Predicting the Habitat Suitability and Distribution of Two Species of Mound-Building Termites in Nigeria Using Bioclimatic and Vegetation Variables
Abstract
1. Introduction
2. Materials and Methods
2.1. Study Area
2.2. Termite Occurrence
2.3. Bioclimatic Variables and Vegetation Cover
2.4. Variables Selection
2.5. Model Development and Validation
3. Results
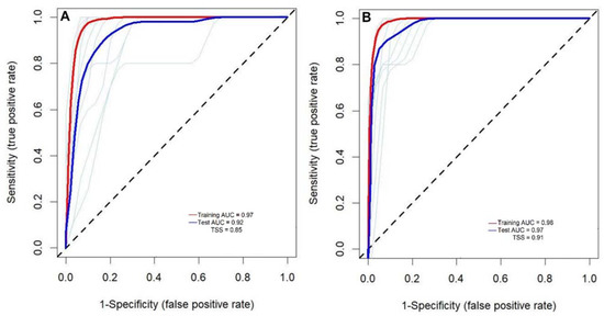
3.1. Variable Selection and Model Performance
3.2. Variable Importance
3.3. Predicting Habitat Suitability for Macrotermes Subhyalinus and M. bellicosus under Current Climatic Conditions
3.4. Predicting Habitat Suitability for Macrotermes subhyalinus and M. bellicosus under Future (Year 2050) Climatic Conditions
4. Discussion
Author Contributions
Funding
Institutional Review Board Statement
Data Availability Statement
Acknowledgments
Conflicts of Interest
References
- Chunco, A.J. Hybridization in a warmer world. Ecol. Evol. 2014, 4, 2019–2031. [Google Scholar] [CrossRef] [PubMed]
- Nechols, J.R.; Hough, A.R.; Margolies, D.C.; Ruberson, J.R.; Mccornack, B.P.; Sandercock, B.K.; Murray, L. Effect of Temperature on Plant Resistance to Arthropod Pests. Environ. Entomol. 2020, 49, 537–545. [Google Scholar] [CrossRef] [PubMed]
- Raza, M.M.; Khan, M.A.; Arshad, M.; Sagheer, M.; Sattar, Z.; Shafi, J.; Haq, E.U.; Ali, A.; Aslam, U.; Mushtaq, A.; et al. Impact of global warming on insects. Arch. Phytopathol. Plant Prot. 2015, 48, 84–94. [Google Scholar] [CrossRef]
- Patrick, K.; Robert, D.S. The Effect of Decreasing Temperature on Arthropod Diversity and Abundance in Horse Dung Decomposition Communities of Southeastern Massachusetts. Psyche J. Entomol. 2012, 2012, 618701. [Google Scholar] [CrossRef]
- Klok, C.J.; Harrison, J.F. The temperature size rule in arthropods: Independent of macro-environmental variables but size dependent. Integr. Comp. Biol. 2013, 53, 557–570. [Google Scholar] [CrossRef] [PubMed]
- Régnière, J.; Powell, J.; Bentz, B.; Nealis, V. Effects of temperature on development, survival and reproduction of insects: Experimental design, data analysis and modeling. J. Insect Physiol. 2012, 58, 634–647. [Google Scholar] [CrossRef]
- Lister, B.C.; Garcia, A. Climate-driven declines in arthropod abundance restructure a rainforest food web. PNAS 2018, 115, E10397–E10406. [Google Scholar] [CrossRef]
- Gillison, A.N.; Jones, D.T.; Susilo, F.X.; Bignell, D.E. Vegetation indicates diversity of soil macroinvertebrates: A case study with termites along a land-use intensification gradient in lowland Sumatra. Org. Divers. Evol. 2003, 3, 111–126. [Google Scholar] [CrossRef]
- Maynard, D.S.; Crowther, T.W.; King, J.R.; Warren, R.J.; Bradford, M.A. Temperate forest termites: Ecology, biogeography, and ecosystem impacts. Ecol. Entomol. 2015, 40, 199–210. [Google Scholar] [CrossRef]
- Jones, D.T.; Eggleton, P. Global biogeography of termites: A compilation of sources. In Biology of Termites: A modern Synthesis; Springer: Berlin/Heidelberg, Germany, 2010; pp. 477–498. [Google Scholar]
- Woon, J.S.; Atkinson, D.; Adu-Bredu, S.; Eggleton, P.; Parr, C.L. Termites have wider thermal limits to cope with environmental conditions in savannas. J. Anim. Ecol. 2022, 91, 766–779. [Google Scholar] [CrossRef]
- Arango, R.A.; Schoville, S.D.; Currie, C.R.; Carlos-Shanley, C. Experimental Warming Reduces Survival, Cold Tolerance, and Gut Prokaryotic Diversity of the Eastern Subterranean Termite, Reticulitermes flavipes (Kollar). Front. Microbiol. 2021, 12, 632715. [Google Scholar] [CrossRef] [PubMed]
