Numerical Ecology and Social Network Analysis of the Forest Community in the Lienhuachih Area of Taiwan
Abstract
1. Introduction
2. Materials and Methods
2.1. Study Areas
2.2. Experimental Design
2.3. Statistical Methods
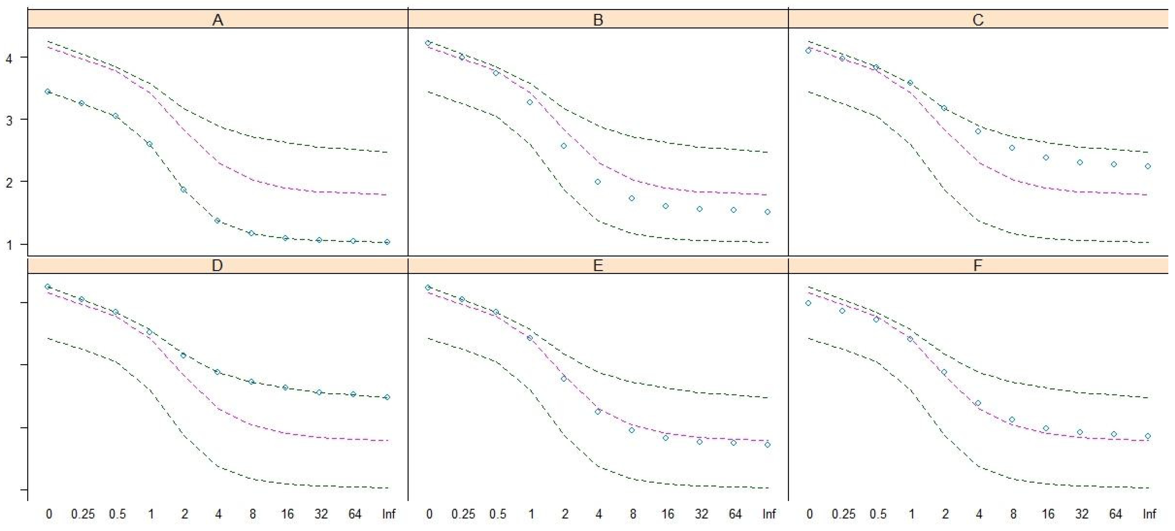
- The seriated heat map is a novel method that has been recently applied to numerical taxonomy [13]. The advantage of this method is that it simultaneously implements clustering and ordination visualizations in a plot [15,16]. The Q-Q-type seriated heat map [13,15,16], which employs the Bray–Curtis dissimilarity index [17,18,19], was used to detect possible community patterns in this study.
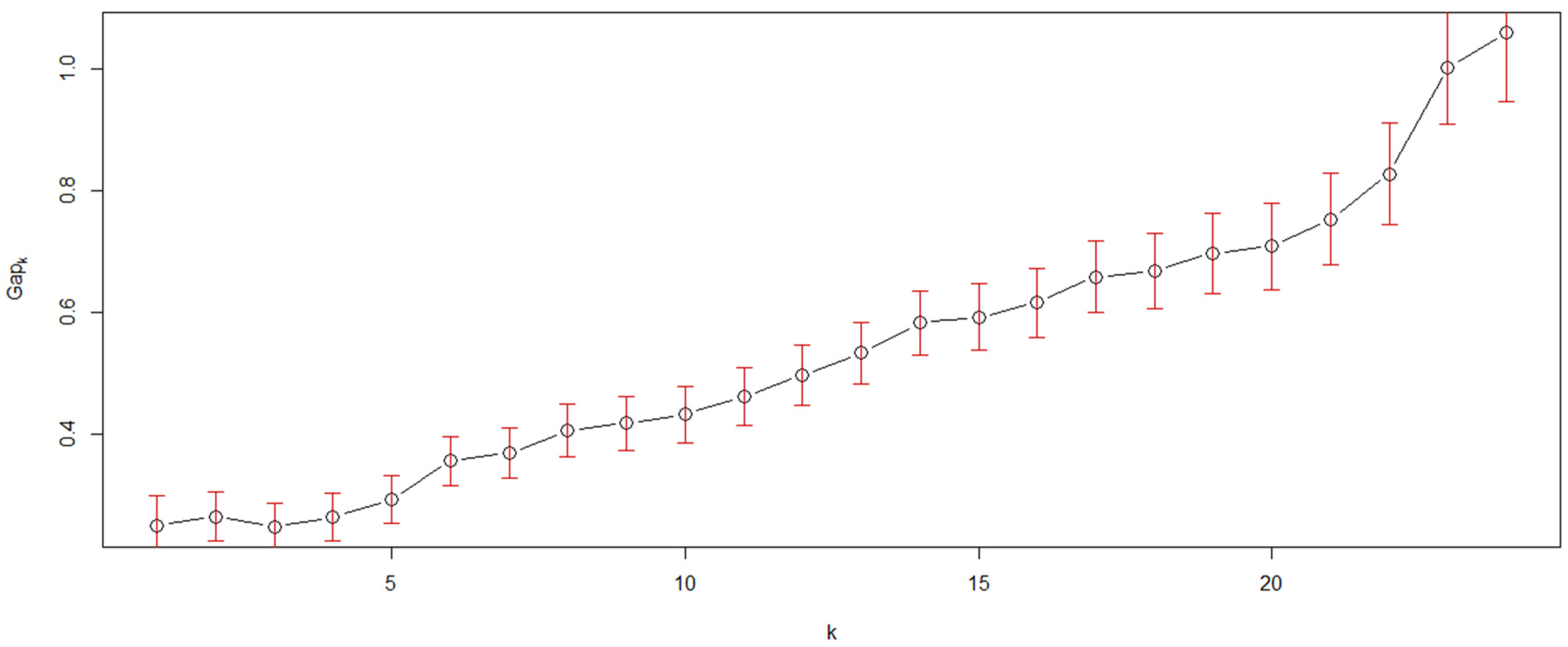
- The gap statistic, Gapk, is a goodness of clustering measure obtained after running 10,000 Monte Carlo samples [20,21] and was employed to estimate the number of community patterns hidden in the seriated heat map. Next, the detected community patterns were coded in capital letters for subsequent analyses.
- This study adopted the classification and regression tree [50] of the dominant/characteristic species as the key to syntaxa in the Lienhuachih area of Taiwan.
