The Diversity of Fish Larvae in the Bons Sinais Estuary (Mozambique) and Its Role as a Nursery to Marine Fish Resources
Abstract
1. Introduction
2. Materials and Methods
2.1. Description of the Study Area
2.2. Larvae Sampling
2.3. Data Analysis
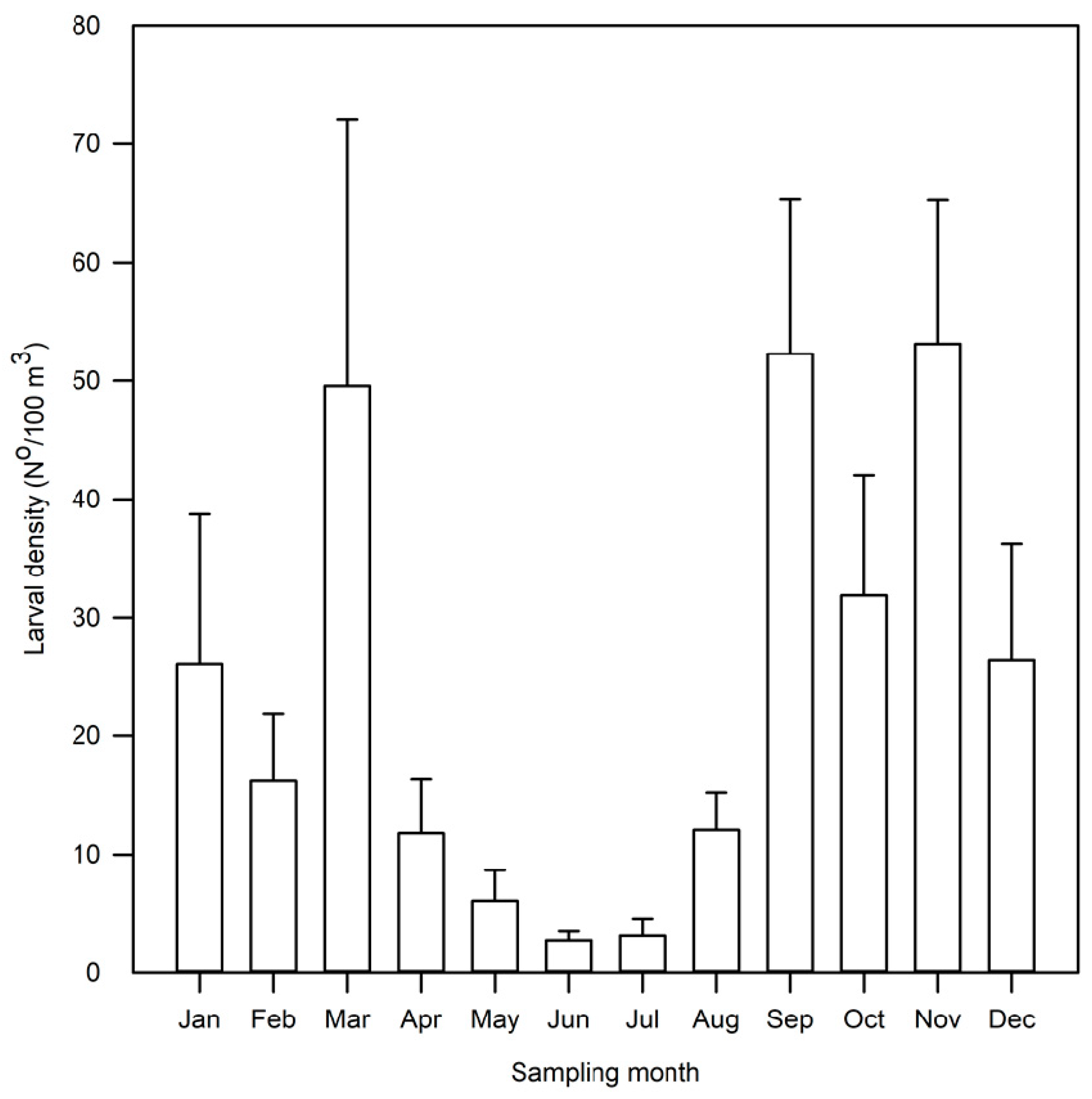
3. Results
3.1. Environmental Parameters
3.2. Larval Taxa Composition, Abundance, Distribution, and Development Stage
3.3. Relationship between Environmental Variables and Larval Assemblage
4. Discussion
4.1. Environmental Parameters
4.2. Larval Taxa Composition, Abundance, Distribution, and Development Stage
4.3. Relationship between Environmental Variables and Ichthyoplankton Assemblages
5. Conclusions
Author Contributions
Funding
Data Availability Statement
Acknowledgments
Conflicts of Interest
References
- June, F.C.; Chamberlin, J.L. The role of the Estuary in the Life History and Biology of Atlantic Menhaden. 1959. Available online: http://hdl.handle.net/1834/29218 (accessed on 27 April 2023).
