Next Article in Journal
Tham Chiang Dao: A Hotspot of Subterranean Biodiversity in Northern Thailand
Previous Article in Journal
Analysis of the Spatiotemporal Evolution and Factors Influencing Ecological Land in Northwest Yunnan from the Perspective of Leading the Construction of a National Ecological Civilization
 
 
Font Type:
Arial Georgia Verdana
Font Size:
Aa Aa Aa
Line Spacing:
Column Width:
Background:
Article

Population Structure of an African Cycad: Fire May Stimulate the Coning Phenology of Encephalartos lanatus (Zamiaceae) and Also Predispose Its Cones to Damage

by
Memory N. Sigasa
1,
Kowiyou Yessoufou
2,*,
Anathi Magadlela
3,
Wilfred Otang-Mbeng
4 and
Terence N. Suinyuy
4,*
1
School of Agricultural Sciences, Faculty of Agriculture and Natural Sciences, University of Mpumalanga, Mbombela 1200, South Africa
2
Department of Geography, Environmental Management and Energy Studies, University of Johannesburg, Johannesburg 2006, South Africa
3
School of Life Sciences, College of Agriculture, Engineering and Science, University of KwaZulu-Natal (Westville Campus), Durban 4000, South Africa
4
School of Biology and Environmental Sciences, Faculty of Agriculture and Natural Sciences, University of Mpumalanga, Mbombela 1200, South Africa
*
Authors to whom correspondence should be addressed.
Diversity 2023, 15(10), 1075; https://doi.org/10.3390/d15101075
Submission received: 6 September 2023 / Revised: 2 October 2023 / Accepted: 7 October 2023 / Published: 10 October 2023
(This article belongs to the Topic Diversity and Conservation of Flora in Africa)

Abstract

Cycads are the most threatened group in the plant kingdom. Fire is identified as one of the major factors heightening cycad extinction risk. However, compared to South American cycads, we know little about how fire negatively affects the demography of African cycads. Here, we collected a snapshot of demographic data on the largest known population of South Africa’s cycad species, Encephalartos lanatus, in unburnt and regularly burnt habitats. We fitted several statistical models to investigate the effects of fire on the population structure of E. lanatus. First, we found that the population follows a ‘J’ structure with more adults than any other life stage. Contrary to popular belief, this ‘J’ structure may not necessarily imply the future of the population is at risk, given that E. lanatus is a long-lived species. Second, we found that the abundance of adults explains 25% of the abundance of seedlings but does not predict the abundance of suckers, perhaps suggesting the adults ensure preferential seedling rather than clonal recruitment. Third, irrespective of life stages, the subpopulation in fire-prone habitats is, in term of size, proportionately lower than the subpopulation in unburnt areas, suggesting that fire may negatively affect the dynamic of the population. However, fire is not linked to differences in sex ratio across the population; not only do fire-prone subpopulations have more cones, but they also tend to have more damaged cones than unburnt populations. Overall, although we raised some limitations of the present study, we also inferred that fire may shape the observed ‘J’ structure of the population of E. lanatus, but, contrary to traditional belief, the ‘J’ structure is not enough to raise concern about the future of the population. A population dynamics study is required to determine if the future of the population is at risk.

1. Introduction

In the plant kingdom, cycads, with their unique evolutionary history [1,2,3] and unique shared morphological features between ferns and angiosperms [4,5], are the most threatened taxonomic group. Once widely distributed, particularly in the Mesozoic era [6], cycads now exhibit a patchy distribution in tropical and subtropical regions [1]. This restricted geography predisposes them to a high risk of extinction, whereby 70% of all cycad species are threatened with high extinction risk [7,8]. It is well established that extinction risk is linked to ecological and biological factors [9,10] as well as evolutionary history [11,12]. Specifically, for cycads, nine threats were recently identified, including, in order of importance, habitat loss, overcollection, fire, reproduction failure, deforestation, medicinal usage, grazing, flood/drought, and alien invasive species [7]. The question then arises: How does each of these nine factors heighten the extinction risk of cycads?
Fire is the third largest reported threat to cycads [7]. Fire, through various aspects, e.g., frequency, intensity, duration, and timing, shapes the population structure of several long-lived species by influencing several demographic processes, e.g., survival, fecundity, and growth [13,14,15]. To survive the effects of fire, these species resprout [16]. However, since surface buds can easily be killed by the heat produced by fire, plants have to conceal their buds away from fire heat if they are to survive [16]. Therefore, the ability of plants to resprout depends on the locations of their buds, e.g., above-ground (thick insulating barks; [17]) or below-ground (roots, root crown, rhizomes, etc.; [18]), using soil as a heat insulator [19]. Overall, fire plays positive roles by stimulating reproduction, seed release and germination, and/or vegetative growth of several species [20,21,22,23,24]. Fire is required for the germination of the seeds of some savanna species [25] and seedling recruitment [26].
However, existing studies of the effects of fire on cycads are old, and most of these studies focused on New World cycads. These studies reveal that fire stimulates leaf formations in the Australian cycad Macrozamia riedlei [27,28], in Cycas media [29], as well as coning phenology in Macrozamia communis [27,30,31]. Coning phenology and leaf production were also reported to be simulated in the African cycad Encephalartos transvenosus in South Africa [32]. Fire is also linked to seedling recruitment in the population of Cycas armstrongii [33]. Furthermore, fire stimulates the fixation of specific nutrients by cycads. For example, Grove et al. [34] reported that in the leaves of the cycad Macrozamia riedlei, there were significantly higher concentrations of nitrogen and phosphorus after fire. The same study reported significantly higher concentrations of phosphorus, potassium, and zinc in coralloid roots of the same cycad species after fire [34]. Overall, 35 kg of nitrogen per hectare was fixed by Macrozamia riedlei in 5–7 years of prescribed fires [34]. In the absence of fire, higher concentrations of calcium, sodium, and chlorine in the leaves of Macrozamia riedlei were reported [34]. Overall, cycads are adapted to fire-prone ecosystems [35,36,37,38]. How, then, could fire be listed among the forces that threaten the survival of cycads?
We set two hypotheses to explain how fire may predispose cycads to extinction. Our first hypothesis is that some important life stages for the population growth of a given species may be more vulnerable to fire effects, thus stressing out the population dynamics of the species. For example, 33–63% of seedling deaths in a South Africa’s population of Encephalartos latifrons were related to fire, while other life stages of the same species showed stronger resilience to fire [39]. An early study reported a fire-driven mortality of up to 50% of adults of the Australia’s Cycas armstrongii [40]. Our second hypothesis is that fire may mediate damage to cones (the cycad reproductive structures), thus affecting important demographic processes, e.g., fertility, which may eventually lead to population decline that heightens the extinction risk of cycads. Evidence supporting this hypothesis was provided for South America’s cycads. For example, Fawcett and Norstog [41] linked fire to damaged cones of the genus Zamia, leading to low fecundity [30], which may eventually cause the collapse of its population [36]. Furthermore, fire seems to mediate the herbivory of cycad seeds, leading to the mortality of some adult individuals of Zamila pumila [42]. For example, herbivory activities of the larvae of Seirarctia echo are boosted following fire, resulting in several plants of Z. pumila totally defoliated [42]. This defoliation led to the deaths of some adults while promoting leaf production in other life stages [42]. Also, the boosted activities of the herbivore Seirarctia echo led to more damaged cones and the death of some seeds of Z. pumila, thus resulting in indirect negative effects of fire on the reproduction of this cycad species [42]. However, in comparison with the South American cycads, we do not know much about how Africa’s populations of cycads interact with fire. The cycad genus Encephalartos, with its 65 species, is endemic to Africa [2,8], with South Africa being its center of diversity [8].
The aim of the present study is to investigate fire in relation to the demography of an African cycad population, Encephalartos lanatus Stapf & Burtt Davy (1926), in South Africa. We tested two hypotheses: (i) some important life stages for population growth of this species may be more vulnerable to fire; (ii) fire mediates damage to cones, thus affecting important demographic processes.