3. Results
3.1. Vegetation Classification:
3.2. Social Networks Analysis
4. Discussion
Syntaxonomical Synopsis
- A
- Assoc. Gordonietum axillare Tung-Yu Hsieh et al., 2022 ass. nova hoc loco
- Nomenclature type releve’: x15y20 (holotypus hoc loco designatus).
- B
- Assoc. Randio cochinchinensis-Iletum goshiensis Tung-Yu Hsieh et al., 2022, ass. nova hoc loco
- Nomenclature type releve’: x15y5 (holotypus hoc loco designatus).
- C
- Assoc. Diospyro morrisianae-Meliosmetum squamulatae Tung-Yu Hsieh et al., 2022, ass. nova hoc loco
- Nomenclature type releve´: x20y20 (holotypus hoc loco designatus).
- D
- Assoc. Tricalysio dubiae-Psychotretum rubrae Tung-Yu Hsieh et al., 2022, ass. nova hoc loco
- Nomenclature type releve´: x5y10 (holotypus hoc loco designatus).
- E
- Assoc. Blasto cochinchinensis-Helicetum formosanae Tung-Yu Hsieh et al., 2022, ass. nova hoc loco
- Nomenclature type releve´: x10y0 (holotypus hoc loco designatus).
- F
- Assoc. Blasto cochinchinensis-Cinnamometum subaveniae Tung-Yu Hsieh et al., 2022, ass. nova hoc loco
- Nomenclature type releve’: x5y20 (holotypus hoc loco designatus).