- McDowall, R.M. The Role of Estuaries in the Life Cycles of Fishes in New Zealand. In Proceedings New Zealand Ecological Society; New Zealand Ecological Society (Inc.): Invercargill, New Zealand, 1976; Volume 23, pp. 27–32. [Google Scholar]
- Wallace, J.H.; Kok, H.M.; Beckley, L.E.; Bennett, B.; Blaber, S.J.M.; Whitfield, A.K. South African estuaries and their importance to fishes. S. Afr. J. Sci. 1984, 80, 203–207. [Google Scholar]
- Blaber, S.J.M.; Milton, D.A. Species composition, community structure and zoogeography of fishes of mangrove estuaries in the Solomon Islands. Mar. Biol. 1990, 105, 259–267. [Google Scholar] [CrossRef]
- Whitfield, A.K. Life-history styles of fishes in South African estuaries. Environ. Biol. Fishes 1990, 28, 295–308. [Google Scholar] [CrossRef]
- Blaber, S.J.M. Tropical Estuarine Fishes: Ecology. Exploit. Conserv. 2000, 2, 148–157. [Google Scholar]
- Bhat, M.; Nayak, V.N.; Chandran, S.; Ramachandra, T.V. Fish distribution dynamics in the Aghanashini estuary of Uttara Kannada, west coast of India. Curr. Sci. 2014, 106, 1739–1744. [Google Scholar]
- Sheaves, M.; Baker, R.; Nagelkerken, I.; Connolly, R.M. True value of estuarine and coastal nurseries for fish: Incorporating complexity and dynamics. Estuaries Coasts 2015, 38, 401–414. [Google Scholar] [CrossRef]
- Moyle, P.B.; Cech, J.J. Fishes: An Introduction to Ichthyology; Prentice Hall: Upper Saddle River, NJ, USA, 2000; 612p. [Google Scholar]
- Whitfield, A.K.; Pattrick, P. Habitat type and nursery function for coastal marine fish species, with emphasis on the Eastern Cape region, South Africa. Estuar. Coast. Shelf Sci. 2015, 160, 49–59. [Google Scholar] [CrossRef]
- Nagelkerken, I.; Sheaves, M.; Baker, R.; Connolly, R. The seascape nursery: A novel spatial approach to identify and manage nurseries for coastal marine fauna. Fish Fish. 2014, 16, 362–371. [Google Scholar] [CrossRef]
- Dolbeth, M.; Martinho, F.; Viegas, I.; Cabral, H.; Pardal, M.A. Estuarine production of resident and nursery fish species: Conditioning by drought events? Estuar. Coast. Shelf Sci. 2008, 78, 51–60. [Google Scholar] [CrossRef]
- Pattrick, P.; Strydom, N.A.; Wooldridge, T.H. Composition, abundance, distribution and seasonality of larval fishes in the Mngazi Estuary, South Africa. Afr. J. Aquat. Sci. 2007, 32, 113–123. [Google Scholar] [CrossRef]
- Vasconcelos, R.P.; Reis-Santos, P.; Costa, M.J.; Cabral, H.N. Connectivity between estuaries and marine environment: Integrating metrics to assess estuarine nursery function. Ecol. Indic. 2011, 11, 1123–1133. [Google Scholar] [CrossRef]
- Dolbeth, M.; Martinho, F.; Leitão, R.; Cabral, H.; Pardal, M.A. Strategies of Pomatoschistus minutus and Pomatoschistus microps to cope with environmental instability. Estuar. Coast. Shelf Sci. 2007, 74, 263–273. [Google Scholar] [CrossRef]
- Potter, I.C.; Hyndes, G.A. Characteristics of the ichthyofaunas of southwestern Australian estuaries, including comparisons with holarctic estuaries and estuaries elsewhere in temperate Australia: A review. Aust. J. Ecol. 1999, 24, 395–421. [Google Scholar] [CrossRef]
- Houde, E.D.; Rutherford, E.S. Recent trends in estuarine fisheries: Predictions of fish production and yield. Estuaries Coasts 1993, 16, 161–176. [Google Scholar] [CrossRef]
- Able, K.W. A re-examination of fish estuarine dependence: Evidence for connectivity between estuarine and ocean habitats. Estuar. Coast. Shelf Sci. 2005, 64, 5–17. [Google Scholar] [CrossRef]
- James, N.C.; Cowley, P.D.; Whitfield, A.K.; Kaiser, H. Choice chamber experiments to test the attraction of postflexion Rhabdosargus holubi larvae to water of estuarine and riverine origin. Estuar. Coast. Shelf Sci. 2008, 77, 143–149. [Google Scholar] [CrossRef]
- Harris, S.A.; Cyrus, D.P.; Beckley, L.E. The larval fish assemblage in nearshore coastal waters off the St Lucia Estuary, South Africa. Estuar. Coast. Shelf Sci. 1999, 49, 789–811. [Google Scholar] [CrossRef]
- Cowen, R.K.; Sponaugle, S. Larval dispersal and marine population connectivity. Annu. Rev. Mar. Sci. 2009, 1, 443–466. [Google Scholar] [CrossRef]
- Harris, S.A.; Cyrus, D.P. Occurrence of fish larvae in the St Lucia Estuary, KwaZulu-Natal, South Africa. S. Afr. J. Mar. Sci. 1995, 16, 333–350. [Google Scholar] [CrossRef]
- Strydom, N.A.; Whitfield, A.K.; Wooldridge, T.H. The role of estuarine type in characterizing early stage fish assemblages in warm temperate estuaries, South Africa. Afr. Zool. 2003, 38, 29–43. [Google Scholar] [CrossRef]
- Teodósio, M.A.; Paris, C.B.; Wolanski, E.; Morais, P. Biophysical processes leading to the ingress of temperate fish larvae into estuarine nursery areas: A review. Estuar. Coast. Shelf Sci. 2016, 183, 187–202. [Google Scholar] [CrossRef]
