Benefits of Morphology-Based Functional Group Classification to Study Dynamic Changes in Phytoplankton in Saline-Alkali Wetlands, Taking Typical Saline-Alkali Wetlands in Northeast China as an Example
Abstract
:1. Introduction
2. Materials and Methods
2.1. Overview of the Study Area
2.2. Field Survey and Sampling
2.3. Measurement Indicators
2.3.1. Phytoplankton
2.3.2. Water Quality
2.4. Data Analysis
3. Results
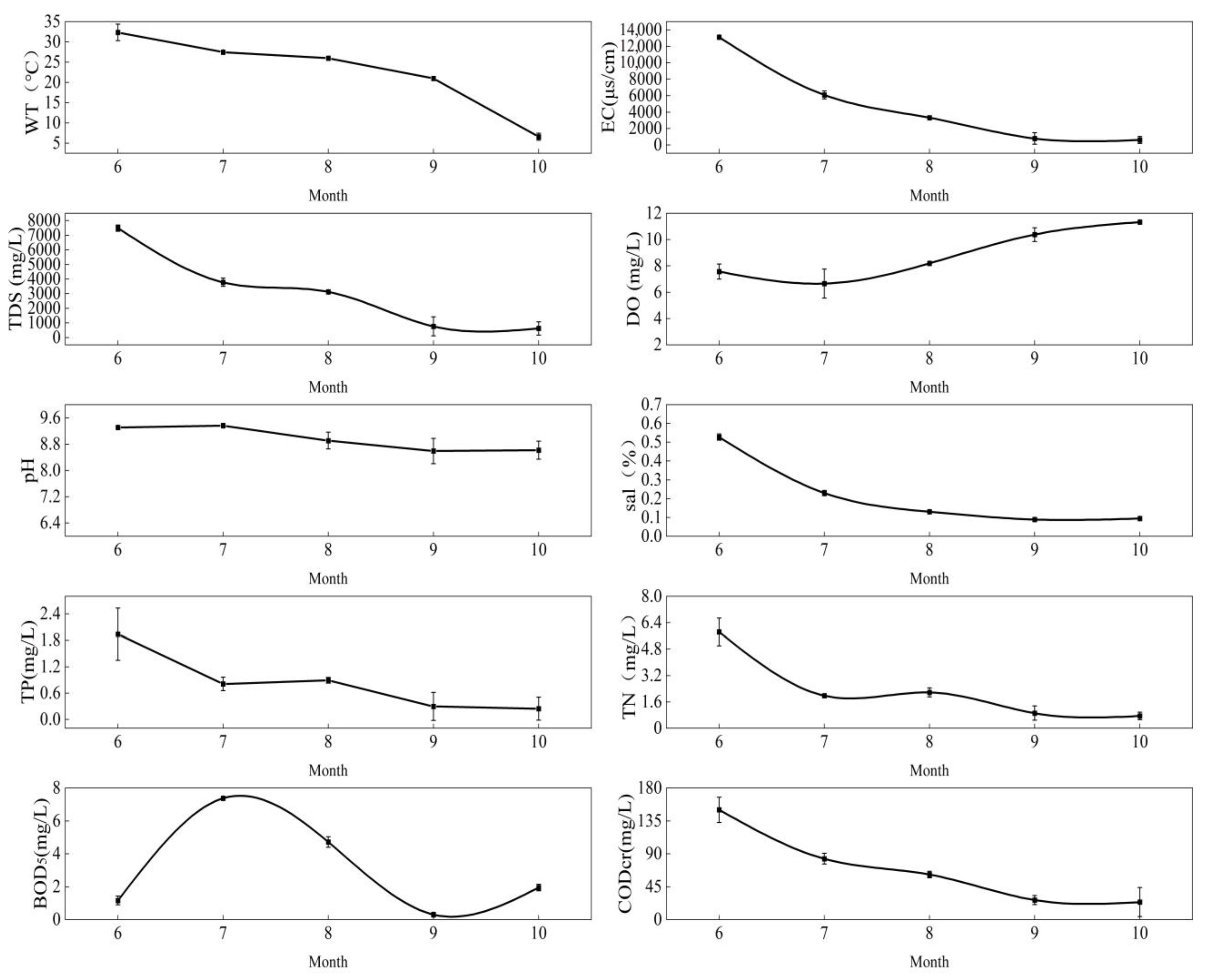
3.1. Changes in Water Environment Indicators during the Restoration of Saline Wetlands
3.2. Changes in Phytoplankton Species Composition and Biomass during the Restoration of Saline Wetlands
3.3. Changes in the Dominant Functional Group of Phytoplankton during the Restoration of Saline Wetlands
3.4. Relationships between Phytoplankton and Aquatic Environmental Factors in Saline Wetlands
3.4.1. Correlation Coefficients between the Characteristics of Functional Groups of Aquatic Plants and Aquatic Environmental Factors
3.4.2. Redundancy Analysis between Phytoplankton Functional Group Characteristics and Aquatic Environmental Factors
3.5. Water Quality Assessment of Saline-Alkali Wetlands
4. Discussion
4.1. Influence of Water Environment Indicators on Phytoplankton
4.2. Phytoplankton Community Composition during Wetland Recovery
4.3. Habitat Response Characteristics of FG- and MBFG-Dominant Functional Groups
4.4. Comparison of FG and MBFG Functional Grouping Methods
5. Conclusions
Supplementary Materials
Author Contributions
Funding
Institutional Review Board Statement
Data Availability Statement
Acknowledgments
Conflicts of Interest
References
- Pinckney, J.L.; Zingmark, R.G. Modelling the annual production of intertidal benthic microalgae in estuarine ecosystems. J. Phycol. 1993, 29, 396–407. [Google Scholar] [CrossRef]
- Moreno-Mateos, D.; Power, M.E.; Comin, F.A.; Yockteng, R. Structural and functional loss in restored wetland ecosystems. PLoS Biol. 2012, 10, e1001247. [Google Scholar] [CrossRef] [PubMed]
- Singh, S.; Bhardwaj, A.; Verma, V.K. Remote sensing and GIS based analysis of temporal land use/land cover and water quality changes in Harike wetland ecosystem, Punjab, India. J. Environ. Manag. 2020, 262, 110355. [Google Scholar] [CrossRef] [PubMed]
- Zhou, Y.; Liu, T.; Duan, L.; Wang, Y.; Li, X.; Li, M. Driving force analysis and landscape pattern evolution in the up stream valley of Xilin River Basin. Arid. Zone Res. 2020, 37, 580–590. [Google Scholar]
- Macreadie, P.I.; Anton, A.; Raven, J.A.; Beaumont, N.; Connolly, R.M.; Friess, D.A.; Kelleway, J.J.; Kennedy, H.; Kuwae, T.; Lavery, P.S. The future of Blue Carbon science. Nat. Commun. 2019, 10, 3998. [Google Scholar] [CrossRef] [PubMed]