- Hyseni, C.; Garrick, R.C. Ecological drivers of species distributions and niche overlap for three subterranean termite species in the southern Appalachian Mountains, USA. Insects 2019, 10, 33. [Google Scholar] [CrossRef]
- Woon, J.; Boyle, M.; Ewers, R.; Chung, A.; Eggleton, P. Termite environmental tolerances are more linked to desiccation than temperature in modified tropical forests. Insectes Soc. 2019, 66, 57–64. [Google Scholar] [CrossRef]
- Sattar, A.; Naeem, M. Impact of environmental factors on the population dynamics, density and foraging activities of Odontotermes lokanandi and Microtermes obesi in Islamabad. Springerplus 2013, 2, 349. [Google Scholar] [CrossRef]
- Stein, A.; Gerstner, K.; Kreft, H. Environmental heterogeneity as a universal driver of species richness across taxa, biomes and spatial scales. Ecol. Lett. 2014, 17, 866–880. [Google Scholar] [CrossRef] [PubMed]
- Aiki, I.; Yusuf, A.; Pirk, C. Refuge in architecture: Mounds and diversity of termite species from a Sahel and Sudan savannah. Int. J. Trop. Insect Sci. 2021, 41, 1365–1371. [Google Scholar] [CrossRef]
- Yang, H.; Wu, M.; Liu, W.; Zhang, Z.; Zhang, N.; Wan, S. Community structure and composition in response to climate change in a temperate steppe. Glob. Chang. Biol. 2011, 17, 452–465. [Google Scholar] [CrossRef]
- Korb, J.; Linsenmair, K.E. Thermoregulation of termite mounds: What role does ambient temperature and metabolism of the colony play? Insectes Soc. 2000, 47, 357–363. [Google Scholar] [CrossRef]
- Alexander, L.; Allen, S.; Bindoff, N.L. Working group I contribution to the IPCC fifth assessment report climate change 2013: The physical science basis summary for policymakers; Cambridge Universty Press,: New York, NY, USA, 2013; pp. 1029–1136. Available online: https://www.ipcc.ch/working-group/wg1/ (accessed on 6 January 2023).
- Sinervo, B.; Mendez-De-La-Cruz, F.; Miles, D.B.; Heulin, B.; Bastiaans, E.; Villagrán-Santa Cruz, M.; Lara-Resendiz, R.; Martínez-Méndez, N.; Calderón-Espinosa, M.L.; Meza-Lázaro, R.N. Erosion of lizard diversity by climate change and altered thermal niches. Science 2010, 328, 894–899. [Google Scholar] [CrossRef]
- Thomas, C.D.; Cameron, A.; Green, R.E.; Bakkenes, M.; Beaumont, L.J.; Collingham, Y.C.; Erasmus, B.F.; De Siqueira, M.F.; Grainger, A.; Hannah, L. Extinction risk from climate change. Nature 2004, 427, 145–148. [Google Scholar] [CrossRef]
- Ahmad, S.K.; Dawah, H.A.; Khan, M.A. Termites and Sustainable Management. Sustainability in Plant and Crop Protection. Ecol. Termit. 2018, 2, 47–68. [Google Scholar]
- Angert, A.; Crozier, L.; Rissler, L.; Gilman, S.; Tewksbury, J.; Chunco, A. Do species traits predict recent shifts at expanding range edges? Ecol. Lett. 2011, 14, 677–679. [Google Scholar] [CrossRef] [PubMed]
- Kottek, M.; Grieser, J.; Beck, C.; Rudolf, B.; Rubel, F. World map of the Köppen-Geiger climate classification updated. Meteorol. Z. 2006, 15, 259–263. [Google Scholar] [CrossRef] [PubMed]
- Akande, A.; Costa, A.C.; Mateu, J.; Henriques, R. Geospatial analysis of extreme weather events in Nigeria (1985–2015) using self-organizing maps. Adv. Meteorol. 2017, 2017, 8576150. [Google Scholar] [CrossRef]
- Alamu, O.; Ewete, F.; Jimoh, S. Occurrence and diversity of termite species in Eucalyptus plantations in Afaka, Kaduna State. Nig. J. Res. For. Wildl. Environ. 2018, 10, 33–38. [Google Scholar]