- Baptista, V.; Costa, E.F.; Carere, C.; Morais, P.; Cruz, J.; Cerveira, I.; Castanho, S.; Ribeiro, L.; Pousão-Ferreira, P.; Leitão, F.; et al. Does consistent individual variability in pelagic fish larval behaviour affect recruitment in nursery habitats? Behav. Ecol. Sociobiol. 2020, 74, 67. [Google Scholar] [CrossRef]
- Sheaves, M.; Johnston, R.; Johnson, A.; Baker, R.; Connolly, R.M. Nursery function drives temporal patterns in fish assemblage structure in four tropical estuaries. Estuaries Coasts 2013, 36, 893–905. [Google Scholar] [CrossRef]
- Arevalo, E.; Cabral, H.N.; Villeneuve, B.; Possémé, C.; Lepage, M. Fish larvae dynamics in temperate estuaries: A review on processes, patterns and factors that determine recruitment. Fish Fish. 2023, 24, 466–487. [Google Scholar] [CrossRef]
- Chícharo, M.A.; Chícharo, L.; Morais, P. Inter-annual differences of ichthyofauna structure of the Guadiana estuary and adjacent coastal area (SE Portugal/SW Spain): Before and after Alqueva dam construction. Estuar. Coast. Shelf Sci. 2006, 70, 39–51. [Google Scholar] [CrossRef]
- Teodósio, M.A.; Garel, E. Linking hydrodynamics and fish larvae retention in estuarine nursery areas from an ecohydrological perspective. Ecohydrol. Hydrobiol. 2015, 15, 182–191. [Google Scholar] [CrossRef]
- Faria, A.; Morais, P.; Chícharo, M.A. Ichthyoplankton dynamics in the Guadiana estuary and adjacent coastal area, South-East Portugal. Estuar. Coast. Shelf Sci. 2006, 70, 85–97. [Google Scholar] [CrossRef]
- Morais, P.; Chícharo, M.A.; Chícharo, L. Changes in a temperate estuary during the filling of the biggest European dam. Sci. Total Environ. 2009, 407, 2245–2259. [Google Scholar] [CrossRef]
- Houde, E.D.; Able, K.W.; Strydom, N.A.; Wolanski, E.; Arula, T. Reproduction, ontogeny and recruitment. Fish Fish. Estuaries A Glob. Perspect. 2022, 1, 60–187. [Google Scholar]
- Neira, F.J.; Potter, I.C.; Bradley, J.S. Seasonal and spatial changes in the larval fish fauna within a large temperate Australian estuary. Mar. Biol. 1992, 112, 1–16. [Google Scholar] [CrossRef]
- Balakrishnan, T.; Sundaramanickam, A.; Shekhar, S.; Muthukumaravel, K.; Balasubramanian, T. Seasonal abundance and distribution of ichthyoplankton diversity in the Coleroon estuarine complex, Southeast coast of India. Biocatal. Agric. Biotechnol. 2015, 4, 784–794. [Google Scholar] [CrossRef]
- Guerreiro, M.A.; Martinho, F.; Baptista, J.; Costa, F.; Pardal, M.Â.; Primo, A.L. Function of estuaries and coastal areas as nursery grounds for marine fish early life stages. Mar. Environ. Res. 2021, 170, 105408. [Google Scholar] [CrossRef]
- Hedberg, P.; Rybak, F.F.; Gullström, M.; Jiddawi, N.S.; Winder, M. Fish larvae distribution among different habitats in coastal East Africa. J. Fish Biol. 2019, 94, 29–39. [Google Scholar] [CrossRef]
- Leal, M.C.; Pereira, T.C.; Brotas, V.; Paula, J. Vertical migration of gold-spot herring (Herklotsichthys quadrimaculatus) larvae on Sofala Bank, Mozambique. West. Indian Ocean J. Mar. Sci. 2010, 9, 175–183. [Google Scholar]
- Abrantes, K.G.; Barnett, A.; Marwick, T.R.; Bouillon, S. Importance of terrestrial subsidies for estuarine food webs in contrasting East African catchments. Ecosphere 2013, 4, 1–33. [Google Scholar] [CrossRef]
- Palalane, J.; Larson, M.; Hanson, H.; Juízo, D. Coastal erosion in Mozambique: Governing processes and remedial measures. J. Coast. Res. 2016, 32, 700–718. [Google Scholar]
- Mazzilli, S. Understanding Estuarine Hydrodynamics for Decision Making in Data Poor Coastal Environments. Ph.D. Thesis, University of Cambridge, Cambridge Coastal Research Unit, Cambridge, UK, 2015. [Google Scholar]
- Barletta-Bergan, A.; Barletta, M.; Saint-Paul, U. Structure and seasonal dynamics of larval fish in the Caeté River Estuary in North Brazil. Estuar. Coast. Shelf Sci. 2002, 54, 193–206. [Google Scholar] [CrossRef]
- Leis, J.M.; Carson-Ewart, B.M. The Larvae of Indo-Pacific Coastal Fishes: An Identification Guide to Marine Fish Larvae; Leis, J.M., Carson-Ewart, B., Eds.; Brill: Leiden, The Netherlands, 2000; Volume 2. [Google Scholar]
- Ramos, S.; Cowen, R.K.; Ré, P.; Bordalo, A.A. Temporal and spatial distributions of larval fish assemblages in the Lima estuary (Portugal). Estuar. Coast. Shelf Sci. 2006, 66, 303–314. [Google Scholar] [CrossRef]
- Sampey, A.; Meekan, M.G.; Carleton, J.H.; McKinnon, A.D.; McCormick, M.I. Temporal patterns in distributions of tropical fish larvae on the North West Shelf of Australia. Mar. Freshw. Res. 2004, 55, 473–487. [Google Scholar] [CrossRef]
- Rathnasuriya, M.I.G.; Mateos-Rivera, A.; Skern-Mauritzen, R.; Wimalasiri, H.B.U.; Jayasinghe, R.P.P.K.; Krakstad, J.O.; Dalpadado, P. Composition and diversity of larval fish in the Indian Ocean using morphological and molecular methods. Mar. Biodivers. 2021, 51, 39. [Google Scholar] [CrossRef]
