Next Article in Journal
Topographical Based Significance of Sap-Sucking Heteropteran in European Wheat Cultivations: A Systematic Review
Previous Article in Journal
Drivers and Effects of Cryptic Invasion of Cornus sanguinea subsp. australis in Lithuania
 
 
Font Type:
Arial Georgia Verdana
Font Size:
Aa Aa Aa
Line Spacing:
Column Width:
Background:
Article

About Commensurability of Diversity within and among Communities

by
Hans-Rolf Gregorius
1,2,* and
Elizabeth M. Gillet
1,2
1
Institut für Forstgenetik und Forstpflanzenzüchtung, Fakultät für Forstwissenschaften und Waldökologie, Universität Göttingen, Büsgenweg 2, 37077 Göttingen, Germany
2
Institut für Ökologische und Populationsgenetik, Am Pfingstanger 58, 37075 Göttingen, Germany
*
Author to whom correspondence should be addressed.
Diversity 2023, 15(1), 108; https://doi.org/10.3390/d15010108
Submission received: 22 October 2022 / Revised: 7 January 2023 / Accepted: 9 January 2023 / Published: 12 January 2023

Abstract

(1) Background: Is variation among the communities of a metacommunity higher than within the communities? Community ecologists and population geneticists often characterize the structure of metacommunities by partitioning variation (diversity) into the two following components using measures such as F S T or G S T and α - and β -diversity. The within-communities component is usually some average of (type, species, genetic) diversities within the communities, and the among-communities component is the additive or multiplicative complement of the overall diversity. Such an among-communities component lacks independent conceptual specification, a matter of long-standing dispute. Only if the two components are independently and commensurably specified can the central question of comparability be answered meaningfully. (2) Methods: A novel approach to overcoming this conceptual weakness identifies two principles of the partitioning of variation among communities (concentration and division) then relates these principles to the common notions of variation (diversity) within and among communities, distinguishes primary indicators to quantify the partitioning principles, transforms the indicators into conceptually independent measures (indices) of variation within and among communities, and by this attains their commensurability and thus comparability. The application of the methods to quantifying the effects of evolutionary mechanisms is outlined. (3) Results: Common approaches are corrected and extended. (a) Analyses of metacommunity/metapopulation structures that rely on apportionment or related indices and take its complement to be differentiation yield incomparable measures of variation within and among communities. (b) The common practice of partitioning the total diversity into additive or multiplicative components produces the inconsistent ranking of the two components. (c) Community concentration and division can result from elementary processes of adaptive differentiation and migration (gene flow) among communities, where the (commensurable) amounts of community concentration and division reflect the relative participation of these processes in metacommunity structuring and translate directly into the measures of diversity within and among communities. (d) The modelling of the contributions of the two partitioning principles to the metacommunity structure is restricted by the marginal distributions of types and community affiliation. (e) The model demonstrates the degree to which adaptational processes at the metacommunity level are mixtures of adaptational events within and among communities.