- Xi, Y.; Peng, S.; Ciais, P.; Chen, Y. Future impacts of climate change on inland Ramsar wetlands. Nat. Clim. Chang. 2020, 11, 45–51. [Google Scholar] [CrossRef]
- Zhang, N.N.; Zang, S.Y. Characteristics of phytoplankton distribution for assessment of water quality in the Zhalong Wetland, China. Int. J. Environ. Sci. Technol. 2015, 12, 3657–3664. [Google Scholar] [CrossRef]
- Reid, A.J.; Carlson, A.K.; Creed, I.F.; Eliason, E.J.; Gell, P.A.; Johnson, P.T.; Kidd, K.A.; MacCormack, T.J.; Olden, J.D.; Ormerod, S.J. Emerging threats and persistent conservation challenges for freshwater biodiversity. Biol. Rev. 2019, 94, 849–873. [Google Scholar] [CrossRef]
- Van Rensburg, S.J.; Barnard, S.; Booyens, S. Comparison of phytoplankton assemblages in two differentially polluted streams in the Middle Vaal Catchment, South Africa. S. Afr. J. Bot. 2019, 125, 234–243. [Google Scholar] [CrossRef]
- Barton, S.; Jenkins, J.; Buckling, A.; Schaum, C.-E.; Smirnoff, N.; Raven, J.A.; Yvon-Durocher, G. Evolutionary temperature compensation of carbon fixation in marine phytoplankton. Ecol. Lett. 2020, 23, 722–733. [Google Scholar] [CrossRef]
- Sañé, E.; Valente, A.; Fatela, F.; Cabral, M.; Beltrán, C.; Drago, T. Assessment of sedimentary pigments and phytoplankton determined by chemtax analysis as biomarkers of unusual upwelling conditions in summer 2014 off the SE coast of Algarve. J. Sea Res. 2019, 146, 33–45. [Google Scholar] [CrossRef]
- Sim, D.Z.H.; Mowe, M.A.D.; Song, Y.; Lu, J.; Tan, H.T.; Mitrovic, S.M.; Roelke, D.L.; Yeo, D.C. Tropical macrophytes promote phytoplankton community shifts in lake mesocosms: Relevance for lake restoration in warm climates. Hydrobiologia 2021, 848, 4861–4884. [Google Scholar] [CrossRef]
- Zhong, Q.; Xue, B.; Noman, M.A.; Wei, Y.; Liu, H.; Liu, H.; Zheng, L.; Jing, H.; Sun, J. Effect of river plume on phytoplankton community structure in Zhujiang River estuary. J. Oceanol. Limnol. 2021, 39, 550–565. [Google Scholar] [CrossRef]
- Reynolds, C.S.; Huszar, V.; Carla, K.; Naselli-Flores, L.; Melo, S. Towards a functional classification of the freshwater phytoplankton. J. Plankton Res. 2002, 24, 417–428. [Google Scholar] [CrossRef]
- Hu, R.; Lan, Y.Q.; Xiao, L.J.; Han, B. The concepts, classification and application of freshwater phytoplankton functional groups. J. Lake Sci. 2015, 27, 11–23. (In Chinese) [Google Scholar]
- Padisák, J.; Borics, G.; Grigorszky, I.; Soróczki-Pintér, É. Use of phytoplankton assemblages for monitoring ecological status of lakes within the Water Framework Directive: The assemblage index. Hydrobiologia 2006, 553, 1–14. [Google Scholar] [CrossRef]