- Mwaluma, J.; Kaunda-Arara, B.; Strydom, N.A. A Guide to Commonly Occurring Larval Stages of Fishes in Kenyan Coastal Waters; Institute of Marine Sciences, University of Dar es Salaam and Western Indian Ocean Marine Science Association: Zanzibar, Tanzania, 2014. [Google Scholar]
- Kanou, K.; Kohno, H.; Tongnunui, P.; Kurokura, H. Larvae and juveniles of two engraulid species, Thryssa setirostris and Thryssa hamiltonii, occurring in the surf zone at Trang, southern Thailand. Ichthyol. Res. 2002, 49, 401–405. [Google Scholar] [CrossRef]
- Froese, R.; Papasissi, C. The use of modern relational databases for identification of fish larvae. J. Appl. Ichthyol. 1990, 6, 37–45. [Google Scholar] [CrossRef]
- Strong, W.L. Biased richness and evenness relationships within Shannon–Wiener index values. Ecol. Indic. 2016, 67, 703–713. [Google Scholar] [CrossRef]
- Anderson, M.J. Permutational Multivariate Analysis of Variance (PERMANOVA); Balakrishnan, N., Colton, T., Everitt, B., Piegorsch, W., Ruggeri, F., Teugels, J.L., Eds.; John Wiley & Sons, Ltd.: Hoboken, NJ, USA, 2017. [Google Scholar] [CrossRef]
- Rakocinski, C.F.; Lyczkowski-Shultz, J.; Richardson, S.L. Ichthyoplankton assemblage structure in Mississippi Sound as revealed by canonical correspondence analysis. Estuar. Coast. Shelf Sci. 1996, 43, 237–257. [Google Scholar] [CrossRef]
- Clarke, K.R.; Gorley, R.N.; Somerfield, P.J.; Warwick, R.M. Change in Marine Communities: An Approach to Statistical Analysis and Interpretation; Primer-E Ltd.: Plymouth, UK, 2014. [Google Scholar]
- Montagna, P.A.; Palmer, T.A.; Beseres Pollack, J. Conceptual model of estuary ecosystems. In Hydrological Changes and Estuarine Dynamics; Springer: New York, NY, USA, 2013; pp. 5–21. [Google Scholar] [CrossRef]
- Hoguane, A.M.; Gammelsrod, T.; Furaca, N.B.; Cafermane, A.C.; António, M.H. The residual circulation profile of the Bons Sinais Estuary in central Mozambique-potential implications for larval dispersal and fisheries. West. Indian Ocean. J. Mar. Sci. 2021, 1/2021, 17–27. [Google Scholar] [CrossRef]
- Fuentes-Yaco, C.; de León, D.A.S.; Monreal-Gómez, M.A.; Vera-Herrera, F. Environmental forcing in a tropical estuarine ecosystem: The Palizada River in the southern Gulf of Mexico. Mar. Freshw. Res. 2001, 52, 735–744. [Google Scholar] [CrossRef]
- Lane, R.R.; Day, J.W., Jr.; Marx, B.D.; Reyes, E.; Hyfield, E.; Day, J.N. The effects of riverine discharge on temperature, salinity, suspended sediment and chlorophyll a in a Mississippi delta estuary measured using a flow-through system. Estuar. Coast. Shelf Sci. 2007, 74, 145–154. [Google Scholar] [CrossRef]
- Fatema, K.; Maznah, W.W.; Isa, M.M. Spatial and temporal variation of physico-chemical parameters in the Merbok Estuary, Kedah, Malaysia. Trop. Life Sci. Res. 2014, 25, 1–19. [Google Scholar]
- Uncles, R.J.; Bloomer, N.J.; Frickers, P.E.; Griffiths, M.L.; Harris, C.; Howland, R.J.M.; Morris, A.; Plummer, D.; Tappin, A.D. Seasonal variability of salinity, temperature, turbidity and suspended chlorophyll in the Tweed Estuary. Sci. Total Environ. 2000, 251, 115–124. [Google Scholar] [CrossRef]
- Williams, A.B.; Benson, N.U. Interseasonal hydrological characteristics and variabilities in surface water of tropical estuarine ecosystems within Niger Delta, Nigeria. Environ. Monit. Assess. 2010, 165, 399–406. [Google Scholar] [CrossRef]
- Whitfield, A.K. A characterization of southern African estuarine systems. S. Afr. J. Aquat. Sci. 1992, 18, 89–103. [Google Scholar] [CrossRef]
- Uncles, R.J.; Stephens, J.A. The annual cycle of temperature in a temperate estuary and associated heat fluxes to the coastal zone. J. Sea Res. 2001, 46, 143–159. [Google Scholar] [CrossRef]
- Ward, L.G. Variations in physical properties and water quality in the Webhannet River estuary (Wells National Estuarine Research Reserve, Maine). J. Coast. Res. 2004, 10045, 39–58. [Google Scholar] [CrossRef]
- Chícharo, A.; Barbosa, A.B. Hydrology and biota interactions as driving forces for ecosystem functioning. Treatise Estuar. Coast. Sci. 2011, 10, 7–47. [Google Scholar]
- Azhikodan, G.; Hlaing, N.O.; Yokoyama, K.; Kodama, M. Spatio-temporal variability of the salinity intrusion, mixing, and estuarine turbidity maximum in a tide-dominated tropical monsoon estuary. Cont. Shelf Res. 2021, 225, 104477. [Google Scholar] [CrossRef]
- Uncles, R.J.; Stephens, J.A.; Harris, C. Runoff and tidal influences on the estuarine turbidity maximum of a highly turbid system: The upper Humber and Ouse Estuary, UK. Mar. Geol. 2006, 235, 213–228. [Google Scholar] [CrossRef]
- Duy Vinh, V.; Ouillon, S.; Van Uu, D. Estuarine Turbidity Maxima and variations of aggregate parameters in the Cam-Nam Trieu estuary, North Vietnam, in early wet season. Water 2018, 10, 68. [Google Scholar] [CrossRef]
- Vinh, V.D.; Ouillon, S. The double structure of the Estuarine Turbidity Maximum in the Cam-Nam Trieu mesotidal tropical estuary, Vietnam. Mar. Geol. 2021, 442, 106670. [Google Scholar] [CrossRef]