- Assoc. Blasto cochinchinensis-Ficetum fistulosae Tung-Yu Hsieh et al., 2022, ass. nova hoc loco
- Nomenclature type releve’: x5y20 (holotypus hoc loco designatus).
5. Conclusions
Author Contributions
Funding
Institutional Review Board Statement
Data Availability Statement
Acknowledgments
Conflicts of Interest
References
- Von Humboldt, A.; Aimé, B. Ideen zu einer Geographi der Pflanzen nebst einem Naturgemalde der Tropenlander; Akad: Leipzig, Germany, 1807; p. 139. [Google Scholar]
- Waterton, C. From field to fantasy: Classifying nature, constructing Europe. Soc. Stud. Sci. 2002, 32, 177–204. [Google Scholar] [CrossRef]
- Braun-Blanquet, J. Pflanzensoziologie: Grundzüge der Vegetationskunde; Springer: Vienna, Austria, 1964; p. 865. [Google Scholar]
- Maarel, E.v.d.; Franklin, J. Vegetation Ecology, 2nd ed.; Wiley: Chichester, UK, 2012. [Google Scholar]
- Wildi, O. Data Analysis in Vegetation Ecology, 2nd ed.; CABI: Wallingford, UK, 2013. [Google Scholar]
- Jongman, R.G.H.; ter Braak, C.J.F.; van Tongeren, O.F. Data Analysis in Community and Landscape Ecology; Cambridge University Press: Cambridge, UK, 1995. [Google Scholar]
- Legendre, P.; Legendre, L. Numerical Ecology; Elsevier: Amsterdam, The Netherlands, 2012. [Google Scholar]
- Freeman, L.C. The Development of Social Network Analysis: A Study in the Sociology of Science; Empirical Press: Vancouver, BC, Canada, 2004; p. 205. [Google Scholar]
- Chang, L.-W.; Chiu, S.-T.; Yang, K.-C.; Wang, H.-H.; Hwong, J.-L.; Hsieh, C.-F. Changes of plant communities classification and species composition along the micro-topography at the Lienhuachih Forest Dynamics Plot in the central Taiwan. Taiwania 2012, 57, 359–371. [Google Scholar] [CrossRef]
- Chang, L.-W.; Hwong, J.-L.; Chiu, S.-T.; Wang, H.-H.; Yang, K.-C.; Chang, H.-Y.; Hsieh, C.-F. Species composition, size-class structure, and diversity of the Lienhuachih Forest Dynamics Plot in a subtropical evergreen broad-leaved forest in central Taiwan. Taiwan J. For. Sci. 2010, 25, 81–95. [Google Scholar] [CrossRef]
- Yang, C.-J. The Study of Species Selection in Restoration Plan: An Example of Lienhuachih Region; National Taiwan University: Taipei, Taiwan, 2013. [Google Scholar]
- Chang, L.; Huang, J.; Luo, S.; Lee, P. Understory plant composition and its relations with environmental factors of the Lienhuachih forest dynamics plot at a subtropical evergreen broadleaf forest in central Taiwan. Taiwan J. For. Sci. 2015, 30, 245–257. [Google Scholar]
- Hsieh, T.-Y.; Ku, S.-M.; Chien, C.-T.; Liou, Y.-T. Classifier modeling and numerical taxonomy of Actinidia (Actinidiaceae) in Taiwan. Bot. Stud. 2011, 52, 337–357. [Google Scholar]
- R Core Team, R. A Language and Environment for Statistical Computing, 4.2.0, R Foundation for Statistical Computing: Vienna, Austria, 2022.
- Earle, D.; Hurley, C.B. Advances in dendrogram seriation for application to visualization. J. Comput. Graph. Stat. 2015, 24, 1–25. [Google Scholar] [CrossRef]
- Hahsler, M.; Buchta, C.; Hornik, K. Seriation: Infrastructure for Ordering Objects Using Seriation, R Package Version 1.3.6. 2022. Available online: https://CRAN.r-project.org/package=seriation (accessed on 1 January 2022).