- Wood, T.; Johnson, R.; Bacchus, S.; Shittu, M.; Anderson, J. Abundance and distribution of termites (Isoptera) in a riparian forest in the southern Guinea savanna vegetation zone of Nigeria. Biotropica 1982, 14, 25–39. [Google Scholar] [CrossRef]
- Krishna, K.; Grimaldi, D.A.; Krishna, V.; Engel, M.S. Treatise on the Isoptera of the World. Bull. Am. Mus. Nat. Hist. 2013, 377, 1–623. [Google Scholar] [CrossRef]
- Johnson, R.A.; Lamb, R.W.; Sands, W.A.; Shittu, M.O.; Williams, R.M.C.; Wood, T.G. A check list of Nigerian termites (Isoptera) with brief notes on their biology and distribution. Niger. Field 1980, 45, 50–64. [Google Scholar]
- Ndiaye, A.B.; Njie, E.; Correa, P.A. Termites (Blattodea Latreille 1810, Termitoidae Latreille 1802) of Abuko Nature Reserve, Nyambai Forest Park and Tanji Bird Reserve (The Gambia). Insects 2019, 10, 122. [Google Scholar] [CrossRef]
- Olagbemiro, T.; Lajide, L.; Sani, K.; Staddon, B. 2-Hydroxy-5-methyl-1, 4-benzoquinone from the salivary gland of the soldier termites Odontotermes magdalenae. Experientia 1988, 44, 1022–1024. [Google Scholar] [CrossRef]
- Lepage, M. Foraging of Macrotermes spp.(Isoptera: Mcrotermitinae) in the tropics. Soc. Insects Trop. 1983, 2, 205–218. [Google Scholar]
- Tonini, F.; Divino, F.; Lasinio, G.J.; Hochmair, H.H.; Scheffrahn, R.H. Predicting the geographical distribution of two invasive termite species from occurrence data. Environ. Entomol. 2014, 43, 1135–1144. [Google Scholar] [CrossRef]
- Tonini, F.; Hochmair, H.H.; Scheffrahn, R.H.; Deangelis, D.L. Simulating the spread of an invasive termite in an urban environment using a stochastic individual-based model. Environ. Entomol. 2013, 42, 412–423. [Google Scholar] [CrossRef]
- Feng, X.; Park, D.S.; Walker, C.; Peterson, A.T.; Merow, C.; Papeş, M. A checklist for maximizing reproducibility of ecological niche models. Nat. Ecol. Evol. 2019, 3, 1382–1395. [Google Scholar] [CrossRef] [PubMed]
- Collins, W.J.; Bellouin, N.; Doutriaux-Boucher, M.; Gedney, N.; Halloran, P.; Hinton, T.; Woodward, S. Development and evaluation of an Earth-System model–HadGEM2. Geosci. Model Devt. 2011, 4, 1051–1075. [Google Scholar] [CrossRef]
- Daramola, M.; Eresanya, E.; Erhabor, S. Analysis of rainfall and temperature over climatic zones in Nigeria. J. Geogr. Environ. Earth Sci. Int. 2017, 11, 1–14. [Google Scholar] [CrossRef]
- Aiki, I.P.; Pirk, C.W.W.; Yusuf, A.A. Thermal regulatory mechanisms of termites from two different savannah ecosystems. J. Therm. Biol. 2019, 85, 102418. [Google Scholar] [CrossRef] [PubMed]
- Boria, A.R.; Link, E.O.; Steven, M.G.; Robert, P.A. Spatial filtering to reduce sampling bias can improve the performance of ecological niche models. Ecol. Modell. 2014, 275, 73–77. [Google Scholar] [CrossRef]
- Hijmans, R.J.; Cameron, S.E.; Parra, J.L.; Jones, P.G.; Jarvis, A. Very high resolution interpolated climate surfaces for global land areas. Int. J. Climatol. Q. J. R. Meteorol. Soc. 2005, 25, 1965–1978. [Google Scholar] [CrossRef]
- Hijmans, R.J.; Guarino, L.; Bussink, C.; Mathur, P.; Cruz, M.; Barrantes, I.; Rojas, E. DIVA-GIS, Version 5. A Geographic Information System for the Analysis of Biodiversity Data. Manual 2005, 5.2, 1–79. [Google Scholar]
- Dormann, C.F.; Elith, J.; Bacher, S.; Buchmann, C.; Carl, G.; Carré, G.; Marquéz, J.R.G.; Gruber, B.; Lafourcade, B.; Leitão, P.J.; et al. Collinearity: A review of methods to deal with it and a simulation study evaluating their performance. Ecography 2013, 36, 27–46. [Google Scholar] [CrossRef]