- Yu, Y.; Zhang, H.; Lemckert, C. Salinity and turbidity distributions in the Brisbane River estuary, Australia. J. Hydrol. 2014, 519, 3338–3352. [Google Scholar] [CrossRef]
- Garel, E. Present dynamics of the Guadiana estuary. Guadiana River Estuary. Investig. Past Present Future 2017, 15–37. [Google Scholar]
- Jiang, A.W.; Ranasinghe, R.; Cowell, P.; Savioli, J.C. Tidal asymmetry of a shallow, well-mixed estuary and the implications on net sediment transport: A numerical modelling study. Aust. J. Civ. Eng. 2011, 9, 1–18. [Google Scholar] [CrossRef]
- Mugabe, E.D.; Madeira, A.N.; Mabota, H.S.; Nataniel, A.N.; Santos, J.; Groeneveld, J.C. Small-scale fisheries of the Bons Sinais Estuary in Mozambique with emphasis on utilization of unselective gear. West. Indian Ocean. J. Mar. Sci. 2021, 1/2021, 59–74. [Google Scholar] [CrossRef]
- Unsworth, R.K.F.; Garrard, S.L.; De Leon, P.S.; Cullen, L.C.; Smith, D.J.; Sloman, K.A.; Bell, J.J. Structuring of Indo-Pacific fish assemblages along the mangrove seagrass continuum. Aquat. Biol. 2009, 5, 85–95. [Google Scholar] [CrossRef]
- Ooi, A.L.; Chong, V.C. Larval fish assemblages in a tropical mangrove estuary and adjacent coastal waters: Offshore–inshore flux of marine and estuarine species. Cont. Shelf Res. 2011, 31, 1599–1610. [Google Scholar] [CrossRef]
- Fernández-Delgado, C.; Baldó, F.; Vilas, C.; García-González, D.; Cuesta, J.A.; González-Ortegón, E.; Drake, P. Effects of the river discharge management on the nursery function of the Guadalquivir river estuary (SW Spain). Hydrobiologia 2007, 587, 125–136. [Google Scholar] [CrossRef]
- Strydom, N.A. Patterns in larval fish diversity, abundance, and distribution in temperate South African estuaries. Estuar. Coast 2015, 38, 268–284. [Google Scholar] [CrossRef]
- Miró, J.M.; Megina, C.; Donázar-Aramendía, I.; Reyes-Martínez, M.J.; Sánchez-Moyano, J.E.; García-Gómez, J.C. Environmental factors affecting the nursery function for fish in the main estuaries of the Gulf of Cadiz (south-west Iberian Peninsula). Sci. Total Environ. 2020, 737, 139614. [Google Scholar] [CrossRef]
- Blaber, S.J.M.; Farmer, M.J.; Milton, D.A.; Pang, J.; Boon-Teck, O.; Wong, P. The ichthyoplankton of selected estuaries in Sarawak and Sabah: Composition, distribution and habitat affinities. Estuar. Coast. Shelf Sci. 1997, 45, 197–208. [Google Scholar] [CrossRef]
- Vorsatz, L.D.; Pattrick, P.; Porri, F. Ecological scaling in mangroves: The role of microhabitats for the distribution of larval assemblages. Estuar. Coast. Shelf Sci. 2021, 253, 107318. [Google Scholar] [CrossRef]
- Harris, S.A.; Cyrus, D.P.; Beckley, L.E. Horizontal trends in larval fish diversity and abundance along an ocean-estuarine gradient on the northern KwaZulu-Natal coast, South Africa. Estuar. Coast. Shelf Sci. 2001, 53, 221–235. [Google Scholar] [CrossRef]
- Primo, A.L.; Azeiteiro, U.M.; Marques, S.C.; Pardal, M.Â. Impact of climate variability on ichthyoplankton communities: An example of a small temperate estuary. Estuar. Coast. Shelf Sci. 2011, 91, 484–491. [Google Scholar] [CrossRef]
- Thresher, R.E. Reproduction in Reef Fishes; T.F.H. Publications: Neptune City, NJ, USA, 1984; 399p. [Google Scholar]
- Ribeiro, R.; Reis, J.; Santos, C.; Gonçalves, F.; Soares, A.M. Spawning of AnchovyEngraulis encrasicolusin the Mondego Estuary, Portugal. Estuar. Coast. Shelf Sci. 1996, 42, 467–482. [Google Scholar] [CrossRef]
- Pattrick, P.; Strydom, N.A. Composition, abundance, distribution and seasonality of larval fishes in the shallow nearshore of the proposed Greater Addo Marine Reserve, Algoa Bay, South Africa. Estuar. Coast. Shelf Sci. 2008, 79, 251–262. [Google Scholar] [CrossRef]
- Pattrick, P.; Strydom, N. Recruitment of fish larvae and juveniles into two estuarine nursery areas with evidence of ebb tide use. Estuar. Coast. Shelf Sci. 2014, 149, 120–132. [Google Scholar] [CrossRef]
- Hajisamae, S.; Yeesin, P.; Chaimongkol, S. Habitat utilization by fishes in a shallow, semi-enclosed estuarine bay in southern Gulf of Thailand. Estuar. Coast. Shelf Sci. 2006, 68, 647–655. [Google Scholar] [CrossRef]
- Dyer, D.C.; Perissinotto, R.; Carrasco, N.K. Temporal and spatial dietary dynamics of the longspine glassy (Ambassis ambassis) in the St Lucia estuarine system, iSimangaliso Wetland Park. Water SA 2015, 41, 91–104. [Google Scholar] [CrossRef][Green Version]
- Sanvicente-Añorve, L.; Hernández-Gallardo, A.; Gómez-Aguirre, S.; Flores-Coto, C. Fish larvae from a Caribbean estuarine system. In Proceedings of the Big Fish Bang, Proceedings of the 26th Annual Larval Fish Conference, Os, Norway, 22–26 July 2002; Institute of Marine Research: Bergen, Norway, 2003; pp. 365–379. [Google Scholar]
