Spatial Distribution of Hunting and Its Potential Effect on Browsing Impact of Roe Deer (Capreolus capreolus) on Forest Vegetation
Abstract
1. Introduction
2. Materials and Methods
2.1. Study Regions
2.2. Game Impact
2.3. Data Processing
2.4. Statistical Analyses
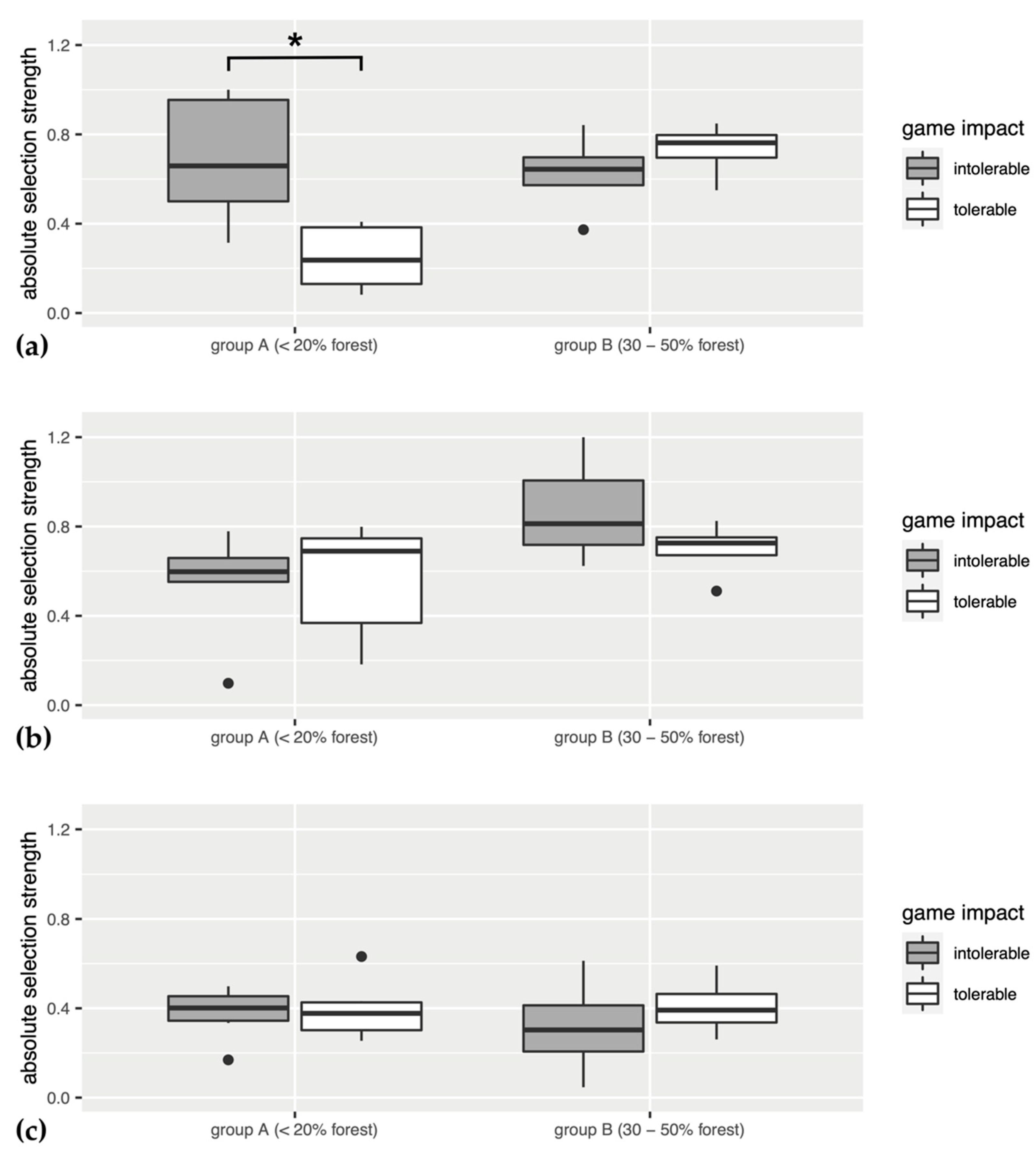
3. Results
4. Discussion
Author Contributions
Funding
Institutional Review Board Statement
Data Availability Statement
Acknowledgments
Conflicts of Interest
Appendix A. Guideline Values Regarding Game Impact on Longitudinal Transects in Upper Austria
References
- Cromsigt, J.P.G.M.; Kuijper, D.P.J.; Adam, M.; Beschta, R.L.; Churski, M.; Eycott, A.; Kerley, G.I.H.; Mysterud, A.; Schmidt, K.; West, K. Hunting for fear: Innovating management of human-wildlife conflicts. J. Appl. Ecol. 2013, 50, 544–549. [Google Scholar] [CrossRef]
 - Lorenzini, R.; Hewison, M.; Gaillard, J.M.; Garofalo, L.; Rossi, L.; Morellet, N.; Verheyden, H.; Lovari, S.; Lister, A.M.; Mattioli, S. European roe deer Capreolus capreolus (Linnaeus, 1758). In Handbook of the Mammals of Europe; Hackländer, K., Zachos, F.E., Eds.; Springer: Cham, Switzerland, 2022; pp. 1–32. [Google Scholar]
 - Vial, L.; Maudet, C.; Luikart, G. Thirty-four polymorphic microsatellites for European roe deer. Mol. Ecol. Notes 2003, 3, 523–527. [Google Scholar] [CrossRef]
 - Tixier, H.; Duncan, P. Are European Roe Deer browsers? A review of variations in the composition of their diets. Rev. D’écologie 1996, 51, 3–17. [Google Scholar] [CrossRef]
 - Bonnot, N.; Morellet, N.; Verheyden, H.; Cargnelutti, B.; Lourtet, B.; Klein, F.; Hewison, A.J.M. Habitat use under predation risk: Hunting, roads and human dwellings influence the spatial behaviour of roe deer. Eur. J. Wildl. Res. 2013, 59, 185–193. [Google Scholar] [CrossRef]
 - Marcon, A.; Battocchio, D.; Apollonio, M.; Grignolio, S. Assessing precision and requirements of three methods to estimate roe deer density. PLoS ONE 2019, 14, e0222349. [Google Scholar] [CrossRef]
 - Apollonio, M.; Andersen, R.; Putman, R. European Ungulates and Their Management in the 21st Century; Cambridge University Press: Cambridge, UK, 2010. [Google Scholar]
 - Partl, E.; Szinovatz, V.; Reimoser, F.; Schweiger-Adler, J. Forest restoration and browsing impact by roe deer. For. Ecol. Manag. 2002, 159, 87–100. [Google Scholar] [CrossRef]
 - Gerhardt, P.; Arnold, J.M.; Hackländer, K.; Hochbichler, E. Determinants of deer impact in European forests—A systematic literature analysis. For. Ecol. Manag. 2013, 310, 173–186. [Google Scholar] [CrossRef]
 - Reimoser, F. Steering the impacts of ungulates on temperate forests. J. Nat. Conserv. 2003, 10, 243–252. [Google Scholar] [CrossRef]