2. Materials and Methods

2.1. Locality and Study Species

The present study on Encephalartos lanatus was conducted from May 2021 to September 2022 in the Botshabelo Nature Reserve, Middleburg, where the largest stands of the natural population of E. lanatus occur. The reserve falls within the mesic Highveld grassland bioregion and is home to several small herbivores. The landscape is a fire-prone habitat that experiences annual fires, aiming to promote grass growth for the herbivores. Because of this regular burning, E. lanatus is exposed to frequent annual winter fires, which may affect the population structure and the fecundity of the plants.
Encephalartos lanatus is an endemic cycad to South Africa and occurs in the Highveld grasslands and sandstone outcrops around the catchment area of the Olifants River in Middelburg, the Witbank and Bronkhorstspruit districts of Mpumalanga, and the Gauteng provinces of South Africa [43,44]. In its native geography, fire occurs in winters, which are dry with temperatures ranging between −6 and 22 °C, and summer temperatures vary from 9 to 32 °C. The area is characterized by thunderstorms with summer rainfall of between 500 mm and 625 mm [43].
Encephalartos lanatus is a medium- to fairly large-sized cycad that grows individually and in clumps with an erect or reclining stem of 1–3 m tall and 25 cm in diameter [43,44]. E. lanatus is a frost-hardy, fire-adapted, and drought-resistant plant. Its population size is estimated to be >10,000 mature individuals, and the species is classified as “near threatened” according to IUCN criteria [45,46]. The immature leaves of E. lanatus are hairy (wool-like), greyish, and have a curled tip, while the grown leaves are greyish-green in color and measure 60 to 80 cm long [47]. The plants cone in the winter, and immature male and female cones are dense, woolly, and turn yellow as they mature [43].

2.2. Data Collection

During the years 2021 and 2022, we measured the demographic data of E. lanatus in the largest known natural population of the species. First, transects were defined following different directions: north > south > north. Second, along each transect, plots were set such that two consecutive plots were separated by at least 7 m. Twenty plots were set in total. Next, plots close to roads or the edge of the reserve were not considered to avoid edge effects (green plots in Figure 1). Plots that fall in a position where there is no E. lanatus (red plots in Figure 1) were also avoided. Finally, only plots that are away from the roads or the reserve’s edges and which fall at positions where E. lanatus is found were surveyed (black plots in Figure 1). Each of those plots was 30 m × 20 m in the accessible yearly burnt and unburnt sections of the Botshabelo Nature Reserve. Individuals of E. lanatus were categorized as burnt based on signs of recent fires, which include scorched leaves, a black trunk/stem, and debris and soot lying around the plant. The unburnt individuals did not have any of the characterization recorded in the burnt section, and there was no burn debris from the surrounding vegetation. In total, 20 plots (10 in the burnt and 10 in the unburnt sections) were set, which covered the entire accessible population.
In each plot, we recorded the number of E. lanatus and the number of stems per individual plant. The plants were categorized into adults, juveniles, suckers (sprouts), and seedlings. Following Hall and Walter [48], plants on which the longest leaf measured from petiole base to farthest leaflet tip was ≤0.5 m were classified as seedlings, while those with the longest leaf measuring >0.5 m and ≤1 m were grouped as juveniles, and plants with a leaf length of ≥1 m were grouped as adults. Adult plants were sexed whenever possible based on the type of cones they bore and on other indicators like old cone scales and stalks. Those adults for which the determination of sex was not possible were classified as “undetermined”. Plants with the status of ‘undetermined sex’ were not included in the analysis of sex ratio in this study. Adult plants, sprouts, and juveniles had their stem height measured.
All cones on plants in the 20 plots were counted, sexed, and assessed for damage. Male cones were considered damaged if parts of the cones were removed or completely broken off from the plant, and also if they were partially burnt by fire or some sporophylls were removed and the remaining cones were on the plant. Female cones were considered to be damaged when immature ovules/seeds were completely or partially removed from the cones and if an immature cone was burnt or completely or partially broken off from the plant. All the collected data are presented in Table S1.