- Selleslagh, J.; Amara, R. Environmental factors structuring fish composition and assemblages in a small macrotidal estuary (eastern English Channel). Estuar. Coast. Shelf Sci. 2008, 79, 507–517. [Google Scholar] [CrossRef]
- Santos, R.V.S.; Ramos, S.; Bonecker, A.C.T. Environmental control on larval stages of fish subject to specific salinity range in tropical estuaries. Reg. Stud. Mar. Sci. 2017, 13, 42–53. [Google Scholar] [CrossRef]
- Mualeque, D.; Santos, J. Biology, fisheries and distribution of Thryssa vitrirostris (Gilchrist & Thompson 1908) and other Engraulidae along the coast of the Sofala Bank, western Indian Ocean. Afr. J. Mar. Sci. 2011, 33, 127–137. [Google Scholar]
- Whitfield, A.K. A review of factors influencing fish utilization of South African estuaries. Trans. R. Soc. S. Afr. 1996, 51, 115–137. [Google Scholar] [CrossRef]
- Vanza, J.G.; Borichangar, R.V.; Solanki, H.G.; Patel, P.P. A review of the sand whiting Sillago Sihama (Forsskål, 1775) suitability as a diversified Brackishwater finfish species and its culture potential. Pharma Innov. J. 2022, 11, 1116–1122. [Google Scholar]
- Whitfield, A.K. Preliminary documentation and assessment of fish diversity in sub-Saharan African estuaries. Afr. J. Mar. Sci. 2005, 27, 307–324. [Google Scholar] [CrossRef]
- Mann, B. Southern African marine linefish species profiles. Spec. Publ. 2013, 9, 125–131. [Google Scholar]
- Whitfield, A.K. Fishes of Southern African Estuaries: From Species to Systems. Grahamstown, South Africa, South African Institute for Aquatic Biodiversity; Smithiana Monograph: Grahamstown, South Africa, 2019; 495p. [Google Scholar]
- Costa, E.F.S.; Mocuba, J.; Oliveira, D.; Teodósio, M.A.; Leitão, F. Biological aspects of fish species from subsistence fisheries in “Bons Sinais” estuary, Mozambique. Reg. Stud. Mar. Sci. 2020, 39, 101438. [Google Scholar] [CrossRef]
- Whitfield, A.K.; Panfili, J.; Durand, J.D. A global review of the cosmopolitan flathead mullet Mugil cephalus Linnaeus 1758 (Teleostei: Mugilidae), with emphasis on the biology, genetics, ecology and fisheries aspects of this apparent species complex. Rev. Fish Biol. Fish. 2012, 22, 641–681. [Google Scholar] [CrossRef]
- Nanami, A. Juvenile swimming performance of three fish species on an exposed sandy beach in Japan. J. Exp. Mar. Biol. Ecol. 2007, 348, 1–10. [Google Scholar] [CrossRef]
- Garratt, P.A. Spawning of riverbream, Acanthopagrus berda, in Kosi estuary. Afr. Zool. 1993, 28, 26–31. [Google Scholar] [CrossRef]
- James, N.C.; Mann, B.Q.; Beckley, L.E.; Govender, A. Age and growth of the estuarine-dependent sparid Acanthopagrus berda in northern KwaZulu-Natal, South Africa. Afr. Zool. 2003, 38, 265–271. [Google Scholar] [CrossRef]
- Russell, D.J.; Thuesen, P.A.; Thomson, F.E. A review of the biology, ecology, distribution and control of Mozambique tilapia, Oreochromis mossambicus (Peters 1852) (Pisces: Cichlidae) with particular emphasis on invasive Australian populations. Rev. Fish Biol. Fish. 2012, 22, 533–554. [Google Scholar] [CrossRef]
- Whitfield, A.K. Why are there so few freshwater fish species in most estuaries? J. Fish Biol. 2015, 86, 1227–1250. [Google Scholar] [CrossRef]
- Turner, G.F.; Robinson, R.L. Reproductive biology, mating systems and parental care. In Tilapias: Biology and Exploitation; Springer: Dordrecht, The Netherlands, 2000; pp. 33–58. [Google Scholar] [CrossRef]
- Strydom, N.A.; Wooldridge, T.H. Diel and tidal variations in larval fish exchange in the mouth region of the Gamtoos Estuary, South Africa. Afr. J. Aquat. Sci. 2005, 30, 131–140. [Google Scholar] [CrossRef]
- Whitfield, A.K. Biology and Ecology of Fishes in Southern African Estuaries; Ichthyological Monographs of the J.L.B. Smith Institute of Ichthyology: Grahamstown, South Africa, 1998; Volume 2, 223p. [Google Scholar]
- Whitfield, A.K. An estuary-association classification for the fishes of southern Africa. S. Afr. J. Sci. 1994, 90, 411–417. [Google Scholar]
- Leis, J.M. Are larvae of demersal fishes plankton or nekton? Adv. Mar. Biol. 2006, 51, 57–141. [Google Scholar]
- Fisher, R.; Leis, J.M.; Clark, D.L.; Wilson, S.K. Critical swimming speeds of late-stage coral reef fish larvae: Variation within species, among species and between locations. Mar. Biol. 2005, 147, 1201–1212. [Google Scholar] [CrossRef]
- Faria, A.M.; Ojanguren, A.F.; Fuiman, L.A.; Gonçalves, E.J. Ontogeny of critical swimming speed of wild-caught and laboratory-reared red drum Sciaenops ocellatus larvae. Mar. Ecol. Prog. Ser. 2009, 384, 221–230. [Google Scholar] [CrossRef][Green Version]
- Vasconcelos, R.P.; Reis-Santos, P.; Maia, A.; Fonseca, V.; França, S.; Wouters, N.; Costa, M.J.; Cabral, H.N. Nursery use patterns of commercially important marine fish species in estuarine systems along the Portuguese coast. Estuar. Coast. Shelf Sci. 2010, 86, 613–624. [Google Scholar] [CrossRef]