1. Introduction

When trying to quantify the degree of structure that results from partitioning a metacommunity into its constituent communities, one of the foremost questions is how much of the total variation is divided between that allocated to the variation within the communities and how much to variation between (or among) the communities. A comparison of these two amounts helps answer quite a number of elementary ecological and evolutionary questions. Among these is how to infer the degree of connectedness or isolation of communities from the distribution of types in the entire metapopulation for an appropriate trait. Other relevant examples are adaptational differentiation, gene flow or migration, and separation of races or speciation and the like (not to mention the continuing debate on the existence of human races, starting with the influential paper of Lewontin [1]). In fact, the dichotomy of variation within and among communities largely determines the basic perception of the partitioning of the total type variation in metacommunities.
Bypassing for a moment the problem of how variation within and among communities should be quantified in a comparable (or at least commensurable) way, a more explicit understanding of the two components can be obtained by considering their extreme states. First, variation within communities is perceived to be minimal exactly when all communities are monomorphic and maximal exactly when all variation is equally represented in each of the communities. The latter complies with general assumptions, the consistency of which was derived from the plain notions of the diversity concept by [2]. It implies that maximality corresponds to the absence of differentiation of type distributions among communities, occasionally including the equality of community sizes. The transition from one extreme to the other should therefore be characterized by the gradual gain of polymorphism within the individual communities while retaining the total type distribution. Hence, there is no focus on the distributional differences among the communities, even though these could be a side effect of changing the variation within communities. Polymorphism is typically measured in terms of diversity indices.
In contrast, variation among communities is perceived to be maximal for complete differentiation (so that communities share no types) and minimal in the absence of differentiation. Note that this situation does not explicitly occur in the perception of variation within communities. However, variation among communities is minimal, and thus absent, if all variation is equally represented in each of the communities. The two perceptions are therefore identical in the assessment of their extremes, i.e., for maximum variation within and for minimum variation among communities. For the latter, the transition to the maximum should be characterized by the gradual loss of shared variants, again while retaining the total type distribution. Polymorphism within the communities is not explicitly addressed, although it is implied by the total variation.
The quantification of shared variants is conceivable in different ways, one of which makes use of the fact that reducing the number of shared variants increases the number of variants for which the communities differ. While this hints at the diversity notion via the number of variants, it has to be taken with care, since such numbers are defined within but not among communities. Hence, without quantifying the notions of diversity within and among communities in a commensurable way, any statement as to which of the two exceeds the other is without substance. Such neglect sheds doubt on the pervasive idea in community ecology that total (species) diversity ( γ ) should result as the sum (or product) of diversity within communities ( α ) and “diversity among” communities ( β ) (probably starting with Whittaker’s 1972 paper [3]). Here, the crucial component is β , as becomes blatantly obvious when considering the number of publications on the topic (indicated, e.g., in the title “A diversity of beta diversities ...” of Tuomisto [4], which by itself gave rise to further discussion).
Characteristically, with reference to the total trait variation, the quantifiers of the notions of variation within and among communities are considered to be complementary either in additive or multiplicative form. However, while the component α refers to some kind of average type (species) diversity within communities, the among-communities component β is frequently considered an “effective number of distinct communities” (see, e.g., [5]). Defined in this way, the two components are apparently incommensurable, since α > β allows for no conclusion in the sense that type diversity within exceeds type diversity among communities. The reason is that β refers to an effective number of communities (rather than types), while α refers to an effective number of types.
In population genetics, the same kind of problem has an even longer tradition and is closely connected with the interpretations of the indices F S T and G S T in terms of genetic differentiation among populations (for an early summary, see the 1978 text book of Wright [6] entitled “Variability within and among Natural Populations”, or Nei’s 1973 paper [7]). In these approaches, the probabilities of sampling identical alleles within and among populations provide the tools for constructing indices which claim to but do not explicitly quantify amounts of differentiation (compare [7] with the statement on p. 82 of [6], or more recently the 2008 paper by Jost [8]). These could rather be addressed as measures of polymorphism within communities, with differentiation aspects as side effects [9]. Modifications of the measures so as to include differentiation aspects such as Hedrick’s G S T [10] remain indeterminate in that they do not clearly distinguish between fixation (monomorphism or absence of polymorphism) and differentiation features [9]. Such distinction, however, is indispensable for comparisons of variation within and among communities.
These observations motivate the question of whether existing indices of diversity within and among communities, or suitable conceptual extensions of these, realize commensurability between the notions of diversity within and among communities and, if so, whether they imply complementarity.
To answer this question, a different approach to the partitioning problem will be taken by briefly recalling the basic principles of partitioning total type variation among communities and relating these principles to the concept of decomposing total variation into components of variation within and among communities that was sketched above. Unlike common approaches, we will treat the two components as independent notions and measure their degrees of presence and absence in the above-explained sense. By this, the commensurability between the components that is required for their comparative assessment is realized. The results will be compared with those obtainable from the application of established methods.
In view of the manifold facets of the partitioning perspective, the term community is understood to address variable kinds of collections of objects that are connected by common properties (e.g., individuals residing at certain locations or under environmental conditions, forming reproductive units such as populations, serving specified functions within defined ranges thereof, being members of particular systematic categories). Metacommunities can then be conceived as collections of collections that are connected at any higher level of commonness. Accordingly, terms such as variation, diversity, partitioning of variation, differentiation, apportionment, etc. are used in a general though operable context. By this, it is intended to arrive at concepts and conclusions of broad applicability to the present topic.
The approach follows a sequence of conceptual steps, starting with identifying principles of partitioning of variation, then relating these principles to common notions of variation (diversity) within and among communities, distinguishing primary indicators of the partitioning principles in terms of suitable quantifiers, transforming the indicators into normalized and conceptually independent measures (indices) of variation within and among communities, and by this, obtaining commensurability and thus comparability between the two components of variation within and among communities.