- Naimi, B.; Hamm, N.A.; Groen, T.A.; Skidmore, A.K.; Toxopeus, A.G. Where is positional uncertainty a problem for species distribution modelling? Ecography 2014, 37, 191–203. [Google Scholar] [CrossRef]
- Allouche, O.; Tsoar, A.; Kadmon, A. Assessing the accuracy of species distribution models: Prevalence, kappa and the true skill statistic (TSS). J. Appl. Ecol. 2006, 43, 1223–1232. [Google Scholar] [CrossRef]
- Jiménez-Valverde, A. Insights into the area under the receiver operating characteristic curve (AUC) as a discrimination measure in species distribution modelling. Glob. Ecol. Biogeogr. 2012, 21, 498–507. [Google Scholar] [CrossRef]
- Tsoar, A.; Allouche, O.; Steinitz, O.; Rotem, D.; Kadmon, R. A comparative evaluation of presence-only methods for modelling species distribution. Divers. Distrib. 2007, 13, 397–405. [Google Scholar] [CrossRef]
- Dahlsjö, C.A.; Valladares Romero, C.S.; Espinosa Iñiguez, C.I. Termite Diversity in Ecuador: A Comparison of Two Primary Forest National Parks. J. Insect Sci. 2020, 20, 4. [Google Scholar] [CrossRef] [PubMed]
- Sepulveda, J.; Moeller, A.H. The effects of temperature on animal gut microbiomes. Front. Microbiol. 2020, 11, 384. [Google Scholar] [CrossRef] [PubMed]
- Hatfield, J.L.; Prueger, J.H. Temperature extremes: Effect on plant growth and development. Weather Clim. Extrem. 2015, 10, 4–10. [Google Scholar] [CrossRef]
- Dahlsjo, C.A.L.; Parr, C.L.; Malhi, Y.; Meir, P.; Eggleton, P. Describing termite assemblage structure in a Peruvian lowland tropical rain forest: A comparison of two alternative methods. Insectes Soc. 2015, 62, 141–150. [Google Scholar] [CrossRef]
- Wang, Z.; Li, P.; Li, L.; Huang, C.; Liu, M. Modeling and Forecasting Average Temperature for Weather Derivative Pricing. Adv. Meteorol. 2015, 2015, 837293. [Google Scholar] [CrossRef]
- Ramírez Villegas, J.; Bueno Cabrera, A. Working with climate data and niche modeling: I. Creation of bioclimatic variables; International Center for Tropical Agriculture (CIAT), 2009; pp. 1–6. Available online: https://hdl.handle.net/10568/90732 (accessed on 6 January 2023).
- Suppo, C.; Robinet, C.; Perdereau, E.; Andrieu, D.; Bagnères, A.G. Potential spread of the invasive North American termite, Reticulitermes flavipes, and the impact of climate warming. Biol. Invasions 2018, 20, 905–922. [Google Scholar] [CrossRef]
- Botkin, D.A.; Saxe, H.; Miguel, B.A.; Richard, B.; Richard, H.W.B.; Tomas, C.; Peter, C.; Terry, P.D.; Julie, R.E.; Daniel, P.F.; et al. Forecasting the effects of global warming on biodiversity. Bioscience 2007, 57, 227–236. [Google Scholar] [CrossRef]
- Gwitira, I.; Murwira, A.; Shekede, M.D.; Masocha, M.; Chapano, C. Precipitation of the warmest quarter and temperature of the warmest month are key to understanding the effect of climate change on plant species diversity in S outhern A frican savannah. Afr. J. Ecol. 2014, 52, 209–216. [Google Scholar] [CrossRef]
- Higgins, S.I.; O’Hara, R.B.; Römermann, C. A niche for biology in species distribution models. J. Biogeogr. 2012, 39, 2091–2095. [Google Scholar] [CrossRef]
- Shen, Z.; Fei, S.; Feng, J.; Liu, Y.; Liu, Z.; Tang, Z.; Wang, X.; Wu, X.; Zheng, C.; Zhu, B. Geographical patterns of community-based tree species richness in Chinese mountain forests: The effects of contemporary climate and regional history. Ecography 2012, 35, 1134–1146. [Google Scholar] [CrossRef]