2.3. Data Analysis

All the analyses were conducted in R (see R scripts used as Supplemental Information).
Population structure (Tables S1 and S2). To assess the distribution of life stages across the population, we fitted a simple ANOVA, using the proportion of individuals in each stage (log-response) as the response variable and life stages as the predictor (data in Table S1). To determine the structure of the population, we plotted a boxplot with a trend line. We further analyzed the population structure by exploring whether the abundance of one life stage predicts that of another stage (data in Table S2). To this end, we fitted a negative binomial Generalized Linear Model since the response variable is count data (abundance); a negative binomial was preferred to account for overdispersion.
Effects of fire on population structure. We investigated the effects of fire in four ways. First, we tested whether the proportion of each life stage varied between burnt and unburnt plots in the habitat (data in Table S2). This was performed by fitting an ANCOVA, using proportion as the response variable and life stages and fire occurrence as the co-variates. Second, we tested the effects of fire on cone production (data in Table S2) by fitting a simple ANOVA, using the number of cones produced as the response variable and the fire occurrence (burnt and unburnt plots) as the predictor. Third, we tested whether fire predicts cone sex ratio distribution (data in Table S2) by fitting a simple ANOVA with cone sex ratio as the response variable and fire occurrence as the predictor. Finally, we tested whether fire predicts the number of damaged cones (cone herbivory by baboons; data in Table S3). This was conducted by fitting a negative binomial Generalized Linear Model using the number of cones as the response variable and fire and states of the cones (damaged and undamaged) as predictors.

3. Results

3.1. Population Structure

First, we found that the population of E. lanatus follows a ‘J’ structure (Figure 2) with a significantly higher proportion of adults than any other life stage (ANOVA, DF = 3, F = 42.82, p < 0.001; Figure 2). In this structure, juveniles are the least represented in proportion. We further found no link between the abundance of seedlings and suckers, juveniles and suckers, adults and suckers, or between adults and juveniles (p > 0.05). However, we found that juveniles and adults explain 48% (β = 0.09 ± 0.025, p < 0.001) and 25% (β = 0.12 ± 0.05, p = 0.01) of the changes in the abundance of seedlings, respectively.

3.2. Effects of Fire on Population Structure

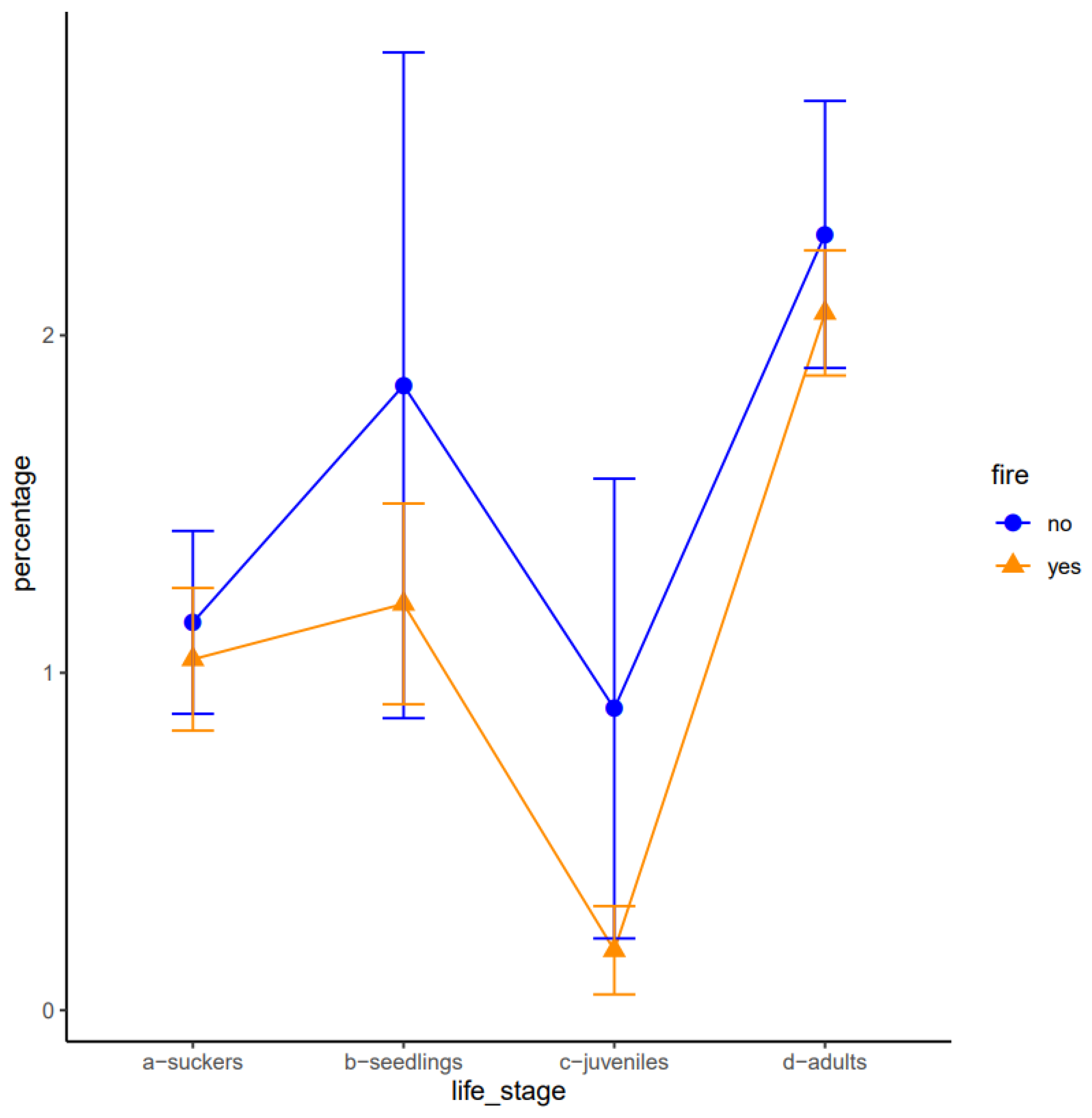
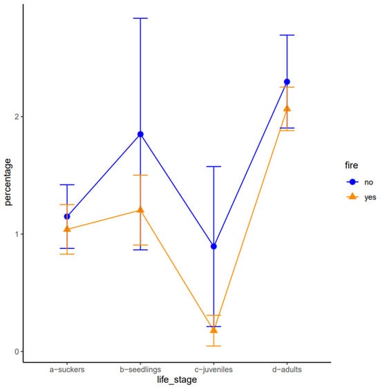
We found that irrespective of the life stages, the population in fire-prone habitats is proportionately lower than the population in unburnt areas (ANCOVA, DF = 1, F value= 3.603, p = 0.06; Figure 3), although this difference is only marginal, suggesting that fire may negatively affect the dynamic of the population.
To understand the role of fire, we investigated whether fire affects the reproductive organs, i.e., the cones of the species. We found that fire is not linked to differences in sex ratio across the entire population (ANOVA, DF = 1, F = 0.013, p = 0.912). However, we found that fire-prone populations not only possess more cones (ANOVA, DF = 1, F = 13.38, p = 0.0018; Figure 4a), but they also tend to have more damaged cones than unburnt populations (negative GLM; β = 1.77 ± 0.61, p = 0.0035; Figure 4b).