2. Materials and Methods

2.1. Partitioning Principles

Among the numerous ways in which trait-community relationships can be characterized, there are a few features of general conceptional significance in the assessment of metacommunity structure. One feature is the consistency of relationships in the sense that individuals of the same type are predominantly found in the same community rather than being distributed more or less randomly (or evenly) among communities. Another feature is the consistency of relationships in the sense that individuals of different types predominantly occur in different communities. Speaking of “predominantly” implies that the relationships need not be strictly realized but rather point in the respective direction, and that both could be realized simultaneously and to different degrees.
More concretely, proceed from an undifferentiated metacommunity, where the distribution of types is the same in all communities, and consider frequency changes that leave the overall type distribution and the community sizes (the marginal distributions) unaltered. The assumption of unaltered marginal distributions is crucial, since they define both the absence and presence of differentiation. As a consequence, individuals of some types are no longer evenly distributed over all communities but rather tend to be concentrated in a particular community. In the same manner, individuals of different type that were formerly in the same community may tend to be divided among different communities.
The implied tendencies can be carried further by swapping individuals among communities, such that individuals of one type are brought together (concentrated) in a particular community, while individuals of other types are moved away from this community to fill the gaps in the communities from which the individuals of the one type were taken. The latter step creates additional differences in type composition between the particular community and the other communities. In this way, the marginal distributions are maintained, and division effects are produced as a complementary side effect of concentration. Varying type–community relations without modifying the marginal distributions while considering the implied tendencies is essential to the present approach, which is explicitly modeled in Section 3.2.
Apparently, these relationships can just as well be considered from the opposite though less familiar perspective, where type is a matter of community affiliation, so that belonging to a particular community requires that an individual be of a particular type. To realize this situation, the members of one community that are not of a particular type are to be removed to other communities, while the gaps thus created are filled with individuals of the particular type that occur in these other communities. The swapping of individuals now implies the concentration of community members to a single type while creating, as a complementary side effect, differences between types for community affiliation.
The above demonstrations can be summarized into the two following principles by which trait-community relationships or associations can be thought to be organized, so as to reveal the basic characteristics of metacommunity structure (adapted from [11]):
 Concentration: 
There is a tendency for individuals that hold the same trait state to reside in the same community (trait concentration). Alternatively, individuals belonging to the same community could tend to be of the same type (community concentration).
 Division: 
There is a tendency for individuals that hold different trait states to occur in different communities (trait division). Alternatively, individuals belonging to different communities could tend to differ in type (community division).
The term “tendency” is used here in the sense of any (potential) change of general state characteristics in a specified direction. Thus, trait concentration, for example, takes place via the reduction in dispersion of a type over communities, i.e., individuals of the same type that were previously dispersed over several communities tend to gather in the same community. Similarly, trait division takes place via separating individuals of different types from one another, i.e., individuals of different type previously residing in the same community move to different communities.
The corresponding alternatives of community concentration and community division read analogously. The former leads to a reduction in type variability within communities, and the latter implies that the individuals of the same type previously residing in different communities tend to aggregate in the same community (for a provisional characterization of ecological conditions and evolutionary forces relating to community concentration and division, see Table 1). Obviously, trait concentration and community division have similar consequences, as do community concentration and trait division (the general conceptual relationship between the partitioning principles and their structural significance is detailed for the interested reader in the next section).