- Bray, J.R.; Curtis, J.T. An ordination of the upland forest communities of southern Wisconsin. Ecol. Monogr. 1957, 27, 325–349. [Google Scholar] [CrossRef]
- Oksanen, J.; Simpson, G.; Blanchet, F.; Kindt, R.; Legendre, P.; Minchin, P.; O’Hara, R.; Solymos, P.; Stevens, M.; Szoecs, E.; et al. Vegan: Community Ecology Package, R Package Version 2.6-2. 2022. Available online: https://CRAN.r-project.org/package=vegan (accessed on 18 June 2022).
- Faith, D.P.; Minchin, P.R.; Belbin, L. Compositional dissimilarity as a robust measure of ecological distance. Vegetatio 1987, 69, 57–68. [Google Scholar] [CrossRef]
- Maechler, M.; Rousseeuw, P.; Struyf, A.; Hubert, M.; Hornik, K. Cluster: Cluster Analysis Basics and Extensions, R Package Version 2.0.7-1. 2018. Available online: https://CRAN.r-project.org/package=cluster (accessed on 1 July 2018).
- Tibshirani, R.; Walther, G.; Hastie, T. Estimating the number of clusters in a data set via the gap statistic. J. R. Stat. Soc. B 2002, 63, 411–423. [Google Scholar] [CrossRef]
- Reynolds, A.P.; Richards, G.; de la Iglesia, B.; Rayward-Smith, V.J. Clustering rules: A comparison of partitioning and hierarchical clustering algorithms. J. Math. Model. Algorithms 2006, 5, 475–504. [Google Scholar] [CrossRef]
- Pison, G.; Struyf, A.; Rousseeuw, P.J. Displaying a clustering with CLUSPLOT. Comput. Stat. Data Anal. 1999, 30, 381–392. [Google Scholar] [CrossRef]
- Rényi, A. On measures of entropy and information. In Proceedings of the 4th Berkeley symposium on mathematical statistics and probability, Berkeley; 1961; pp. 547–561. [Google Scholar]
- Hill, M.O. Diversity and evenness: A unifying notation and its consequences. Ecology 1973, 54, 427–432. [Google Scholar] [CrossRef]
- Kindt, R.; Van Damme, P.; Simons, A.J. Tree diversity in western Kenya: Using profiles to characterise richness and evenness. Biodivers. Conserv. 2006, 15, 1253–1270. [Google Scholar] [CrossRef]
- Tóthmérész, B. Comparison of different methods for diversity ordering. J. Veg. Sci. 1995, 6, 283–290. [Google Scholar] [CrossRef]
- Caruso, T.; Pigino, G.; Bernini, F.; Bargagli, R.; Migliorini, M. The Berger-Parker index as an effective tool for monitoring the biodiversity of disturbed soils: A case study on Mediterranean oribatid (Acari: Oribatida) assemblages. Biodivers. Conserv. 2006, 16, 3277–3285. [Google Scholar] [CrossRef]
- Lau, M.K.; Borrett, S.R.; Hines, D.E.; Singh, P. EnaR: Tools for Ecological Network Analysis, R Package Version 3.0.0. 2017. Available online: https://CRAN.R-project.org/package=enaR (accessed on 15 January 2017).
- Borrett, S.R.; Lau, M.K. EnaR: An R package for ecosystem network analysis. Methods Ecol. Evol. 2014, 5, 1206–1213. [Google Scholar] [CrossRef]
- Scott, J. Social Network Analysis, 4th ed.; SAGE Publications: London, UK, 2017; p. 227. [Google Scholar]
- Dormann, C.F.; Gruber, B.; Fründ, J. Introducing the bipartite Package: Analysing Ecological Networks. R News 2008, 8, 8–11. [Google Scholar]
- Dormann, C.F.; Fruend, J.; Grube, B. Bipartite: Visualising Bipartite Networks and Calculating Some (Ecological) Indices, R Package Version 2.08. 2017. Available online: https://CRAN.R-project.org/package=bipartite (accessed on 22 January 2017).