4. Discussion

In the face of the ongoing biodiversity crisis [49], especially the cycad diversity crisis [8,12], it is critically important to understand the dynamics of cycad populations. In the present study, we found that the population of E. lanatus follows a ‘J’ structure, suggesting that we have only a few seedlings and juveniles and a larger proportion of adults. This structure, a priori, is a concern for the future of the population of E. lanatus, which is the largest known population of this species in Africa. It is, a priori, a concern because this structure departs from the reverse J-shaped structure (see [50] for cycad genus Dioon), i.e., the negative exponential growth model traditionally believed to characterize old-growth forests in an equilibrium state [51,52,53,54,55,56,57,58,59,60]. From an ecological perspective, the reverse J-growth model implies that strong seedling recruitment is a prerequisite to ensuring positive population growth [61,62,63]. Also, ecologically, it implies equal mortality rates across all life stages in a population. The ‘J’ structure that we found therefore implies a disproportionately higher mortality rate for early-life stages (e.g., seedlings and juveniles).
However, the J-shaped trajectory that we found for E. lanatus may not necessarily predict negative growth for its population. The reason is that the traditional belief in the reverse J-growth trajectory as indicative of positive growth does not take into consideration the life history of the species at hand. Such consideration is critical since long- and short-lived species respond differently to perturbations ([64]; see also Gaoue and Yessoufou [65]). This is because long-lived species, unlike short-lived ones, invest heavily in long-term survival strategies [66]. According to life history theory, the survival of reproductive adults drives long-term population growth for long-lived species [64,65,67,68]. As such, low proportions of early life stages, such as those we found in the present study for a long-lived species like E. lanatus, would have limited impacts on the long-term population dynamics of this cycad species (see [65]).
In contrast, low seedling survival rates may be critical in determining the short-term growth trajectory (see [69]), suggesting that, in the short term, the ‘J’ structure that we found in this study may be a red flag, which can be quickly dismissed because long-term growth matters most. Considering these alternative scenarios (the ‘J’ structure may or may not be a concern), there is a need for a population dynamics study to clarify whether the ‘J’ structure we found here should be considered a red flag for the largest known population of E. lanatus. Such a study should seek to understand which life stages, when lost or heavily perturbed, would severely impact the population dynamics of the long-lived species E. lanatus (see [65]).
Pending such research, we employed a basic approach for a preliminary stand on the question. We found that juveniles and adults explain 48% and 25% of the seedling subpopulations, respectively. This implies perhaps that the adult subpopulations are ensuring the persistence of a quarter (25%) of seedlings in the population, which is consistent with the life-history theory predictions that the survival of adults is critical for the positive growth of long-lived species. Surprisingly, adults did not predict suckers. This is surprising because adults generate suckers through vegetative or asexual reproduction. Our finding that adults predict seedlings but do not predict suckers may indicate that E. lanatus prefers sexual reproduction over vegetative reproduction strategies. However, a recent study demonstrated that, when a sexual reproduction strategy is compromised, e.g., through intense fruit harvesting, tropical trees shift from a sexual to a clonal reproduction strategy [70]. Our claim that sexual reproduction strategies may still be predominant in our population of E. lanatus over clonal or asexual reproduction would therefore imply that seedling recruitment in our population of E. lanatus may not yet be at risk.
We found that irrespective of the life stages, the fire-prone subpopulation is proportionately lower than the subpopulation in unburnt areas, suggesting that fire may negatively affect the dynamic of the population. This negative effect may be linked to perturbation of reproduction strategies [7] through, for example, less cone production in fire-prone habitats, bias in sex ratio patterns, or substantial cone damage. For example, on bias in sex ratio patterns, ref. [42] reported an increase in the production of more female cones by Zamia pumila in fire-prone habitats. However, we found that fire-prone populations have more cones than not, suggesting that fire may actually stimulate cone phenology. Also, we found no correlation between fire and patterns of cone sex ratio across the population, suggesting that fire may not alter sex ratio patterns in a way that negatively affects the population of E. lanatus. Nevertheless, we found that fire-prone populations suffer a heavier burden of damaged cones than unburnt populations, meaning that the lower number of seedlings found in the population may be the result of more damaged cones. Negrón-Otiz and Gorchov [42] reported that fire reduced the survival of seeds of Zamia pumila in America but did not kill seedlings. Similar evidence of the negative effects of fire was reported for other cycad genera. Swart et al. [39] reported 33–63% of fire-driven seedling deaths in South Africa’s population of Encephalartos latifrons, while Liddle [40] reported a death rate of 50% for adults of Cycas armstrongii in Australia due to fire [40], which at the same time stimulates seedling recruitment of the species [33].
The answer to our initial question of how fire could be listed among threatening forces to cycad survival is that fire mediates damage to cycad cones. However, based on field observations, cone damage in the population of E. lanatus that we study is caused by baboons and not directly by fire. Specifically, baboons prefer to attack cones in burnt habitats because it is easier for baboons to escape human attacks or other dangers in burnt habitats where visibility from a distance is higher than in unburnt habitats full of grasses, behind which humans can hide to surprise baboons (see [71]). As a result of this baboon behavior, there are more damaged cones in burnt plots than in unburnt.
However, there are some limitations to our investigations, which can be used to inform future studies. First, we did not explore what the net outcome of the fire effect was, that is, whether there was a net loss or gain of cones in the burnt plots when damaged by baboons. Also, we have taken a very simplistic approach to fire impacts, focusing on the dichotomy between burnt and unburnt populations. Within the life history of cycads in general, including E. lanatus, it is much more realistic to explore cycad population structures in terms of fire regimes rather than simply burnt and unburnt populations. As such, it is important to interrogate what fire regimes would likely promote population persistence, seed production, and seedling emergence, and what regimes might be detrimental in the long term in terms of population dynamics. Finally, one can interrogate the importance of the ‘J’ structure for the dynamics of a species, which can resprout after fire even if all above-ground biomass is removed in very high-intensity fires. As such, the interpretation of the structure as just one snapshot in time could be misleading. However, a very recent interesting study just demonstrated that, in heavily harvested ecosystems in an Amazon rainforest, a liana species, Banisteropsis caapi, boosts clonal growth to persist and ensure its survival in response to intense anthropogenic pressure, but this increased clonal growth did not prevent the population from declining [72]. In the context of the present study, even though E. lanatus resprouts after fire, this is no guarantee of a positive growth of its population. In conclusion, fire has mixed effects on the population of E. lanatus: it stimulates cone production and, at the same time, creates a safe haven for baboons’ attacks on the cones of E. lanatus. Therefore, a priori, keeping baboons away from the near-threatened species of E. lanatus [73] would be advisable to reduce the proportion of damaged cones. An important recommendation from this observation on the baboons is that the population, or part of the population, be fenced to exclude baboons so that one can test for the effect of baboons vs. fire on cone production. This could be a way of managing this threatened population by removing a key threat. However, from an ecological perspective, the role of baboons may be critical in maintaining the population of E. lanatus—by causing damage to the cones of E. lanatus, baboons may be exerting a controlled force on the population to maintain it within a certain window that allows sustainable growth, an ecological force similar to prey-predator interactions. To clarify whether the future of this population is not at risk despite the fire, a population dynamics study similar to that of Gaoue and Yessoufou [65] is needed.