To assess the magnitude of a tendency, one at least requires a clear definition of its absence as well as of its maximum realization. The tendency for community division obviously reaches its maximum when all individuals of the same type reside in the same community, so that the communities are completely differentiated for their type compositions. The absence of any division tendency is realized if the same types are equally represented in every community, implying that communities are not differentiated for their type distributions. This obviously mirrors the perception of variation among communities in that with continuing division, the overall type variation is increasingly split between different communities. Measures of this tendency could then be expected to serve the quantification of variation among communities.
The tendency for community concentration reaches its maximum if, within each community, all individuals are of the same type, so that all communities are monomorphic. This includes cases where some communities are monomorphic for the same type and others are completely differentiated. At the other extreme, the complete absence of concentration tendencies implies that community affiliation is not associated with type, so that again, communities are not differentiated for their type distributions. Increasing community concentration tendencies thus imply the loss of type polymorphism and by this accords with the perception of variation or diversity within communities. Indeed, the stronger the concentration tendency, the smaller the representation of the overall type variation within communities is. Appropriate measures of the concentration tendencies could then be expected to be inversely related to amounts of variation within communities.
As a consequence, the notions of variation within and among communities can be independently specified by reference to community concentration and community division tendencies, respectively.
This independence seems to conflict with the widely held idea that variation within and among communities should be complementary with respect to the total variation. This idea underlies the classical analysis of variance (ANOVA), which for diversity analysis corresponds to additive decomposition. A multiplicative decomposition of diversity was derived by Jost [5] from the premise that diversities are represented as effective numbers, with the independent specification of the within- and between-components. However, the complementarity view in these two examples rests on particular measures of variation and postulates rather than conceptualizes the notion of variation among communities. In contrast, the above deliberations demonstrate without reference to particular measures of variation that both components of variation, within and among, can be conceptualized separately, so that the complementarity postulation can be analyzed for its adequacy. In a general context,
complementarity between two real variables can be conceived to exist if a change in one variable implies a change in the opposite direction of the other variable.
There are obviously many kinds of mathematical relations besides constancy in the sum or product of two variables, that realize this condition. (Note: One of the consequences of strict complementarity between two real variables is that if the two variables are equal at one point in the region of definition, then the two variables retain this same value for all points at which they are equal. Otherwise, a contradiction would result from the definition of complementarity, since changes in one variable within the region would imply a change in the opposite direction of the other variable and thus result in inequality between the variables.)
The dual version of the two community-oriented tendencies of concentration and division, where the community-orientation is replaced by the trait-orientation, simply results from exchanging the roles of community affiliation and trait. As indicated above, it is interesting to note that there is a cross-relationship between the orientations. Thus, the tendencies of individuals from the same community to be of the same type (community-orientation of concentration) entails the tendency for individuals of different type to reside in different communities (trait-orientation of division). Analogously, the trait-orientation of concentration entails the community-orientation of division. The interested reader will find a more comprehensive exposition focusing on the structural significance of the tendencies in the next section.
The opposite implication of the two tendencies, however, has unreasonable consequences. In the case of trait-oriented division, the opposite implication of the tendency “different types in different communities” would be the tendency “different types in the same community.” In the case of trait-oriented concentration, the opposite implication of the tendency “same type in the same community” would be “same type in different communities”. Both situations lead to confusing observations for their extremes, with reduction to a single community in the first case and the uniqueness of all members of a community for the trait in the second case. This reinforces the requirement indicated above that indices for assessment of the tendencies must have lower bounds that express the absence of the tendency.