- Dormann, C.F.; Fründ, J.; Blüthgen, N.; Gruber, B. Indices, graphs and null models: Analyzing bipartite ecological networks. Open Ecol. J. 2009, 2, 7–24. [Google Scholar] [CrossRef]
- Memmott, J.; Waser, N.M.; Price, M.V. Tolerance of pollination networks to species extinctions. Proc. R. Soc. Lond. B Biol. Sci. 2004, 271, 2605–2611. [Google Scholar] [CrossRef]
- Liaw, A.; Wiener, M. RandomForest: Breiman and Cutler’s Random Forests for Classification and Regression. R Package Version 2.6-2. 2018. Available online: https://CRAN.r-project.org/package=randomForest (accessed on 11 June 2018).
- Breiman, L. Random forests. Mach. Learn. 2001, 45, 5–32. [Google Scholar] [CrossRef]
- Cutler, D.R.; Edwards, T.C., Jr.; Beard, K.H.; Cutler, A.; Hess, K.T.; Gibson, J.; Lawler, J.J. Random forests for classification in ecology. Ecology 2007, 88, 2783–2792. [Google Scholar] [CrossRef] [PubMed]
- Liaw, A.; Wiener, M. Classification and regression by randomForest. R News 2002, 2, 18–22. [Google Scholar]
- Beckett, S.J. Improved community detection in weighted bipartite networks. R. Soc. Open Sci. 2016, 3, 140536. [Google Scholar] [CrossRef] [PubMed]
- Liu, X.; Murata, T. An efficient algorithm for optimizing bipartite modularity in bipartite networks. J. Adv. Comput. Intell. Intell. Inform. 2010, 14, 408–415. [Google Scholar] [CrossRef]
- Dormann, C.F.; Strauss, R. Detecting modules in quantitative bipartite networks: The QuaBiMo algorithm. Methods Ecol. Evol. 2013, 5, 90–98. [Google Scholar] [CrossRef]
- Holt, R.D. Predation, apparent competition, and the structure of prey communities. Theor. Popul. Biol. 1977, 12, 197–229. [Google Scholar] [CrossRef]
- Morris, R.J.; Lewis, O.T.; Godfray, H.C.J. Experimental evidence for apparent competition in a tropical forest food web. Nature 2004, 428, 310–313. [Google Scholar] [CrossRef] [PubMed]
- Carvalheiro, L.G.; Biesmeijer, J.C.; Benadi, G.; Fründ, J.; Stang, M.; Bartomeus, I.; Kaiser-Bunbury, C.N.; Baude, M.; Gomes, S.I.; Merckx, V. The potential for indirect effects between co-flowering plants via shared pollinators depends on resource abundance, accessibility and relatedness. Ecol. Lett. 2014, 17, 1389–1399. [Google Scholar] [CrossRef]
- Morris, R.J.; Lewis, O.T.; Godfray, H.C.J. Apparent competition and insect community structure: Towards a spatial perspective. Ann. Zool. Fenn. 2005, 42, 449–462. [Google Scholar]
- Muller, C.; Adriaanse, I.; Belshaw, R.; Godfray, H. The structure of an aphid–parasitoid community. J. Anim. Ecol. 1999, 68, 346–370. [Google Scholar] [CrossRef]
- Gotelli, N.J.; Graves, G.R. Null Models in Ecology; Smithsonian Institution Press: Washington, DC, USA, 1996; p. 368. [Google Scholar]
- Pimm, S.L. Food Webs; Chapman and Hall: London, UK, 1982; p. 219. [Google Scholar]
- Therneau, T.; Atkinson, B. Rpart: Recursive Partitioning and Regression Trees, R Package Version 4.1.16. 2022. Available online: https://CRAN.R-project.org/package=rpart (accessed on 8 October 2022).