Supplementary Materials

The following supporting information can be downloaded at: https://www.mdpi.com/article/10.3390/d15101075/s1, Table S1: Number of individuals per life stage (called ‘data2′ in the R script); Table S2: All demographic data collected in this study (called ‘data’ in the R script); Table S3: Number of individuals with cone state (damaged/undamaged) in burnt versus unburnt habitats (called ‘data3′ in R scripts); R scripts used for data analyses are included as supplemental information.

Author Contributions

Conceptualization, M.N.S., K.Y., A.M., W.O.-M. and T.N.S.; methodology, M.N.S., K.Y. and T.N.S.; software, K.Y.; validation, K.Y. and T.N.S.; formal analysis, K.Y.; investigation, M.N.S., K.Y., A.M., W.O.-M. and T.N.S.; resources, M.N.S., K.Y. and T.N.S.; data curation, K.Y. and T.N.S.; writing—original draft preparation, M.N.S. and K.Y.; writing—review and editing, M.N.S., K.Y., A.M., W.O.-M. and T.N.S.; visualization, K.Y.; supervision, K.Y. and T.N.S.; project administration, K.Y. and T.N.S.; funding acquisition, K.Y., A.M., W.O.-M. and T.N.S. All authors have read and agreed to the published version of the manuscript.

Funding

This research was funded by the Vice Chancellor’s Scholarship of the University of Mpumalanga to M.N.S., the National Research Foundation (Grant UID 129403) to T.N.S., and (Grant #SRUG22051210107) to K.Y.

Institutional Review Board Statement

Not applicable.

Data Availability Statement

All data analyzed in this study are available with the paper as Supplemental Information.

Acknowledgments

We appreciate all the assistance received during data collection, and we thank the Mpumalanga Tourism and Parks Agency (MTPA) for granting us the permit to conduct research on Encephalartos lanatus. We also thank two anonymous reviewers who provided useful comments to the initial submission.

Conflicts of Interest

The authors declare no conflict of interest.

