: Albuquerque, NM, USA, 2017; p. 416. [Google Scholar] [CrossRef]
- Zeng, L.; Wang, D.; Chen, J.; Wang, W.; Chen, R. SCSPOD14, a South China Sea physical oceanographic dataset derived from in situ measurements during 1919–2014. Sci. Data 2016, 3, 160029. [Google Scholar] [CrossRef]
- Wefer, G.; Berger, W.H. Isotope palaeontology: Growth and composition of extant calcareous species. Mar. Geol. 1991, 100, 207–248. [Google Scholar] [CrossRef]
- Shackleton, N.J.; Kennett, J.P. Paleotemperature history of the Cenozoic and initiation of Antarctic glaciation: Oxygen and carbon isotope analyses in DSDP sites 277, 279 and 281. Initial Rep. DSDP 1975, 29, 743–755. [Google Scholar]
- Emrich, K.; Ehhalt, D.H.; Vogel, J.C. Carbon isotope fractionation during the precipitation of calcium carbonate. Earth Planet. Sci. Lett. 1970, 8, 363–371. [Google Scholar] [CrossRef]






| Sampling Station | Latitude | Longitude | Depth (m) | Tetulariida | Miliolida | Lagenida | Rotaliida |
|---|---|---|---|---|---|---|---|
| MES 1 | 4°44′30.52″ N | 114°28′1.38″ E | 14–15 | 4 | 11 | 0 | 7 |
| MES 5 | 5°12′7.60″ N | 114°51′0.73″ E | 31 | 5 | 21 | 1 | 7 |
| MES 8 | 4°59′56.80″ N | 114°29′27.75″ E | 34 | 3 | 18 | 1 | 8 |
| MES 15 | 5°12′34.77″ N | 114°26′44.96″ E | 68 | 1 | 5 | 2 | 6 |
| MES 16 | 5°20′42.72″ N | 114°30′29.36″ E | 77 | 2 | 3 | 2 | 5 |
| MES 17 | 5°13′17.59″ N | 114°19′42.50″ E | 84 | 0 | 5 | 5 | 5 |
| MES 22 | 4°59′18.18″ N | 113°54′20.25″ E | 93 | 5 | 3 | 8 | 8 |
| MES 24 | 5°10′6.28″ N | 114°4′22.84″ E | 144 | 15 | 15 | 17 | 14 |
| MES 25 | 5°10′56.63″ N | 114°12′30.08″ E | 94 | 1 | 12 | 7 | 11 |
| MES 27 | 5°18′47.11″ N | 114°20′32.54″ E | 92 | 1 | 10 | 15 | 12 |
| MES 29 | 5°14′21.78″ N | 114°6′2.62″ E | 190 | 2 | 0 | 2 | 5 |
Disclaimer/Publisher’s Note: The statements, opinions and data contained in all publications are solely those of the individual author(s) and contributor(s) and not of MDPI and/or the editor(s). MDPI and/or the editor(s) disclaim responsibility for any injury to people or property resulting from any ideas, methods, instructions or products referred to in the content. |
© 2023 by the authors. Licensee MDPI, Basel, Switzerland. This article is an open access article distributed under the terms and conditions of the Creative Commons Attribution (CC BY) license (https://creativecommons.org/licenses/by/4.0/).
Share and Cite
Goeting, S.; Lee, H.C.; Kocsis, L.; Baumgartner-Mora, C.; Marshall, D.J. Diversity and Distribution of the Benthic Foraminifera on the Brunei Shelf (Northwest Borneo): Effect of Seawater Depth. Diversity 2023, 15, 937. https://doi.org/10.3390/d15080937
Goeting S, Lee HC, Kocsis L, Baumgartner-Mora C, Marshall DJ. Diversity and Distribution of the Benthic Foraminifera on the Brunei Shelf (Northwest Borneo): Effect of Seawater Depth. Diversity. 2023; 15(8):937. https://doi.org/10.3390/d15080937
Chicago/Turabian StyleGoeting, Sulia, Huan Chiao Lee, László Kocsis, Claudia Baumgartner-Mora, and David J. Marshall. 2023. "Diversity and Distribution of the Benthic Foraminifera on the Brunei Shelf (Northwest Borneo): Effect of Seawater Depth" Diversity 15, no. 8: 937. https://doi.org/10.3390/d15080937
APA StyleGoeting, S., Lee, H. C., Kocsis, L., Baumgartner-Mora, C., & Marshall, D. J. (2023). Diversity and Distribution of the Benthic Foraminifera on the Brunei Shelf (Northwest Borneo): Effect of Seawater Depth. Diversity, 15(8), 937. https://doi.org/10.3390/d15080937