- Becker, V.; Caputo, L.; Ordóñez, J.; Marcé, R.; Armengol, J.; Crossetti, L.O.; Huszar, V.L. Driving factors of the phytoplankton functional groups in a deep Mediterranean reservoir. Water Res. 2010, 44, 3345–3354. [Google Scholar] [CrossRef]
- Hu, R.; Han, B.P.; Naselli-Flores, L. Comparing biological classifications of freshwater phytoplankton: A case study from South China. Hydrobiologia 2013, 701, 219–233. [Google Scholar] [CrossRef]
- Xiao, L.J.; Zhu, Y.Q.; Yang, Y.; Lin, Q.; Han, B.P.; Padisák, J. Species-based classification reveals spatial processes of phytoplankton meta-communities better than functional group approaches: A case study from three freshwater lake regions in China. Hydrobiologia 2018, 811, 313–324. [Google Scholar] [CrossRef]
- Kruk, C.; Huszar, V.L.M.; Peeters, E.T.H.M.; Bonilla, S.; Costa, L.; Lürling, M.; Reynolds, C.S.; Scheffer, M. A morphological classification capturing functional variation in phytoplankton. Freshw. Biol. 2010, 55, 614–627. [Google Scholar] [CrossRef]
- Song, T.J.; An, Y.; Wen, B.L.; Tong, S.Z.; Jiang, L. Very fine roots contribute to improved soil water storage capacity in semiarid wetlands in Northeast China. Catena 2022, 211, 105966. [Google Scholar] [CrossRef]
- Jiang, M.; Lv, X.; Xu, L.S.; Tong, S.Z. Perturbation Factors and Feedback of Wetland Ecosystem in the Songnen Plain. Resour. Sci. 2005, 27, 125–131. (In Chinese) [Google Scholar]
- Hu, H.J.; Wei, Y.X. Freshwater Algae in China—System, Classification and Ecology; Science Press: Beijing, China, 2006. (In Chinese) [Google Scholar]
- Long, S.; Zhang, T.; Fan, J.; Li, C.; Xiong, K. Responses of phytoplankton functional groups to environmental factors in the Pearl River, South China. Environ. Sci. Pollut. Res. Int. 2020, 27, 42242–42253. [Google Scholar] [CrossRef] [PubMed]
- Sournia, A. Phytoplankton Manual. In Monographs on Oceanographic Methodology; UNESCO: Paris, France, 1978; Volume 6, p. 337. [Google Scholar]
- Lin, K.; Pei, J.; Li, P.; Ma, J.; Li, Q.; Yuan, D. Simultaneous determination of total dissolved nitrogen and total dissolved phosphorus in natural waters with an on-line UV and thermal digestion. Talanta 2018, 185, 419–426. [Google Scholar] [CrossRef] [PubMed]
- Chen, G.M. Ammonium molybdate spectrophotometric method for determination of total phosphorus in municipal sewage sludge. China Water Wastewater 2006, 22, 85–86. [Google Scholar]
- Jouanneau, S.; Recoules, L.; Durand, M.; Boukabache, A.; Picot, V.; Primault, Y.; Lakel, A.; Sengelin, M.; Barillon, B.; Thouand, G. Methods for assessing biochemical oxygen demand (BOD): A review. Water Res. 2014, 49, 62–82. [Google Scholar] [CrossRef] [PubMed]