References

  1. Nagalingum, N.S.; Marshall, C.R.; Quental, T.B.; Rai, H.S.; Little, D.P.; Mathews, S. Recent synchronous radiation of a living fossil. Science 2011, 334, 796–799. [Google Scholar] [CrossRef] [PubMed]
  2. Yessoufou, K.; Bamigboye, S.O.; Daru, B.H.; Bank, M. Evidence of constant diversification punctuated by a mass extinction in the African cycads. Ecol. Evol. 2014, 4, 50–58. [Google Scholar] [CrossRef]
  3. Condamine, F.L.; Nagalingum, N.S.; Marshall, C.R.; Morlon, H. Origin and diversification of living cycads: A cautionary tale on the impact of the branching process prior in Bayesian molecular dating. BMC Evol. Biol. 2015, 15, 65. [Google Scholar] [CrossRef] [PubMed]
  4. Norstog, K.J.; Nicholls, T.J. The Biology of the Cycads; Cornell University Press: Ithaca, NY, USA, 1997. [Google Scholar]
  5. Brenner, E.D.; Stevenson, D.W.; Twigg, R.W. Cycads: Evolutionary innovations and the role of plant-derived neurotoxins. Trends Plant Sci. 2003, 8, 446–452. [Google Scholar] [CrossRef]
  6. Hermsen, E.J.; Taylor, E.L.; Taylor, T.N. Morphology and ecology of the Antarcticycas plant. Rev. Palaeobot. Palynol. 2009, 153, 108–123. [Google Scholar] [CrossRef]
  7. Mankga, L.T.; Yessoufou, K. Factors driving the global decline of cycad diversity. AoB PLANTS 2017, 9, plx022. [Google Scholar] [CrossRef] [PubMed]
  8. Yessoufou, K.; Daru, B.H.; Tafirei, R.; Elansary, H.O.; Rampedi, I. Integrating biogeography, threat and evolutionary data to explore extinction crisis in the taxonomic group of cycads. Ecol. Evol. 2017, 7, 2735–2746. [Google Scholar] [CrossRef]
  9. Sodhi, N.S.; Koh, L.P.; Peh, K.S.-H.; Tan, H.T.W.; Chazdon, R.L.; Corlett, R.T.; Lee, T.M.; Colwell, R.K.; Brook, B.W.; Sekercioglu, C.H.; et al. Correlates of extinction proneness in tropical angiosperms. Divers. Distrib. 2008, 14, 1–10. [Google Scholar] [CrossRef]
  10. Yessoufou, K.; Daru, B.H.; Davies, T.J. Phylogenetic patterns of extinction risk in the Eastern arc ecosystem an African bio-diversity hotspot. PLoS ONE 2012, 7, e47082. [Google Scholar] [CrossRef]
  11. Davies, T.J.; Smith, G.F.; Bellstedt, D.U.; Boatwright, J.S.; Bytebier, B.; Cowling, R.M.; Forest, F.; Harmon, L.J.; Muasya, A.M.; Schrire, B.D.; et al. Extinction risk and diversification are linked in a plant biodiversity hostspot. PLoS Biol. 2011, 9, e1000620. [Google Scholar] [CrossRef]
  12. Daru, B.H.; Yessoufou, K.; Mankga, L.T.; Davies, T.J. A global trend towards the loss of evolutionary unique species in Mangrove ecosystem. PLoS ONE 2013, 8, e66686. [Google Scholar] [CrossRef]
  13. Bazzaz, F.A. Characteristics of populations in relation to disturbance innaturalandman-modified ecosystems. In Disturbance and Ecosystems; Mooney, H.A., Godron, M., Eds.; Springer: New York, NY, USA, 1984; pp. 259–277. [Google Scholar]
  14. Ahlgren, C.E.; Kozlowsila, T.T. Fire and Ecosystems; Academic Press: New York, NY, USA, 1974. [Google Scholar]
  15. Whelan, R.J. The Ecology of Fire; Cambridge University Press: Cambridge, UK, 1995. [Google Scholar]
  16. Pausas, J.G.; Lamont, B.B.; Paula, S.; Appezzato-da-Glória, B.; Fidelis, A. Unearthing belowground bud banks in fire-prone eco-systems. New Phytol. 2018, 217, 1435–1448. [Google Scholar] [CrossRef]
  17. Pausas, J.G. Bark thickness and fire regime: Another twist. New Phytol. 2017, 213, 13–15. [Google Scholar] [CrossRef]
  18. Pausas, J.G.; Pratt, R.B.; Keeley, J.E.; Jacobsen, A.L.; Ramirez, A.R.; Vilagrosa, A.; Paula, S.; Kaneakua-Pia, I.N.; Davis, S.D. Towards understanding resprouting at the global scale. New Phytol. 2016, 209, 945–954. [Google Scholar] [CrossRef]
  19. Auld, T.D.; Bradstock, R.A. Soil temperatures after the passage of a fire: Do they influence the germination of buried seeds? Aust. J. Ecol. 1996, 21, 106–109. [Google Scholar] [CrossRef]
  20. Gill, A.M. Fire and the Australian flora: A review. Aust. For. 1975, 38, 4–25. [Google Scholar] [CrossRef]
  21. Harnett, D.C.; Richardson, D.R. Population biology of Bonamia grandiflora (Convolvulaceae): Effects offire on plant and seedbank dynamics. Am. J. Bot. 1989, 76, 361–369. [Google Scholar] [CrossRef]
  22. Gill, A.M. Fire adaptive traits of vascular plants. In Fire Regimes and Ecosystem Properties: Proceedings of the Conference, 11–15 December 1978, Honolulu, Hawaii; Mooney, H.A., Bonnicksen, J.M., Christensen, N.L., Reiners, W.F., Eds.; USDA Forest Service General Technical Report, WO-26; USDA Forest Service: Washington, DC, USA, 1981; pp. 208–230. [Google Scholar]
  23. Brewer, J.S.; Platt, W.J. Effects of fire season and herbivory on reproductive success in a clonal forb, Pityopsis graminifolia. J. Ecol. 1994, 82, 665–675. [Google Scholar] [CrossRef]
  24. Spier, L.P.; Snyder, J.R. Effects of wet-and dry-season fire son Jacquemontia curtisii, a south Florid apine forest endemic. Nat. Areas J. 1998, 18, 350–357. [Google Scholar]
  25. Christensen, N.L. Fire and soil-plant nutrient relations in a pine- wiregrass savanna on the coastal plain of North Carolina. Oecologia 1977, 31, 27–44. [Google Scholar] [CrossRef]
  26. Menges, E. Factors limiting fecundity and germination in small populations of Silene regia (Caryophyllaceae), a rare hummingbird- pollinated prairie forb. Am. Midl. Nat. 1995, 133, 242–255. [Google Scholar] [CrossRef]
  27. Baird, A.M. Regeneration after fire in King’s Park, Western Australia. J. R. Soc. W. Aust. 1977, 60, 1–22. [Google Scholar]
  28. Dolva, J.M.; Scott, J.K. The association between the mealybug, Pseudococcus macrozamiae, ants and the cycad Macrozamia riedlei in a fire-prone environment. J. R. Soc. W. Aust. 1982, 65, 33–36. [Google Scholar]
  29. Ornduff, R. Size classes, reproductive behavior, and insect associates of Cycas media (Cycadaceae) in Australia. Bot. Gaz. 1991, 152, 203–207. [Google Scholar] [CrossRef]
  30. Beaton, J.M. Fire and water: Aspects of Australian aboriginal management. Arch. Ocean. 1982, 17, 51–58. [Google Scholar] [CrossRef]
  31. Pate, J.S. Biology of the S.W. Australian cycad Macrozamia riedlei (Fisch. Ex Gaudich). In The Biology, Structure, and Systematics of the Cycadales; Stevenson, D.W., Norstog, K.J., Eds.; Palm and Cycad Societies of Australia: Milton, QL, USA, 1993; pp. 125–130. [Google Scholar]
  32. Grobbelaar, N.J.; Meyer, J.M.; Burchmore, J. Coning and sex ratio of Encephalartos transvenosus at the Modjadji Nature Reserve. S. Afr. J. Bot. 1989, 55, 79–82. [Google Scholar] [CrossRef]
  33. Watkinson, A.R.; Powell, J.C. The life history and population structure of Cycas armstrongii in monsoonal northern Australia. Oecologia 1997, 111, 341–349. [Google Scholar] [CrossRef]
  34. Grove, T.; O’Connell, A.; Malajczuk, N. Effects of Fire on the Growth, Nutrient Content and Rate of Nitrogen Fixation of the Cycad Macrozamia riedlei. Aust. J. Bot. 1980, 28, 271–281. [Google Scholar] [CrossRef]
  35. Tang, W. Reproduction in the Cycad Zamia pumila in a fire-climax habitat: An eight-year study. Bull. Torrey Bot. Club 1990, 117, 368. [Google Scholar] [CrossRef]
  36. Griffiths, A.D.; Schult, H.J.; Gorman, J. Wild harvest of Cycas arnhemica (Cycadaceae): Impact on survival, recruitment and growth in Arnhem Land, northern Australia. Aust. J. Bot. 2005, 53, 771–779. [Google Scholar] [CrossRef]
  37. Preece, L.D.; Duguid, A.W.; Albrecht, D.E. Environmental determinants of a restricted cycad in central Australia, Macrozamia macdonnellii. Aust. J. Bot. 2007, 55, 601–607. [Google Scholar] [CrossRef]
  38. Clarke, P.J.; Lawes, M.J.; Midgley, J.J.; Lamont, B.B.; Ojeda, F.; Burrows, G.E.; Enright, N.J.; Knox, K.J.E. Resprouting as a key functional trait: How buds, protection and resources drive persistence after fire. New Phytol. 2013, 197, 19–35. [Google Scholar] [CrossRef]
  39. Swart, C.; Rowswell, R.; Donaldson, J.; Barker, N. Population structure and survival of the critically endangered cycad Encephalartos latifrons in South Africa. S. Afr. J. Bot. 2019, 127, 80–90. [Google Scholar] [CrossRef]
  40. Liddle, D.T. The Ecology of Cycas Armstrongii and Management of Fire in Australia’s Tropical Savannas. Ph.D. Thesis, Charles Darwin University, Darwin, Australia, 2004. [Google Scholar]