 - Putman, R.; Apollonio, M.; Andersen, R. Ungulate Management in Europe: Problems and Practices; Cambridge University Press: Cambridge, UK, 2011. [Google Scholar]
 - Thurfjell, H.; Spong, G.; Ericsson, G. Effects of hunting on wild boar Sus scrofa behaviour. Wildl. Biol. 2013, 19, 87–93. [Google Scholar] [CrossRef]
 - Padié, S.; Morellet, N.; Hewison, A.J.M.; Martin, J.L.; Bonnot, N.; Cargnelutti, B.; Chamaillé-Jammes, S. Roe deer at risk: Teasing apart habitat selection and landscape constraints in risk exposure at multiple scales. Oikos 2015, 124, 1536–1546. [Google Scholar] [CrossRef]
 - Little, A.R.; Webb, S.L.; Demarais, S.; Gee, K.L.; Riffell, S.K.; Gaskamp, J.A. Hunting intensity alters movement behaviour of white-tailed deer. Basic Appl. Ecol. 2016, 17, 360–369. [Google Scholar] [CrossRef]
 - Godvik, I.M.R.; Loe, L.E.; Vik, J.O.; Veiberg, V.; Langvatn, R.; Mysterud, A. Temporal scales, trade-offs, and functional responses in red deer habitat selection. Ecology 2009, 90, 699–710. [Google Scholar] [CrossRef] [PubMed]
 - Say-Sallaz, E.; Chamaillé-Jammes, S.; Fritz, H.; Valeix, M. Non-consumptive effects of predation in large terrestrial mammals: Mapping our knowledge and revealing the tip of the iceberg. Biol. Conserv. 2019, 235, 36–52. [Google Scholar] [CrossRef]
 - Apollonio, M.; Belkin, V.V.; Borkowski, J.; Borodin, O.I.; Borowik, T.; Cagnacci, F.; Danilkin, A.A.; Danilov, P.I.; Faybich, A.; Ferretti, F.; et al. Challenges and science-based implications for modern management and conservation of European ungulate populations. Mammal Res. 2017, 62, 209–217. [Google Scholar] [CrossRef]
 - Little, A.R.; Demarais, S.; Gee, K.L.; Webb, S.L.; Riffell, S.K.; Gaskamp, J.A.; Belant, J.L. Does human predation risk affect harvest susceptibility of white-tailed deer during hunting season? Wildl. Soc. Bull. 2014, 38, 797–805. [Google Scholar] [CrossRef]
 - Heurich, M.; Brand, T.T.G.; Kaandorp, M.Y.; Šustr, P.; Müller, J.; Reineking, B. Country, cover or protection: What shapes the distribution of red deer and roe deer in the bohemian forest ecosystem? PLoS ONE 2015, 10, e0120960. [Google Scholar] [CrossRef]
 - Laundré, J.W.; Hernandez, L.; Ripple, W.J. The Landscape of Fear: Ecological implications of being afraid. Open Ecol. J. 2010, 3, 1–7. [Google Scholar] [CrossRef]
 - Benítez-López, A. Animals feel safer from humans in the dark. Science 2018, 360, 1185–1186. [Google Scholar] [CrossRef]
 - Marchand, P.; Garel, M.; Bourgoin, G.; Dubray, D.; Maillard, D.; Loison, A. Impacts of tourism and hunting on a large herbivore’s spatio-temporal behavior in and around a French protected area. Biol. Conserv. 2014, 177, 1–11. [Google Scholar] [CrossRef]