- Dyomin, V.; Davydova, A.; Morgalev, Y.; Olshukov, A.; Polovtsev, I.; Morgaleva, T.; Morgalev, S. Planktonic response to light as a pollution indicator. J. Great Lakes Res. 2020, 46, 41–47. [Google Scholar] [CrossRef]
- Zhang, M.; Yu, Y.; Yang, Z.; Kong, F. Deterministic diversity changes in freshwater phytoplankton in the Yunnan-Guizhou Plateau lakes in China. Ecol. Indic. 2016, 63, 273–281. [Google Scholar] [CrossRef]
- Ge, Y.; Zhou, Y.F.; Wang, C.H.; You, Y. Succession patterns of phytoplankton functional groups in western area of Yangcheng Lake and their relationship with environmental factors. China Environ. Sci. 2019, 39, 3027–3039. (In Chinese) [Google Scholar]
- Pan, C.M.; Liu, Y.; An, R.Z.; Ba, S. Phytoplankton in the Medika Wetland of Tibet—2. Characteristics of functional groups and their relationship with environmental factors. J. Lake Sci. 2022, 34, 1115–1126. (In Chinese) [Google Scholar]
- Gogoi, P.; Kumari, S.; Sarkar, U.K.; Lianthuamluaia, L.; Puthiyottil, M.; Bhattacharjya, B.K.; Das, B.K. Dynamics of phytoplankton community in seasonally open and closed wetlands in the Teesta-Torsa basin, India, and management implications for sustainable utilization. Env. Monit. Assess. 2021, 193, 810. [Google Scholar] [CrossRef] [PubMed]
- Tao, M.; Yue, X.J.; Luo, J.L.; Guo, T.; Wang, Y.M.; Liu, G.; Li, B. Seasonal succession characteristics and driving factors of phytoplankton functional groups in reservoirs in hilly areas of Sichuan Province. Chin. J. Hydrobiol. 2021, 45, 826–837. (In Chinese) [Google Scholar]
- Zhang, Y.; Peng, C.; Wang, J.; Huang, S.; Hu, Y.; Zhang, J.; Li, D. Temperature and Silicate Are Significant Driving Factors for the SeasonalShift of Dominant Diatoms in a Drinking Water Reservoir. J. Oceanol. Limnol. 2019, 37, 568–579. [Google Scholar] [CrossRef]
- Zhao, W.X.; Li, Y.Y.; Jiao, Y.J.; Zhou, B.; Vogt, R.D.; Liu, H.L.; Ji, M.; Ma, Z.; Li, A.D.; Zhou, B.H.; et al. Spatial and Temporal Variations in Environmental Variables in Relation to Phytoplankton Community Structure in a Eutrophic River-Type Reservoir. Water 2017, 9, 754. [Google Scholar] [CrossRef]
- Sommer, U.; Gliwicz, Z.M.; Lampert, W.; Duncan, A. The Peg-Model of Seasonal Succession of Planktonic Events In Fresh Waters. Archiv. Fur. Hydrobiol. 1986, 106, 433–471. [Google Scholar] [CrossRef]
- Sevindik, T.O.; Tunca, H.; Gonulol, A.; Gönülol, A.; Gürsoy, N.; Küçükkaya, Ş.N.; Kinali, Z. Phytoplankton dynamics and structure, and ecological status estimation by the Q assemblage index: A comparative analysis in two shallow Mediterranean lakes. Turk. J. Bot. 2017, 41, 25–36. [Google Scholar] [CrossRef]