  41. Fawcett, P.K.S.; Norstog, K.J. Zamia pumila in South Florida: A preliminary report on its pollinators R. slossoni, a snout weevil, and P. zamiae, a clavicorn beetle. In The Biology, Structure, and Systematics of the Cycadales; Stevenson, D.W., Knorstog, K.J., Eds.; Palm and Cycad Societies of Australia: Milton, QL, USA, 1993; pp. 109–120. [Google Scholar]
  42. Negrón-Ortiz, V.; Gorchov, D.L. Effects of fire season and postfire herbivory on the cycad Zamia pumila (Zamiaceae) in slash pine savanna, Everglades National Park, Florida. Int. J. Plant Sci. 2000, 161, 659–669. [Google Scholar] [CrossRef][Green Version]
  43. Giddy, C. Cycads of South Africa, 2nd ed.; C. Struik (Pty) Ltd. Publishers: Cape Town, South Africa, 1984. [Google Scholar]
  44. Goode, D. Cycads of Africa; Struik Winchester: Cape Town, South Africa, 1989. [Google Scholar]
  45. Osborne, R. The world cycad census and a proposed revision of the threatened species status for cycad taxa. Biol. Conserv. 1995, 71, 1–12. [Google Scholar] [CrossRef]
  46. Donaldson, J.S. Regional overview: Africa. In Status Survey and Conservation Action Plan, Cycad; Donaldson, J.S., Ed.; IUCN/SSC Cycad Specialist Group, The World Conservation Union: Gland, Switzerland; Cambridge, UK, 2003. [Google Scholar]
  47. Osborne, R.; Calonje, M.A.; Hill, K.D.; Stanberg, L.; Stevenson, D.W. The world list of cycads. In Proceedings of the 8th International Conference on Cycad Biology, CYCAD 2012, Panama City, Panama, 13 – 15 January 2008. [Google Scholar]
  48. Hall, J.A.; Walter, G.H. Seed dispersal of the Australian cycad Macrozamia miquelii (Zamiaceae): Are cycads megafauna dispersed “grove forming” plants? Am. J. Bot. 2013, 100, 1127–1136. [Google Scholar] [CrossRef] [PubMed]
  49. Ceballos, G.; Ehrlich, P.R.; Barnosky, A.D.; García, A.; Pringle, R.M.; Palmer, T.M. Accelerated modern human–induced species losses: Entering the sixth mass extinction. Sci. Adv. 2015, 1, e1400253. [Google Scholar] [CrossRef] [PubMed]
  50. Vovides, A.P. Spatial distribution, survival, and fecundity of Dioon edule (Zamiaceae) in a tropical deciduous forest in Veracruz, Mexico, with notes on its habitat. Am. J. Bot. 1990, 77, 1532–1543. [Google Scholar] [CrossRef]
  51. Hough, A.F. Some diameter distributions in forest stands of northwestern Pennsylvania. J. For. 1932, 30, 933–943. [Google Scholar]
  52. Meyer, H.A.; Stevenson, D.D. The structure and growth of virgin beech, birch, maple, hemlock forests in northern Pennsylvania. J. Agric. Res. 1943, 67, 465–478. [Google Scholar]
  53. Meyer, H.A. Structure, growth and drain in balanced uneven-aged forests. J. For. 1952, 50, 85–92. [Google Scholar]
  54. Lorimer, C.G. Age structure and disturbance history of a Southern Appalachian virgin forest. Ecology 1980, 61, 1169–1184. [Google Scholar] [CrossRef]
  55. Kimmins, J.P. Forest Ecology; Macmillan: New York, NY, USA, 1987. [Google Scholar]
  56. Leak, W.A. Long-term structural change in uneven-aged northern hardwoods. For. Sci. 1996, 42, 160–165. [Google Scholar]
  57. Cancino, J.; Gadow, K.V. Stem number guide curves for uneven-aged forests, development and limitations. In Continuous Cover Forestry; Gadow, K.V., Nagel, J., Saborowski, J., Eds.; Kluwer Academic Publishers: Dordrecht, The Netherlands, 2002; pp. 163–174. [Google Scholar]
  58. Veríssimo, A.; Barreto, P.; Mattos, M.; Tarifa, R.; Uhl, C. Logging impacts and prospects for sustainable forest management in an old Amazonian frontier: The case of Paragominas. For. Ecol. Manag. 1992, 55, 169–199. [Google Scholar] [CrossRef]
  59. Dauber, E.; Fredericksen, T.S.; Pena, M. Sustainability of timber harvesting in Bolivian tropical forests. For. Ecol. Manag. 2005, 214, 294–304. [Google Scholar] [CrossRef]
  60. Zimmerman, B.L.; Kormos, C.F. Prospects for sustainable logging in tropical forests. BioScience 2012, 62, 479–487. [Google Scholar]
  61. FAO. Mangrove Forests Management Guidelines; Technical Report FAO Forestry Paper 117; FAO: Rome, Italy, 1994; pp. 169–191. [Google Scholar]
  62. Ashton, E.; Macintosh, D. Preliminary assessment of the plant diversity and community ecology of the Sematan mangrove forest, Sarawak, Malaysia. For. Ecol. Manag. 2002, 166, 111–129. [Google Scholar] [CrossRef]
  63. Bosire, J.O.; Kairo, J.G.; Kazungu, J.; Koedam, N.; Guebas, F. Spatial and temporal regeneration dynamics in Ceriops tagal (Perr.) C.B. Rob. (Rhizophoraceae) mangrove forests in Kenya West. Indian Ocean J. Mar. Sci. 2008, 7, 69–80. [Google Scholar]
  64. Silvertown, J.; Franco, M.; Pisanty, I.; Mendoza, A. Comparative plant demography-relative importance of life-cycle components to the finite rate of increase in woody and herbaceous perennials. J. Ecol. 1993, 81, 465–476. [Google Scholar] [CrossRef]
  65. Gaoue, O.G.; Yessoufou, K. Strong seedling recruitment does not limit mangrove vulnerability to harvest Environ. Res. Lett. 2019, 14, 064019. [Google Scholar] [CrossRef]
  66. Morris, W.F.; Pfister, C.A.; Tuljapurkar, S.; Haridas, C.V.; Boggs, C.L.; Boyce, M.S.; Bruna, E.M.; Church, D.R.; Coulson, T.; Doak, D.F.; et al. Longevity can buffer plant and animal populations against changing climatic variability. Ecology 2008, 89, 19–25. [Google Scholar] [CrossRef] [PubMed]
  67. Schmidt, I.; Mandle, L.; Ticktin, T.; Gaoue, O. What do matrix population models reveal about the sustainability of nontimber forest product harvest? J. Appl. Ecol. 2011, 48, 815–826. [Google Scholar] [CrossRef]
  68. Adler, P.B.; Salguero-Gómez, R.; Compagnoni, A.; Hsu, J.S.; Ray-Mukherjee, J.; Mbeau-Ache, C.; Franco, M. Functional traits explain variation in plant life history strategies. Proc. Natl. Acad. Sci. USA 2014, 111, 740–745. [Google Scholar] [CrossRef]
  69. Gaoue, O.G. Transient dynamics reveal the importance of early life survival to the response of a tropical tree to harvest. J. Appl. Ecol. 2016, 53, 112–119. [Google Scholar] [CrossRef]
  70. Gaoue, O.G.; Gado, C.; Natta, A.K.; Kouagou, M. Recurrent fruit harvesting reduces seedling density but increases the frequency of clonal reproduction in a tropical tree. Biotropica 2018, 50, 69–73. [Google Scholar] [CrossRef]
  71. Eby, S.L.; Anderson, T.M.; Mayemba, E.P.; Ritchie, M.E. The effect of fire on habitat selection of mammalian herbivores: The role of body size and vegetation characteristics. J. Anim. Ecol. 2014, 83, 1196–1205. [Google Scholar] [CrossRef] [PubMed]
  72. Coe, M.A.; Gaoue, O.G. Increased clonal growth in heavily harvested ecosystems failed to rescue ayahuasca lianas from decline in the Peruvian Amazon rainforest. J. Appl. Ecol. 2023, 60, 2105–2117. [Google Scholar] [CrossRef]
  73. Donaldson, J.S. Encephalartos lanatus Stapf & Burtt Davy. National Assessment: Red List of South African Plants Version 2020.1. 2009. Available online: http://redlist.sanbi.org/species.php?species=823-25 (accessed on 8 April 2023).
Figure 1. Graphical representation of the design of data collection. The minimum distance between two consecutive plots is 7 m.
Figure 1. Graphical representation of the design of data collection. The minimum distance between two consecutive plots is 7 m.
Diversity 15 01075 g001
Figure 2. Population structure of Encephalartos lanatus.
Figure 2. Population structure of Encephalartos lanatus.
Diversity 15 01075 g002
Figure 3. Distribution of life stages in relation to fire occurrence.
Figure 3. Distribution of life stages in relation to fire occurrence.
Diversity 15 01075 g003
Figure 4. Effects of fire on the cone phenology of Encephalartos lanatus. (a) Comparison of the total cones between fire-prone areas and unburnt areas; (b) comparison of the state of cones (damaged versus undamaged) between fire-prone and unburnt areas.
Figure 4. Effects of fire on the cone phenology of Encephalartos lanatus. (a) Comparison of the total cones between fire-prone areas and unburnt areas; (b) comparison of the state of cones (damaged versus undamaged) between fire-prone and unburnt areas.
Diversity 15 01075 g004
Disclaimer/Publisher’s Note: The statements, opinions and data contained in all publications are solely those of the individual author(s) and contributor(s) and not of MDPI and/or the editor(s). MDPI and/or the editor(s) disclaim responsibility for any injury to people or property resulting from any ideas, methods, instructions or products referred to in the content.