 - Griesberger, P.; Obermair, L.; Zandl, J.; Stalder, G.; Arnold, W.; Hackländer, K. Hunting suitability model: A new tool for managing wild ungulates. Wildl. Biol. 2022, 2022, e01021. [Google Scholar] [CrossRef]
 - Büttner, K. Winterliche Fährtenzählungen beim Rehwild in Abhängigkeit von Witterung, Waldstruktur und Jagddruck. Z. Für Jagdwiss. 1983, 29, 82–95. [Google Scholar] [CrossRef]
 - Mols, B.; Lambers, E.; Cromsigt, J.P.G.M.; Kuijper, D.P.J.; Smit, C. Recreation and hunting differentially affect deer behaviour and sapling performance. Oikos 2022, 2022, 1–13. [Google Scholar] [CrossRef]
 - Statistics Austria STATcube—Statistical Database of STATISTICS AUSTRIA. Available online: https://statcube.at (accessed on 6 March 2022).
 - Schodterer, H.; Kanz, C. Bundesweites Wildeinflussmonitoring 2019–2021. BFW. Prax. 2022, 55, 19–21. [Google Scholar]
 - Landwirtschaftskammer Oberösterreich. Land- Und Forstwirtschaft in Oberösterreich—Zahlen, Daten, Fakten; Landwirtschaftskammer Oberösterreich: Linz, Austria, 2016. [Google Scholar]
 - van der Maarel, E. Ecotones and ecoclines are different. J. Veg. Sci. 1990, 1, 135–138. [Google Scholar] [CrossRef]
 - Jasińska, K.D.; Jackowiak, M.; Gryz, J.; Bijak, S.; Szyc, K.; Krauze-Gryz, D. Habitat-related differences in winter presence and spring-summer activity of roe deer in Warsaw. Forests 2021, 12, 970. [Google Scholar] [CrossRef]
 - Reimoser, F.; Reimoser, S. Ungulates and their management in Austria. In European Ungulates and Their Management in the 21st Century; Apollonio, M., Andersen, R., Putman, R., Eds.; Cambridge University Press: Cambridge, UK, 2010; pp. 1–14. [Google Scholar]
 - Reimoser, F. Forests and ungulates in Austria: Problems, management strategies and research needs. In Grazing as a Management Tool in European Forest Ecosystems; Humphrey, J., Gill, R., Claridge, J., Eds.; Forestry Commission: Edinburgh, UK, 1998; pp. 45–63. [Google Scholar]
 - Baskin, L.; Danell, K. Ecology of Ungulates; Springer: Heidelberg, Germany, 2003. [Google Scholar]
 - Trouwborst, A.; Hackländer, K. Wildlife policy and law in Europe. In North American Wildlife Policy and Law; Leopold, B.D., Cummins, J.L., Kessler, W.B., Eds.; Boone & Crockett Club: Missoula, MT, USA, 2018; pp. 425–443. [Google Scholar]
 - Nopp-Mayr, U.; Reimoser, S.; Reimoser, F.; Sachser, F.; Obermair, L.; Gratzer, G. Analyzing long-term impacts of ungulate herbivory on forest-recruitment dynamics at community and species level contrasting tree densities versus maximum heights. Sci. Rep. 2020, 10, 20274. [Google Scholar] [CrossRef]
 - QGIS Development Team. QGIS Geographic Information System. Open Source Geospatial Foundation Project. 2019. Available online: http://qgis.osgeo.org (accessed on 15 April 2023).