- Ayuke, F.O.; Rao, M.; Swift, M.; Opondo-Mbai, M. Assessment of biomass transfer from green manure to soil macrofauna in agroecosystem-Soil macrofauna biomass. In Managing Nutrient Cycles to Sustain Soil Fertility in Sub-Saharan Africa; Academy Science Publishers: Nairobi, Kenya, 2004; pp. 411–422. [Google Scholar]
- Aanen, D.K.; Boomsma, J.J. Evolutionary dynamics of the mutualistic symbiosis between fungus-growing termites and Termitomyces fungi. In Insect-Fungal Associations: Ecology and Evolution; Oxford University Press: New York, NY, USA, 2005; pp. 191–210. [Google Scholar]
- Salas, E.; Seamster, V.; Harings, N.; Boykin, K.; Alvarez, G.; Dixon, K. Projected Future Bioclimate-Envelope Suitability for Reptile and Amphibian Species of Concern in South Central USA. Herpetol. Conserv. Biol. 2017, 12, 522–547. [Google Scholar]
- Abe, S.S.; Yamamoto, S.; Wakatsuki, T. Physicochemical and morphological properties of termite (Macrotermes bellicosus) mounds and surrounding pedons on a toposequence of an inland valley in the southern Guinea savanna zone of Nigeria. Soil Sci. Plant Nutr. 2009, 55, 514–522. [Google Scholar] [CrossRef]
- Longhurst, C.; Johnson, R.; Wood, T. Predation by Megaponera foetens (Fabr.) (Hymenoptera: Formicidae) on termites in the Nigerian southern Guinea savanna. Oecologia 1978, 32, 101–107. [Google Scholar] [CrossRef]
- Ntukuyoh, A.; Udiong, D.; Ikpe, E.; Akpakpan, A. Evaluation of nutritional value of termites (Macrotermes bellicosus): Soldiers, workers, and queen in the Niger Delta region of Nigeria. Int. J. Food Saf. Nutr. 2012, 1, 60–65. [Google Scholar]
- Ejomah, A.J.; Uyi, O.O.; Ekaye, S.O. Exposure of the African mound building termite, Macrotermes bellicosus workers to commercially formulated 2, 4-D and atrazine caused high mortality and impaired locomotor response. PLoS ONE 2020, 15, e0230664. [Google Scholar] [CrossRef] [PubMed]
- Bandiya, H.; Majeed, Q.; Ibrahim, N.; Yahaya, M.; Yahaya, M. Intra-colonial Population of Macrotermes bellicosus (Smeathman) [Isoptera: Termitidae] in Sokoto, Semi-Arid Zone of North-Western Nigeria. NJBAS 2013, 21, 55–59. [Google Scholar] [CrossRef]
- Collins, M.N. The nests of Macrotermes bellicosus (Smeathman) from Mokwa, Nigeria. Insectes Sociaux 1979, 26, 240–246. [Google Scholar] [CrossRef]
- Kemabonta, K.; Balogun, S. Species richness, diversity and relative abundance of termites (Insecta: Isoptera) in the University of Lagos, Lagos, Nigeria. FJRS 2014, 2, 188–197. [Google Scholar]
- Gull, E.F.; Mahmood, A.T.; Bodlah, I.; Rashid, A.; Khalid, A.; Mahmood, S. Modeling potential distribution of newly recorded ant, Brachyponera nigrita using Maxent under climate change in Pothwar region, Pakistan. PLoS ONE 2022, 17, e0262451. [Google Scholar]
- Zhao, H.; Xian, X.; Zhao, Z.; Zhang, G.; Liu, W.; Wan, F. Climate Change Increases the Expansion Risk of Helicoverpa zea in China According to Potential Geographical Distribution Estimation. Insects 2022, 13, 79. [Google Scholar] [CrossRef] [PubMed]
- Uys, V. A guide to the termites genera of of Southern Africa. In A Plant Protection Research Institute Handbook; ARC-Plant Protection Research Institute: Pretoria, South Africa, 2002; pp. 1–116. [Google Scholar]
- Ruelle, J.E. Revision of the termites of the genus Macrotermes from the Ethiopian region (Isoptera: Termitidae). Brit. Mus. Natur. Hist Bull. Entomol. 1970, 365–444. Available online: https://agris.fao.org/agris-search/search.do?recordID=US201301208403 (accessed on 6 January 2023). [CrossRef]