- Istvánovics, V.; Clement, A.; Somlyódy, L.; Specziár, A.; G.-Tóth, L.; Padisák, J. Updating water quality targets for shallow Lake Balaton (Hungary), recovering from eutrophication. Hydrobiologia 2007, 581, 305–318. [Google Scholar] [CrossRef]
- Liu, D.Y.; Zhao, J.F.; Zhang, Y.L.; Yang, Y.C. Characteristics of phytoplankton community in eutrophic water bioremediation. Chin. J. Aquat. Biol. 2005, 2, 177–183. (In Chinese) [Google Scholar]
- Bohuslav, F.; Trans Luo, D.A. Algology; Shanghai Science and Technology Press: Shanghai, China, 1980. [Google Scholar]
- Reynolds, C.S. The Ecology of Phytoplankton; Cambridge University Press: New York, NY, USA, 2006. [Google Scholar]
- Salmaso, N.; Naselli-Flores, L.; Padisak, J. Functional Classifications and Their Application in Phytoplankton Ecology. Freshw. Biol. 2015, 60, 603–619. [Google Scholar] [CrossRef]
- O’Sullivan, P.E.; Reynolds, C.S. The Lakes Handbook, Volume 1: Limnology and Limnetic Ecology; John Wiley & Sons: New York, NY, USA, 2008. [Google Scholar]
- Jia, J.J.; Gao, Y.; Song, X.W.; Chen, S.B. Characteristics of phytoplankton community and water net primary productivity response to the nutrient status of the Poyang Lake and Gan River, China. Ecohydrology 2019, 12, 7679. [Google Scholar] [CrossRef]
- Rangel, L.M.; Soares, M.C.S.; Paiva, R.; Silva, L.H.S. Morphology-based functional groups as effective indicators of phytoplankton dynamics in a tropical cyanobacteria-dominated transitional river reservoir system. Ecol. Indic. 2016, 64, 217–227. [Google Scholar] [CrossRef]
- Deng, W.; He, Y.; Song, X.S.; Yan, B.Y. Hydrochemical characteristics of salt marsh wetlands in western Songnen Plain. J. Geogr. Sci. 2001, 11, 217–223. [Google Scholar]
- Kirst, G.O. Salinity Tolerance of Eukaryotic Marine Algae. Annu. Rev. Plant Physiol. Plant Mol. Biol. 1990, 41, 21–53. [Google Scholar] [CrossRef]
- Schubert, H.; Feuerpfeil, P.; Marquardt, R.; Telesh, I.; Skarlato, S. Macroalgal diversity along the Baltic Seasalinity gradient challenges Remane’s species-minimum concept. Mar. Pollut. Bull. 2011, 62, 1948–1956. [Google Scholar] [CrossRef]












| Environmental Variables | Unit | Time | p | F | |
|---|---|---|---|---|---|
| 2020 | 2021 | ||||
| WT | °C | 22.98 ± 2.69 | 20.63 ± 1.54 | >0.05 | 0.663 |
| EC | μs/cm | 4653.63 ± 1402.80 | 1279.39 ± 70.69 | <0.01 | 8.524 |
| TDS | mg/L | 3155.82 ± 758.79 | 1031.94 ± 21.48 | <0.01 | 11.587 |
| DO | mg/L | 8.76 ± 0.55 | 7.87 ± 0.32 | >0.05 | 2.283 |
| pH | / | 8.95 ± 0.11 | 8.70 ± 0.07 | >0.05 | 3.473 |
| Sal | ppt | 0.21 ± 0.05 | 0.09 ± 0.01 | <0.01 | 8.383 |
| TP | mg/L | 1.01 ± 0.20 | 1.20 ± 0.15 | >0.05 | 2.164 |
| TN | mg/L | 2.70 ± 0.62 | 2.65 ± 0.31 | >0.05 | 0.936 |
| BOD5 | mg/L | 3.56 ± 0.83 | 3.47 ± 0.76 | >0.05 | 0.199 |