 - Reimoser, S. Influence of anthropogenic disturbances on activity, behavior and heart rate of roe deer (Capreolus capreolus) and red deer (Cervus elaphus), in context of their daily and yearly patterns. In Deer: Habitat, Behavior and Conservation; Cahler, A.A., Marsten, J.P., Eds.; Nova Science Publishers, Inc.: New York, NY, USA, 2012; pp. 1–96. [Google Scholar]
 - R Core Team. R: A Language and Environment for Statistical Computing; R Core Team: Vienna, Austria, 2021. [Google Scholar]
 - Calenge, C. The Package “Adehabitat” for the R software: A tool for the analysis of space and habitat use by animals. Ecol. Modell. 2006, 197, 516–519. [Google Scholar] [CrossRef]
 - Fox, J.; Weisberg, S. An R Companion to Applied Regression, 3rd ed.; Sage: Thousand Oaks, CA, USA, 2019. [Google Scholar]
 - Manly, B.F.J.; Mcdonald, L.L.; Thomas, D.L.; Mcdonald, T.L.; Erickson, W.P. Resource Selection by Animals: Statistical Design and Analysis for Field Studies, 2nd ed.; Springer: Dordrecht, The Netherlands, 2002. [Google Scholar]
 - Gaynor, K.M.; Brown, J.S.; Middleton, A.D.; Power, M.E.; Brashares, J.S. Landscapes of fear: Spatial patterns of risk perception and response. Trends Ecol. Evol. 2019, 34, 355–368. [Google Scholar] [CrossRef] [PubMed]
 - Reimoser, S.; Partl, E.; Reimoser, F.; Vospernik, S. Roe-deer habitat suitability and predisposition of forest to browsing damage in Its dependence on forest growth—Model sensitivity in an alpine forest region. Ecol. Modell. 2009, 220, 2231–2243. [Google Scholar] [CrossRef]
 - Bergquist, J.; Örlander, G. Browsing Damage by roe deer on Norway spruce seedlings planted on clearcuts of different ages: 2. Effect of seedling vigour. For. Ecol. Manag. 1998, 105, 295–302. [Google Scholar] [CrossRef]
 - Borkowski, J.; Ukalski, K. Bark Stripping by red deer in a post-disturbance Area: The importance of security Cover. For. Ecol. Manag. 2012, 263, 17–23. [Google Scholar] [CrossRef]
 - Borkowski, J.; Ukalska, J. Winter habitat use by red and roe deer in pine-dominated forest. For. Ecol. Manag. 2008, 255, 468–475. [Google Scholar] [CrossRef]
 - Kramer, K.; Groot Bruinderink, G.W.T.A.; Prins, H.H.T. Spatial interactions between ungulate herbivory and forest management. For. Ecol. Manag. 2006, 226, 238–247. [Google Scholar] [CrossRef]
 - Nopp-Mayr, U.; Reimoser, F.; Völk, F. Predisposition assessment of mountainous forests to bark peeling by red deer (Cervus elaphus L.) as a atrategy in preventive forest habitat management. Wildl. Biol. Pract. 2011, 7, 66–89. [Google Scholar] [CrossRef]
 - Storms, D.; Said, S.; Fritz, H.; Hamann, J.L.; Saint-Andrieux, C.; Klein, F. Influence of hurricane Lothar on red and roe deer winter diets in the Northern Vosges, France. For. Ecol. Manag. 2006, 237, 164–169. [Google Scholar] [CrossRef]
 - Vospernik, S.; Reimoser, S. Modelling changes in roe deer habitat in response to forest management. For. Ecol. Manag. 2008, 255, 530–545. [Google Scholar] [CrossRef]
 - Ward, A.I.; White, P.C.L.; Walker, N.J.; Critchley, C.H. Conifer leader browsing by roe deer in english upland forests: Effects of Deer Density and Understorey Vegetation. For. Ecol. Manag. 2008, 256, 1333–1338. [Google Scholar] [CrossRef]