- Blüthgen, N.; Menzel, F.; Hovestadt, T.; Fiala, B.; Blüthgen, N. Specialization, constraints, and conflicting interests in mutualistic networks. Curr. Biol. 2007, 17, 341–346. [Google Scholar] [CrossRef] [PubMed]
- Stone, L.; Roberts, A. Competitive exclusion, or species aggregation? Oecologia 1992, 91, 419–424. [Google Scholar] [CrossRef] [PubMed]
- Schluter, D. A variance test for detecting species associations, with some example applications. Ecology 1984, 65, 998–1005. [Google Scholar] [CrossRef]
- Condit, R. Tropical Forest Census Plots; Springer: New York, NY, USA, 1998; p. 211. [Google Scholar]
- Li, C.-F.; Zelený, D.; Chytrý, M.; Chen, M.-Y.; Chen, T.-Y.; Chiou, C.-R.; Hsia, Y.-J.; Liu, H.-Y.; Yang, S.-Z.; Yeh, C.-L. Chamaecyparis montane cloud forest in Taiwan: Ecology and vegetation classification. Ecol. Res. 2015, 30, 771–791. [Google Scholar] [CrossRef]
- Bruelheide, H.; Chytrý, M. Towards unification of national vegetation classifications: A comparison of two methods for analysis of large data sets. J. Veg. Sci. 2000, 11, 295–306. [Google Scholar] [CrossRef]
- Bruelheide, H. A new measure of fidelity and its application to defining species groups. J. Veg. Sci. 2000, 11, 167–178. [Google Scholar] [CrossRef]
- Song, Y.-C. Recognition and proposal on the vegetation classification system of China. Chin. J. Plant Ecol. 2011, 35, 882–892. [Google Scholar] [CrossRef]
- Jennings, M.D.; Faber-Langendoen, D.; Loucks, O.L.; Peet, R.K.; Roberts, D. Standards for associations and alliances of the US National Vegetation Classification. Ecol. Monogr. 2009, 79, 173–199. [Google Scholar] [CrossRef]
- Mucina, L. Classification of vegetation: Past, present and future. J. Veg. Sci. 1997, 8, 751–760. [Google Scholar] [CrossRef]
- Weber, H.E.; Moravec, J.; Theurillat, J.P. International code of phytosociological nomenclature. J. Veg. Sci. 2000, 11, 739–768. [Google Scholar] [CrossRef]
- Rodwell, J.S. The UK National Vegetation Classification. Phytocoenologia 2018, 48, 133–140. [Google Scholar] [CrossRef]
- Song, Y.-C.; Xu, G.-S. A scheme of vegetation classification of Taiwan, China. Acta Bot. Sin. 2003, 45, 883–895. [Google Scholar]
- Li, C.F.; Chytrý, M.; Zelený, D.; Chen, M.Y.; Chen, T.Y.; Chiou, C.R.; Hsia, Y.J.; Liu, H.Y.; Yang, S.Z.; Yeh, C.L. Classification of Taiwan forest vegetation. Appl. Veg. Sci. 2013, 16, 698–719. [Google Scholar] [CrossRef]
- Mucina, L.; Bültmann, H.; Dierßen, K.; Theurillat, J.P.; Raus, T.; Čarni, A.; Šumberová, K.; Willner, W.; Dengler, J.; García, R.G. Vegetation of Europe: Hierarchical floristic classification system of vascular plant, bryophyte, lichen, and algal communities. Appl. Veg. Sci. 2016, 19, 3–264. [Google Scholar] [CrossRef]