| CODCr | mg/L | 74.32 ± 14.32 | 63.31 ± 16.12 | >0.05 | 0.047 |
| FG | Representative Genus | Habitat Characteristics | Dominance | F Value | |
|---|---|---|---|---|---|
| 2020 | 2021 | ||||
| B | Cyclotella | Medium- to small-size shallow waters of medium trophic level | 0.068 | 0.134 | 3 |
| D | Synedra, Nitzschia | Muddy water rich in nutrients | 0.035 | 0.028 | 2 |
| F | Oocystis | Medium to eutrophic clear water body | 0.091 | 5 | |
| G | Volvox | Nutrient-enriched stagnant water layer in water column | 0 | ||
| H1 | Dolichospermum | Nutrient-rich shallow water body | / | 0 | |
| J | Selenastrum, Tetrastrum, Scenedesmus | Nutrient-rich mixed shallow water | 0.090 | 0.032 | 1 |
| Lo | Peridinium, Merismopedia | Medium and large water bodies of poor to eutrophic type | 5 | ||
| M | Microcystis, Oscillatoria | Small to medium, eutrophic to highly eutrophic, stable, transparent water bodies | 0 | ||
| MP | Navicula, Achnanthes | Turbid water with frequent agitation | 0.062 | 0.134 | 5 |
| N | Cosmarium | Continuous or semicontinuous mixed water body | 5 | ||
| P | Fragilaria, Closterium | Mixed nutrients, turbid, shallow water | 5 | ||
| T | Planctonema | Continuously mixed water layer | 0.035 | 5 | |
| TB | Navicula, Cymbella | Strong jet stream | 2 | ||
| W1 | Euglena, Phacus | Organic pollution, shallow water | 0.039 | 2 | |
| W2 | Trachelomonas, Strombomonas | Medium nutrition, shallow water | 0.026 | 0 | |
| X1 | Chlorella, Ankistrodesmus, Schroederia | Eutrophic to highly eutrophic shallow water bodies | 0.072 | 0.090 | 4 |
| X3 | Gyrosigma | Poor nutrition, mixed, shallow water | 4 | ||
| Y | Cryptomonas | Still water environment | 2 | ||
| MBFG | Morphological Description | Representative Genus | Dominance | |
|---|---|---|---|---|
| 2020 | 2021 | |||
| Group I | Small algae with high surface-to-body ratio are small in size but grow fast, so they are under high predation pressure but recover quickly, and are sensitive to TP and TN | Chlorella, Ulothrix, Crucigenia | 0.031 | 0.317 |
| Group III | Large filamentous algae with pseudovacuoles of high surface-to-body ratio | Oscillatoria, Planctonema | 0.055 | / |
| Group IV | No obvious characteristics of medium algae, the ability to obtain resources | Cosmarium, Ankistrodesmus, Crucigenia, Scenedesmus | 0.248 | 0.226 |
| Group V | Flagellated medium- and large-sized unicellular algae with flagella and some heterotrophic ability to adapt to low-nutrient water bodies | Cryptomonas, Euglena, Trachelomonas | 0.039 | 0.191 |
| Group VI | A flagellate algae with a siliceous outer wall | Gyrosigma, Fragilaria, Nitzschia, Cymbella, Cyclotella, Gomphonema, Synedra, Melosira, Navicula | 0.420 | 0.074 |