 - Saïd, S.; Servanty, S. The influence of landscape structure on female roe deer home-range size. Landsc. Ecol. 2005, 20, 1003–1012. [Google Scholar] [CrossRef]
 - Morellet, N.; van Moorter, B.; Cargnelutti, B.; Angibault, J.M.; Lourtet, B.; Merlet, J.; Ladet, S.; Hewison, A.J.M. Landscape composition influences roe deer habitat selection at both home range and landscape scales. Landsc. Ecol. 2011, 26, 999–1010. [Google Scholar] [CrossRef]
 





| Group A: < 20% | Group B: 30–50% | |||||
|---|---|---|---|---|---|---|
| Khi2L | df | p-Value | Khi2L | df | p-Value | |
| Tolerable | 284.64 | 12 | <0.001 | 336.64 | 8 | <0.001 | 
| Intolerable | 488.11 | 10 | <0.001 | 178.2 | 8 | <0.001 | 
| Sum Sq | df | F-Value | p-Value | |
|---|---|---|---|---|
| Forest | ||||
| Group of forest cover | 0.21078 | 1 | 4.8756 | <0.05 | 
| Game impact | 0.24675 | 1 | 5.7075 | <0.05 | 
| Group of forest cover: game impact | 0.35661 | 1 | 8.2489 | <0.05 | 
| Forest-edge habitat | ||||
| Group of forest cover | 0.37299 | 1 | 6.1585 | <0.05 | 
| Game impact | 0.05059 | 1 | 0.8353 | 0.37431 | 
| Group of forest cover: game impact | 0.10311 | 1 | 1.7024 | 0.21043 | 
| Agricultural land | ||||
| Group of forest cover | 0.00253 | 1 | 0.1056 | 0.7494 | 
| Game impact | 0.01072 | 1 | 0.4466 | 0.5135 | 
| Group of forest cover: game impact | 0.00712 | 1 | 0.2968 | 0.5934 | 
Disclaimer/Publisher’s Note: The statements, opinions and data contained in all publications are solely those of the individual author(s) and contributor(s) and not of MDPI and/or the editor(s). MDPI and/or the editor(s) disclaim responsibility for any injury to people or property resulting from any ideas, methods, instructions or products referred to in the content.  | 
© 2023 by the authors. Licensee MDPI, Basel, Switzerland. This article is an open access article distributed under the terms and conditions of the Creative Commons Attribution (CC BY) license (https://creativecommons.org/licenses/by/4.0/).
Share and Cite
Griesberger, P.; Kunz, F.; Reimoser, F.; Hackländer, K.; Obermair, L. Spatial Distribution of Hunting and Its Potential Effect on Browsing Impact of Roe Deer (Capreolus capreolus) on Forest Vegetation. Diversity 2023, 15, 613. https://doi.org/10.3390/d15050613
Griesberger P, Kunz F, Reimoser F, Hackländer K, Obermair L. Spatial Distribution of Hunting and Its Potential Effect on Browsing Impact of Roe Deer (Capreolus capreolus) on Forest Vegetation. Diversity. 2023; 15(5):613. https://doi.org/10.3390/d15050613
Chicago/Turabian StyleGriesberger, Paul, Florian Kunz, Friedrich Reimoser, Klaus Hackländer, and Leopold Obermair. 2023. "Spatial Distribution of Hunting and Its Potential Effect on Browsing Impact of Roe Deer (Capreolus capreolus) on Forest Vegetation" Diversity 15, no. 5: 613. https://doi.org/10.3390/d15050613
APA StyleGriesberger, P., Kunz, F., Reimoser, F., Hackländer, K., & Obermair, L. (2023). Spatial Distribution of Hunting and Its Potential Effect on Browsing Impact of Roe Deer (Capreolus capreolus) on Forest Vegetation. Diversity, 15(5), 613. https://doi.org/10.3390/d15050613
        