- Hsieh, T.-Y.; Hatch, K.A.; Chang, Y.-M. Phlegmariurus changii (Huperziaceae), a new hanging firmoss from Taiwan. Am. Fern J. 2012, 102, 283–288. [Google Scholar] [CrossRef]
- Turland, N.J.; Wiersema, J.H.; Barrie, F.R.; Greuter, W.; Hawksworth, D.L.; Herendeen, P.S.; Knapp, S.; Kusber, W.-H.; Li, D.-Z.; Marhold, K.; et al. International Code of Nomenclature for Algae, Fungi, and Plants (Shenzhen Code) Adopted by the Nineteenth International Botanical Congress Shenzhen, China, July 2017; Koeltz Botanical Books: Glashütten, Germany, 2018. [Google Scholar]
- Hsieh, T.-Y.; Hsu, T.-C.; Kono, Y.; Ku, S.-M.; Peng, C.-I. Gentiana bambuseti (Gentianaceae), a new species from Taiwan. Bot. Stud. 2007, 48, 349–355. [Google Scholar]
- Balpinar, N.; Kavgaci, A.; Bingöl, M.Ü.; Ketenoğlu, O. Diversity and gradients of vegetation of Sivrihisar Mountains (Eskişehir-Turkey). Acta Bot. Croat. 2018, 77, 18–27. [Google Scholar] [CrossRef]
- Peng, C.-I.; Hsieh, T.-Y.; Ngyuen, Q.H. Begonia kui (sect. Coelocentrum, Begoniaceae), a new species from Vietnam. Bot. Stud. 2007, 48, 127–132. [Google Scholar]
- Chen, J.-H.; Hsieh, T.-Y.; Chen, W.-Z.; Chen, C.-H.; Chang, Y.-M. A new species of the cicada genus Euterpnosia (Hemiptera: Cicadidae) from Taiwan, with morphometric approaches. Formos. Entomol. 2021, 41, 192–207. [Google Scholar]
- Hsieh, T.-Y. Taxonomy and distribution of indigenous Actinidia in Taiwan. Ph.D. Thesis, National Chung-Hsing University, Taichung, Taiwan, 2011. [Google Scholar]








| Indices | Values |
|---|---|
| number of syntaxa | 6 |
| number of taxa | 108 |
| connectance | 0.54 |
| number of compartments | 1 |
| web asymmetry | 0.89 |
| extinction slopes of taxon | 77.41 |
| extinction slopes of syntaxon | 3.52 |
| C-Score of taxon | 0.38 |
| C-Score of syntaxon | 0.2 |
| V-Ratio of taxon | 2.14 |
| V-Ratio of syntaxon | 10.39 |
| togetherness of taxa | 0.17 |
| togetherness of syntaxa | 0.35 |
| mean number of shared syntaxon per taxon | 1.85 |
| mean number of shared taxa per syntaxon | 37.27 |
| robustness of taxa | 0.99 |
| robustness of syntaxa | 0.76 |
| Syntaxon | A | B | C | D | E | F | |||||||
|---|---|---|---|---|---|---|---|---|---|---|---|---|---|
| Species | sc | cv | sc | cv | sc | cv | sc | cv | sc | cv | sc | cv | |
| 1 | GORDAX | 0.16 | ILEXGO | 1.03 | MELISQ | 0.23 | PSYCRU | 0.51 | HELIFO | 0.97 | CINNSU | 0.55 | |
| 2 | ILEXLO | 0.16 | SYZYBU | 1.02 | ENGERO | 0.18 | SCHEOC | 0.48 | STYRSU | 0.69 | ORMOFO | 0.54 | |
| 3 | MELACA | 0.15 | RANDCO | 1.02 | BLASCO | 0.18 | LITSAC | 0.43 | BLASCO | 0.22 | FICUFI | 0.15 | |
| 4 | SCHISU | 0.15 | EUONLA | 0.57 | HELIRE | 0.18 | MICHCO | 0.26 | BEILER | 0.13 | SAURTR | 0.15 | |
| 5 | ILEXMI | 0.06 | RHAPIN | 0.23 | TRICDU | 0.17 | HELICO | 0.25 | CLERCY | 0.12 | ARDIQU | 0.13 | |
| Syntaxon | A | B | C | D | E | F |
|---|---|---|---|---|---|---|