| Statistical Information | FG | MBFG | ||||||
|---|---|---|---|---|---|---|---|---|
| Axis 1 | Axis 2 | Axis 3 | Axis 4 | Axis 1 | Axis 2 | Axis 3 | Axis 4 | |
| Eigenvalues | 0.2526 | 0.1266 | 0.1016 | 0.0516 | 0.2967 | 0.1588 | 0.0735 | 0.0437 |
| Species–environment correlations | 0.9251 | 0.9167 | 0.7941 | 0.5293 | 0.8807 | 0.8076 | 0.7338 | 0.5659 |
| Explained variation (cumulative) | 25.26% | 37.92% | 48.08% | 53.24% | 29.67% | 45.55% | 52.90% | 57.27% |
| Explained fitted variation (cumulative) | 42.10% | 63.19% | 80.13% | 88.73% | 51.18% | 78.56% | 91.24% | 98.78% |
Disclaimer/Publisher’s Note: The statements, opinions and data contained in all publications are solely those of the individual author(s) and contributor(s) and not of MDPI and/or the editor(s). MDPI and/or the editor(s) disclaim responsibility for any injury to people or property resulting from any ideas, methods, instructions or products referred to in the content. |
© 2023 by the authors. Licensee MDPI, Basel, Switzerland. This article is an open access article distributed under the terms and conditions of the Creative Commons Attribution (CC BY) license (https://creativecommons.org/licenses/by/4.0/).
Share and Cite
Zhao, Z.; Song, T.; Zhang, M.; Tong, S.; An, Y.; Zhang, P.; Sang, B.; Cao, G. Benefits of Morphology-Based Functional Group Classification to Study Dynamic Changes in Phytoplankton in Saline-Alkali Wetlands, Taking Typical Saline-Alkali Wetlands in Northeast China as an Example. Diversity 2023, 15, 1175. https://doi.org/10.3390/d15121175
Zhao Z, Song T, Zhang M, Tong S, An Y, Zhang P, Sang B, Cao G. Benefits of Morphology-Based Functional Group Classification to Study Dynamic Changes in Phytoplankton in Saline-Alkali Wetlands, Taking Typical Saline-Alkali Wetlands in Northeast China as an Example. Diversity. 2023; 15(12):1175. https://doi.org/10.3390/d15121175
Chicago/Turabian StyleZhao, Zhongbo, Tiejun Song, Mingye Zhang, Shouzheng Tong, Yu An, Peng Zhang, Bing Sang, and Guanglan Cao. 2023. "Benefits of Morphology-Based Functional Group Classification to Study Dynamic Changes in Phytoplankton in Saline-Alkali Wetlands, Taking Typical Saline-Alkali Wetlands in Northeast China as an Example" Diversity 15, no. 12: 1175. https://doi.org/10.3390/d15121175
APA StyleZhao, Z., Song, T., Zhang, M., Tong, S., An, Y., Zhang, P., Sang, B., & Cao, G. (2023). Benefits of Morphology-Based Functional Group Classification to Study Dynamic Changes in Phytoplankton in Saline-Alkali Wetlands, Taking Typical Saline-Alkali Wetlands in Northeast China as an Example. Diversity, 15(12), 1175. https://doi.org/10.3390/d15121175