- Zacardi, D.M.; da Ponte, S.C.S. Padrões de distribuição e ocorrência do ictioplâncton no médio Rio Xingu, bacia Amazônica, Brasil. Rev. Agronegócio E Meio Ambiente 2016, 9, 949–972. [Google Scholar] [CrossRef]
- Xia, M.; Xie, L.; Pietrafesa, L.J. Modeling of the Cape Fear River estuary plume. Estuaries Coasts 2007, 30, 698–709. [Google Scholar] [CrossRef]
- Montoya-Maya, P.H.; Strydom, N.A. Description of larval fish composition, abundance and distribution in nine south and west coast estuaries of South Africa. Afr. Zool. 2009, 44, 75–92. [Google Scholar] [CrossRef]
- Utne-Palm, A.C. Visual feeding of fish in a turbid environment: Physical and behavioural aspects. Mar. Freshw. Behav. Physiol. 2002, 35, 111–128. [Google Scholar] [CrossRef]
- Whitfield, A.K. Abundance of larval and 0þ juvenile marine fishes in the lower reaches of three southern African estuaries with differing freshwater inputs. Mar. Ecol. Progr. Ser. 1994, 105, 257–267. [Google Scholar] [CrossRef]
- Chermahini, M.A.; Shabani, A.; Naddafi, R.; Ghorbani, R.; Rabbaniha, M.; Noorinejad, M. Diversity, distribution, and abundance patterns of ichthyoplankton assemblages in some inlets of the northern Persian Gulf. J. Sea Res. 2021, 167, 101981. [Google Scholar] [CrossRef]










| Temperature (°C) | Salinity | Transparency (cm) | |||||||
|---|---|---|---|---|---|---|---|---|---|
| Month | Lower | Middle | Upper | Lower | Middle | Upper | Lower | Middle | Upper |
| January W | 30 ± 0.4 | 30.6 ± 0.3 | 31.6 ± 0.6 | 20.7 ± 1.2 | 6.2 ± 4.8 | 0.1 ± 0 | 61.7 ± 33.3 | 36.8 ± 30.6 | 36 ± 21.2 |
| February W | 28.9 ± 1.3 | 29 ± 1.7 | 29.7 ± 2.2 | 25.9 ± 3.3 | 10.9 ± 8.1 | 1 ± 1.5 | 50 ± 43.6 | 50.7 ± 39.5 | 28.3 ± 16.1 |
| March W | 29.6 ± 0.2 | 30.4 ± 0.4 | 30.1 ± 0.1 | 15.5 ± 9.9 | 5.3 ± 7.4 | 0.1 ± 0 | 49.3 ± 17.9 | 24 ± 7.9 | 32 ± 6.7 |
| April W | 27.7 ± 0.1 | 28.4 ± 0.1 | 27.2 ± 0.8 | 24.9 ± 0.4 | 19.8 ± 1.6 | 4.9 ± 6.6 | 45 ± 0 | 23.5 ± 9.2 | 47.5 ± 10.6 |
| May D | 26.3 ± 0.1 | 26.6 ± 0.1 | 25.8 ± 0.1 | 23.2 ± 0.6 | 17.5 ± 2.8 | 1.6 ± 1.4 | 26 ± 1.4 | 16.5 ± 7.4 | 11 ± 1.4 |
| June D | 24.8 ± 0.1 | 24.7 ± 0.6 | 23.5 ± 0.4 | 29.8 ± 0.1 | 23.9 ± 4.1 | 3.8 ± 3.4 | 70 ± 0 | 33.3 ± 5.8 | 27.5 ± 3.5 |
| July D | 23.7 ± 0 | 24 ± 0.2 | 23.5 ± 0.1 | 27.6 ± 0.6 | 21.7 ± 5 | 3.4 ± 3.3 | 54.7 ± 4.6 | 33.3 ± 5.8 | 17.5 ± 0.7 |
| August D | 25.1 ± 0.5 | 25.5 ± 0.8 | 25.2 ± 0.8 | 30.9 ± 2 | 24.7 ± 2.7 | 9.2 ± 4.2 | 55 ± 16.8 | 32.6 ± 14.6 | 23.3 ± 3.9 |
| September D | 26.6 ± 0 | 27.1 ± 0.3 | 27 ± 0 | 29.7 ± 0.4 | 28.7 ± 0.6 | 19.9 ± 3.8 | 21,5 ± 0,7 | 15.8 ± 0.9 | 17.5 ± 3.5 |
| October D | 27.5 ± 1.2 | 28.5 ± 0.9 | 28.2 ± 1.9 | 29.9 ± 0.2 | 31 ± 0.5 | 25.5 ± 3.5 | 46.3 ± 16.5 | 32.9 ± 13.3 | 29 ± 10.9 |
| November W | 29.9 ± 0.7 | 30.4 ± 0.5 | 30.3 ± 0.4 | 31 ± 1 | 30.5 ± 0.9 | 24.1 ± 3.2 | 36.7 ± 12.6 | 32.2 ± 12.4 | 27.7 ± 6.1 |
| December W | 30.5 ± 0.3 | 31 ± 0.4 | 31.6 ± 0.1 | 29.1 ± 0 | 24.2 ± 4.3 | 4.2 ± 4 | 55 ± 14.1 | 32.5 ± 8.7 | 27.5 ± 3.5 |
| Season | Lower | Middle | Upper | Lower | Middle | Upper | Lower | Middle | Upper |
| Dry | 25.7 ± 1.5 a | 26.3 ± 1.6 a | 25.8 ± 2.0 a | 28.9 ± 2.6 a | 25.4 ± 5.1 a | 12.2 ± 2.0 b | 47.3 ± 18.4 a | 28.3 ± 12.7 b | 22.3 ± 8.3 b |
| Wet | 29.6 ± 1.0 a | 30.1 ± 1.1 a | 30.2 ± 1.4 a | 24.8 ± 7.4 a | 17.1 ± 11.8 b | 8.7 ± 11.2 c | 47.6 ± 22.3 a | 33.9 ± 21.9 b | 31.7 ± 11.3 b |
| Total No. | Average Larval Density (N°/100 m3) | |||
|---|---|---|---|---|
| Sampling location | Marrubune | 205 | 22.9 ± 6.8 | |
| Nhambire | 283 | 29.9 ± 9.3 | ANOVA (p > 0.05) | |
| Aquapesca | 377 | 28.4 ± 7 | ||
| Olinda | 471 | 41.9 ± 11.5 | ||
| Karungo | 370 | 34.9 ± 10.8 | ||
| Inhangome | 365 | 41.5 ± 18.9 | ||
| Hilalane | 222 | 19.3 ± 12.4 | ||
| Mundanama | 285 | 24.23 ± 8.1 | ||
| Estuarine zone | Lower | 488 | 26.6 ± 5.8 | |
| Middle | 1583 | 36.3 ± 5.9 | ANOVA (p < 0.05) | |
| Upper | 507 | 21.6 ± 7.5 | ||
| Season | Wet | 1767 | 36.9 ± 6 | Wet vs. Dry (p < 0.05) |
| Dry | 811 | 20.9 ± 3.7 | ||
| Larval Density Average ± SE (N°/100 m3) | Frequency of Occurrence (FO) by Estuarine Zone | ||||||||
|---|---|---|---|---|---|---|---|---|---|
| Comparisons among Estuarine Zones | |||||||||
| Larval Taxa | Overall Density | Lower | Middle | Upper | p < 0.05 | Lower | Middle | Upper | Overall (FO) |
| Ambassis sp. | 7.97 ± 1.0 | 2.2 ± 0.7 | 9.6 ± 1.3 | 6.5 ± 1.6 | No | 8 | 22 | 37 | 22 |
| Blenniidae | 3.63 ± 1.2 | 2.9 ± 0.6 | 5.1 ± 3.9 | - | No | 8 | 1 | - | 2 |
| Clupeidae | 14.03 ± 8.5 | 2 ± 0 | 8.9 ± 7.3 | 53.5 ± 0 | No | 8 | 4 | 3 | 4 |
| Thryssa sp. | 14.14 ± 5.9 | 1.3 ± 0 | 16.6 ± 7.2 | 10.6 ± 0 | No | 4 | 7 | 2 | 5 |
| Gobiidae | 17.01 ± 3.4 | 21.4 ± 5.8 | 14.9 ± 3.5 | 15.9 ± 11.6 | Yes | 47 | 27 | 29 | 31 |
| J. dussumieri | 2.45 ± 0.5 | 1.4 ± 0 | 2.2 ± 0.3 | 3.1 ± 1.6 | No | 2 | 10 | 13 | 9 |
| Leiognathidae | 3.19 ± 0.6 | 4.3 ± 2.7 | 2.7 ± 0.6 | 5.2 ± 3.4 | No | 4 | 7 | 3 | 6 |
| P. ditchela | 3.99 ± 0.7 | 2.7 ± 0.1 | 4.6 ± 1 | - | No | 4 | 2 | - | 2 |