- Thomson, A.M.; Calvin, K.V.; Smith, S.J.; Kyle, G.P.; Volke, A.; Patel, P.; Delgado-Arias, S.; Bond-Lamberty, B.; Wise, M.A.; Clarke, L.E.; et al. RCP4. 5: A pathway for stabilization of radiative forcing by 2100. Clim. Chang. 2011, 109, 77–94. [Google Scholar] [CrossRef]





| Bioclimatic Variable | Variable Description | Unit | VIF |
|---|---|---|---|
| Bio1 | Annual mean temperature | °C | 257.08 |
| Bio2 | Mean diurnal range (mean of monthly (max temp–min temp)) | °C | 2.91 |
| Bio3 | Isothermality (Bio2/Bio7) (× 100) | °C | 38.97 |
| Bio4 | Temperature seasonality (standard deviation ×100) | °C | 22.65 |
| Bio5 | Max temperature of warmest month | °C | 65.88 |
| Bio6 | Min temperature of coldest month | °C | 141.61 |
| Bio7 | Temperature annual range (Bio 5–Bio 6) | °C | 35.26 |
| Bio8 | Mean temperature of wettest quarter | °C | 1.11 |
| Bio9 | Mean temperature of driest quarter | °C | 13.83 |
| Bio10 | Mean temperature of warmest quarter | °C | 108.28 |
| Bio11 | Mean temperature of coldest quarter | °C | 33.45 |
| Bio12 | Annual precipitation | mm | 7.21 |
| Bio13 | Precipitation of wettest month | mm | 2.76 |
| Bio14 | Precipitation of driest month | mm | 11.51 |
| Bio15 | Precipitation seasonality (coefficient of variation) | mm | 53.48 |
| Bio16 | Precipitation of wettest quarter | mm | 19.22 |
| Bio17 | Precipitation of driest quarter | mm | 89.30 |
| Bio18 | Precipitation of warmest quarter | mm | 6.67 |
| Bio19 | Precipitation of coldest quarter | mm | 17.42 |
| NDVI | Normalized difference vegetation index | - | 1.48 |
| Variable | Percentage Contribution (%) | |
|---|---|---|
| M. subhyalinus | M. bellicosus | |
| Bio2 | 33.9 | 15.6 |
| Bio8 | 23.0 | 9.5 |
| Bio12 | 6.7 | 5.2 |
| Bio13 | 3.8 | 4.5 |
| Bio18 | 26.5 | 36.8 |
| NDVI | 6.1 | 28.4 |
Disclaimer/Publisher’s Note: The statements, opinions and data contained in all publications are solely those of the individual author(s) and contributor(s) and not of MDPI and/or the editor(s). MDPI and/or the editor(s) disclaim responsibility for any injury to people or property resulting from any ideas, methods, instructions or products referred to in the content. |
© 2023 by the authors. Licensee MDPI, Basel, Switzerland. This article is an open access article distributed under the terms and conditions of the Creative Commons Attribution (CC BY) license (https://creativecommons.org/licenses/by/4.0/).
Share and Cite
Istifanus, A.P.; Abdelmutalab, A.G.A.; Pirk, C.W.W.; Yusuf, A.A. Predicting the Habitat Suitability and Distribution of Two Species of Mound-Building Termites in Nigeria Using Bioclimatic and Vegetation Variables. Diversity 2023, 15, 157. https://doi.org/10.3390/d15020157
Istifanus AP, Abdelmutalab AGA, Pirk CWW, Yusuf AA. Predicting the Habitat Suitability and Distribution of Two Species of Mound-Building Termites in Nigeria Using Bioclimatic and Vegetation Variables. Diversity. 2023; 15(2):157. https://doi.org/10.3390/d15020157
Chicago/Turabian StyleIstifanus, Aiki P., Azrag. G. A. Abdelmutalab, Christian W. W. Pirk, and Abdullahi A. Yusuf. 2023. "Predicting the Habitat Suitability and Distribution of Two Species of Mound-Building Termites in Nigeria Using Bioclimatic and Vegetation Variables" Diversity 15, no. 2: 157. https://doi.org/10.3390/d15020157
APA StyleIstifanus, A. P., Abdelmutalab, A. G. A., Pirk, C. W. W., & Yusuf, A. A. (2023). Predicting the Habitat Suitability and Distribution of Two Species of Mound-Building Termites in Nigeria Using Bioclimatic and Vegetation Variables. Diversity, 15(2), 157. https://doi.org/10.3390/d15020157