Share and Cite

MDPI and ACS Style

Sigasa, M.N.; Yessoufou, K.; Magadlela, A.; Otang-Mbeng, W.; Suinyuy, T.N. Population Structure of an African Cycad: Fire May Stimulate the Coning Phenology of Encephalartos lanatus (Zamiaceae) and Also Predispose Its Cones to Damage. Diversity 2023, 15, 1075. https://doi.org/10.3390/d15101075

AMA Style

Sigasa MN, Yessoufou K, Magadlela A, Otang-Mbeng W, Suinyuy TN. Population Structure of an African Cycad: Fire May Stimulate the Coning Phenology of Encephalartos lanatus (Zamiaceae) and Also Predispose Its Cones to Damage. Diversity. 2023; 15(10):1075. https://doi.org/10.3390/d15101075

Chicago/Turabian Style

Sigasa, Memory N., Kowiyou Yessoufou, Anathi Magadlela, Wilfred Otang-Mbeng, and Terence N. Suinyuy. 2023. "Population Structure of an African Cycad: Fire May Stimulate the Coning Phenology of Encephalartos lanatus (Zamiaceae) and Also Predispose Its Cones to Damage" Diversity 15, no. 10: 1075. https://doi.org/10.3390/d15101075

APA Style

Sigasa, M. N., Yessoufou, K., Magadlela, A., Otang-Mbeng, W., & Suinyuy, T. N. (2023). Population Structure of an African Cycad: Fire May Stimulate the Coning Phenology of Encephalartos lanatus (Zamiaceae) and Also Predispose Its Cones to Damage. Diversity, 15(10), 1075. https://doi.org/10.3390/d15101075

Note that from the first issue of 2016, this journal uses article numbers instead of page numbers. See further details here.

Article Metrics

Back to TopTop