| A | 0.52 | 0.24 | 0.09 | 0.09 | 0.05 | 0.01 |
| B | 0.06 | 0.54 | 0.12 | 0.17 | 0.09 | 0.02 |
| C | 0.05 | 0.31 | 0.19 | 0.2 | 0.18 | 0.06 |
| D | 0.03 | 0.25 | 0.11 | 0.36 | 0.19 | 0.05 |
| E | 0.02 | 0.17 | 0.13 | 0.22 | 0.34 | 0.12 |
| F | 0.02 | 0.09 | 0.1 | 0.15 | 0.28 | 0.36 |
| Type Releve’ | ARDIQU | BLASCO | CINNSU | CRYPCH | DIOSMO | EUONLA | FICUFI | GORDAX | HELIFO | HELIRE | ILEXLO | ILEXGO | MALLPA | MELACA | MELISQ | ORMOFO | PSYCRU | RANDCO | SAURTR | SCHEOC | SYZYBU | TRICDU | Syntaxon Code |
|---|---|---|---|---|---|---|---|---|---|---|---|---|---|---|---|---|---|---|---|---|---|---|---|
| x15y20 | 3 | 0 | 2 | 1 | 1 | 10 | 0 | 57 | 0 | 1 | 6 | 0 | 0 | 7 | 0 | 3 | 0 | 4 | 0 | 1 | 3 | 2 | A |
| x15y5 | 31 | 0 | 7 | 0 | 20 | 62 | 0 | 8 | 0 | 30 | 0 | 25 | 21 | 3 | 0 | 3 | 2 | 318 | 0 | 2 | 52 | 33 | B |
| x20y20 | 13 | 30 | 6 | 6 | 21 | 12 | 0 | 3 | 0 | 3 | 0 | 0 | 1 | 0 | 1 | 9 | 1 | 21 | 0 | 12 | 2 | 4 | C |
| x5y10 | 49 | 14 | 21 | 14 | 9 | 0 | 0 | 0 | 3 | 0 | 0 | 0 | 3 | 0 | 0 | 9 | 18 | 33 | 0 | 24 | 2 | 61 | D |
| x10y0 | 17 | 121 | 6 | 16 | 10 | 0 | 0 | 0 | 28 | 0 | 0 | 0 | 2 | 0 | 0 | 1 | 8 | 4 | 0 | 28 | 0 | 10 | E |
| x5y20 | 2 | 25 | 0 | 7 | 2 | 0 | 6 | 0 | 10 | 0 | 0 | 0 | 3 | 0 | 0 | 0 | 1 | 0 | 1 | 4 | 0 | 0 | F |
Disclaimer/Publisher’s Note: The statements, opinions and data contained in all publications are solely those of the individual author(s) and contributor(s) and not of MDPI and/or the editor(s). MDPI and/or the editor(s) disclaim responsibility for any injury to people or property resulting from any ideas, methods, instructions or products referred to in the content. |
© 2023 by the authors. Licensee MDPI, Basel, Switzerland. This article is an open access article distributed under the terms and conditions of the Creative Commons Attribution (CC BY) license (https://creativecommons.org/licenses/by/4.0/).
Share and Cite
Hsieh, T.-Y.; Yang, C.-J.; Li, F.; Chiou, C.-R. Numerical Ecology and Social Network Analysis of the Forest Community in the Lienhuachih Area of Taiwan. Diversity 2023, 15, 60. https://doi.org/10.3390/d15010060
Hsieh T-Y, Yang C-J, Li F, Chiou C-R. Numerical Ecology and Social Network Analysis of the Forest Community in the Lienhuachih Area of Taiwan. Diversity. 2023; 15(1):60. https://doi.org/10.3390/d15010060
Chicago/Turabian StyleHsieh, Tung-Yu, Chun-Jheng Yang, Feng Li, and Chyi-Rong Chiou. 2023. "Numerical Ecology and Social Network Analysis of the Forest Community in the Lienhuachih Area of Taiwan" Diversity 15, no. 1: 60. https://doi.org/10.3390/d15010060
APA StyleHsieh, T.-Y., Yang, C.-J., Li, F., & Chiou, C.-R. (2023). Numerical Ecology and Social Network Analysis of the Forest Community in the Lienhuachih Area of Taiwan. Diversity, 15(1), 60. https://doi.org/10.3390/d15010060