| P. kaakan | 2.04 ± 0.4 | - | 2.2 ± 0.5 | - | - | - | 4 | 2 | 3 |
| S. sihama | 4.12 ± 1.3 | 5.1 ± 3.3 | 4 ± 1.4 | 2.2 ± 1.1 | No | 13 | 7 | 5 | 8 |
| January | February | March | April | May | June | July | August | September | October | November | December | |
|---|---|---|---|---|---|---|---|---|---|---|---|---|
| Ambassis sp. | 12.06 | 4.29 | 13.67 | 4.56 | 1.88 | 1.07 | 1.34 | 16.62 | 22.25 | 9.38 | 9.38 | 3.49 |
| Blennidae | - | - | - | - | 23.08 | - | - | - | 7.69 | - | 38.46 | 30.77 |
| Clupeidae | - | 9.17 | 65.83 | 13.33 | 0.83 | - | - | - | 2.50 | 4.17 | 4.17 | - |
| Thryssa sp. | 51.06 | 6.91 | 7.45 | - | 5.85 | - | - | - | 3.72 | 0.53 | 24.47 | - |
| Gobiidae | 8.45 | 5.28 | 15.47 | 0.67 | 0.48 | 0.38 | 0.58 | 2.40 | 6.72 | 15.95 | 40.15 | 3.46 |
| J. dussumieri | - | 2.08 | - | 2.08 | 2.08 | 6.25 | 2.08 | 37.50 | 14.58 | 16.67 | 14.58 | 2.08 |
| Leiognathidae | 2.56 | - | - | - | 2.56 | - | 5.13 | 5.13 | 61.54 | 7.69 | 7.69 | 7.69 |
| P. ditchela | - | - | - | - | - | - | - | - | 85.00 | - | 15.00 | - |
| P. kaakan | - | - | - | - | - | - | - | - | 63.64 | 9.09 | - | 27.27 |
| S. sihama | - | 8.93 | 3.57 | - | - | 1.79 | 1.79 | 25.00 | 16.07 | 12.50 | 3.57 | 26.79 |
| Larval Taxa | Total Length Range (mm) | Total Length Average (mm) | |||
|---|---|---|---|---|---|
| Min | Max | Pre-Flexion | Flexion | Post-Flexion | |
| Ambassis sp. | 4.00 | 26.00 | – | – | 9.6 ± 3.1 |
| Blennidae | 2.268 | 16.845 | 2.3 ± 0 | – | 13.2 ± 4.1 |
| Clupeidae | 5.00 | 16.154 | – | 7.5 ± 1.1 | 9.7 ± 1.2 |
| Thryssa sp. | 6.00 | 28.018 | – | 7.9 ± 0.7 | 16.9 ± 2.9 |
| Gobiidae | 1.843 | 19.295 | 2.9 ± 0.4 | 4.1 ± 0.6 | 7.5 ± 1.9 |
| J. dussumieri | 2.789 | 8.80 | 3.1 ± 0.3 | 4.8 ± 0.6 | 7.3 ± 0.9 |
| Leiognathidae | 8.164 | 15.855 | – | – | 11.8 ± 1.9 |
| P. ditchela | 18.549 | 25.066 | – | – | 22.0 ± 1.8 |
| P. kaakan | 11.226 | 18.328 | – | – | 15.6 ± 2.2 |
| S. sihama | 2.20 | 25.68 | 3.3 ± 1.0 | 6.4 ± 1.3 | 13.2 ± 5.1 |
| Factors | df | MS | F | p | |
|---|---|---|---|---|---|
| Abundance | Season | 1 | 5157 | 2.43 | 0.0403 |
| Estuarine zone | 2 | 15,688 | 7.40 | 0.0001 | |
| Season × Estuarine zone | 2 | 2986 | 1.41 | 0.1717 | |
| Residual | 101 | 2120 | |||
| Total | 106 | ||||
| Density | Season | 1 | 5209 | 2.43 | 0.0405 |
| Estuarine zone | 2 | 16,215 | 7.57 | 0.0001 | |
| Estuarine zone × season | 2 | 3362 | 1.57 | 0.1169 | |
| Residual | 103 | 2143 | |||
| Total | 108 |
| Axis | Eigenvalue | p-Value | % Cumulative Variance |
|---|---|---|---|
| 1 | 0.098 | 0.007 | 66.02 |
| 2 | 0.051 | 0.001 | 33.98 |
| Marginal Tests | Overall Best Solutions | ||||||
|---|---|---|---|---|---|---|---|
| Variable | SS (Trace) | Pseudo-F | p-Value | Prop. (R2) | R2 | RSS | Variables |
| – | – | – | – | – | 1 | 0 | Salinity; Temperature, Transparency |
| – | – | – | – | – | 0.69018 | 98.523 | Salinity; Temperature |
| – | – | – | – | – | 0.68952 | 98.734 | Temperature; Transparency |
| – | – | – | – | – | 0.66781 | 105.64 | Salinity; Transparency |
| Transparency | 113.43 | 58.218 | 0.001 | 0.35669 | 0.35669 | 204.57 | Transparency |
| Salinity | 113.2 | 58.038 | 0.001 | 0.35598 | 0.35598 | 204.8 | Salinity |
| Temperature | 106.29 | 52.717 | 0.001 | 0.33425 | 0.33425 | 211.71 | Temperature |
Disclaimer/Publisher’s Note: The statements, opinions and data contained in all publications are solely those of the individual author(s) and contributor(s) and not of MDPI and/or the editor(s). MDPI and/or the editor(s) disclaim responsibility for any injury to people or property resulting from any ideas, methods, instructions or products referred to in the content. |
© 2023 by the authors. Licensee MDPI, Basel, Switzerland. This article is an open access article distributed under the terms and conditions of the Creative Commons Attribution (CC BY) license (https://creativecommons.org/licenses/by/4.0/).
Share and Cite
Mocuba, J.; Leitão, F.; Teodósio, M.A. The Diversity of Fish Larvae in the Bons Sinais Estuary (Mozambique) and Its Role as a Nursery to Marine Fish Resources. Diversity 2023, 15, 883. https://doi.org/10.3390/d15080883
Mocuba J, Leitão F, Teodósio MA. The Diversity of Fish Larvae in the Bons Sinais Estuary (Mozambique) and Its Role as a Nursery to Marine Fish Resources. Diversity. 2023; 15(8):883. https://doi.org/10.3390/d15080883
Chicago/Turabian StyleMocuba, Jeremias, Francisco Leitão, and Maria Alexandra Teodósio. 2023. "The Diversity of Fish Larvae in the Bons Sinais Estuary (Mozambique) and Its Role as a Nursery to Marine Fish Resources" Diversity 15, no. 8: 883. https://doi.org/10.3390/d15080883
APA StyleMocuba, J., Leitão, F., & Teodósio, M. A. (2023). The Diversity of Fish Larvae in the Bons Sinais Estuary (Mozambique) and Its Role as a Nursery to Marine Fish Resources. Diversity, 15(8), 883. https://doi.org/10.3390/d15080883