2.2. A Structural View of Partitioning: Inverse Equivalence of the Two Partitioning Principles

In essence, structure is any deviation from uniformity. One is thus concerned with a set of objects and a characterization of the objects by a trait, the states of which may vary among the objects. The uniformity of the set is realized if the trait states do not vary among the objects. The presence of variability therefore indicates the existence of structure for the trait, even if only two objects differ in their trait states. There are, of course, many kinds of structure, but all of them realize the above property of non-uniformity. At the other extreme, if all objects differ in their trait states, the structure could be considered to be maximal.
The idea of partitioning variation fits into this basic concept by considering two traits (or variables) for all members of a collection, with the focus on one of the variables as defining by its states a subdivision of the collection (the partitioning variable) and the other specifying variability for the total collection within as well as among the subdivisions. The specification of variability, in turn, requires a frequency distribution over all combinations of values of the two variables (joint distribution). The states of the partitioning variable (the subdivisions) adopt the role of objects which are characterized by the distribution of the other variable within each of the subdivisions. Differences between objects then arise by differences between their associated distributions, so that the partitioning shows no structure (it is uniform) if the distributions are the same among all subdivisions. Distributions can be specified in terms of relative or absolute representations of types (states of the second variable). In the case of absolute representations, differences in the sizes of the subdivisions alone suffice to ascertain the structure for the partitioning.
Metacommunity structure can be conceived from this perspective by considering the community affiliation of individuals as the partitioning variable and characterizing variability among individuals by some other trait of interest. The absence of metacommunity structure is then by definition realized if there are no differences in the trait distribution among communities. Herewith, trait distribution can be specified in terms of relative or absolute frequencies. In the latter case, uniformity and thus the absence of metacommunity structure implies equality of community sizes in addition to equality in relative trait distributions among communities.
Deviations from this state of uniformity necessarily imply that individuals of some types are not evenly distributed over all communities but rather show tendencies to occur preferably in a particular community. This corresponds to the concentration principle for types, for which, as it approaches fullness, all individuals of the same type occur in the same community. Then, communities share no types and are therefore completely differentiated. From a dispersion perspective, an increasing concentration implies that ever fewer individuals of the same type occur in different communities. Uniformity can then also be viewed as the complete dispersion of all types over all communities, and complete differentiation would correspond to the complete absence of dispersion.
Reversing the direction of view by considering types to be the partitioning variable, by analogy, the types are the objects, and each such object is characterized by the distribution of the community membership of the associated individuals. The uniformity of the objects and thus the absence of metacommunity structure is then realized if all objects (types) show the same distribution of community membership. Hence, the presence of structure now shows that members of the same community tend to be of the same type, which corresponds to the concentration principle applied to communities. At the extreme, types are completely differentiated for the community membership of their carriers.
Metacommunity structure can therefore be looked at from two perspectives, one focusing on non-uniformity of communities in their type distributions, and the other focusing on the non-uniformity of types for the distribution of their community affiliations. The non-uniformity of a variable increases with the differences in its states as measured by the distributions of the other variable. The extreme is thus characterized by complete differentiation under both perspectives. Consequently, the presence of metacommunity structure can be stated for the realization of a single principle viewed from opposite directions. This principle focuses on the concentration feature in stating that similarity in one variable implies a tendency towards similarity in the other.
The fact that uniformity under one perspective implies uniformity under the other (as is easily verified) poses the question as to how this symmetry continues for non-uniformity. In other words, the question is how tendencies considered from one perspective translate into the other. Suppose that trait concentration is fully realized in a metacommunity, and consider individuals that differ in their community affiliations. If the latter would imply that the individuals would tend to be of the same type, then this would contradict the trait concentration features, since the identical trait state implies a tendency to occur in the same community. Hence, the trait concentration implies community division, in that difference in community affiliation entails a tendency to differ in type. By the same reasoning in reverse, the community concentration implies trait division. In other words, the concentration and division tendencies are inversely equivalent.
In conclusion, the metacommunity structure has two opposing perspectives, both of which follow the same principle of assessment.

2.3. Two Methods of Quantifying the Effects of the Partitioning Principles

There are two methods to quantify the tendencies used in specification of the two principles of concentration and division. One method assesses tendencies via the reflection of the two partitioning principles in the frequencies of pairs of individuals. For the concentration tendency, the primary indicators are the frequencies of pairs of individuals that are identical in type and in community affiliation. Analogously, the primary indicators of the division tendency are the frequencies of pairs of individuals that differ in both type and community affiliation. Since the primary indicators of this concept of tendencies are binary relations, this method will be referred to as “relation-based”. It is probably among the most intuitively obvious and most frequently applied.
The second method, which will be termed “diversity-based”, quantifies tendencies by their effects on the numbers of relevant type–community combinations realized among the members of a metacommunity. In the case of the community concentration tendency, the obvious implication is that with increasing tendency, ever more members of the same community will be of the same type, so that the number of types per community necessarily decreases. The primary indicators for this concentration tendency are the effective numbers of types per community, which are directly associated with the notion of “diversity within communities”.
Community division tendencies are more challenging to characterize in terms of the numbers of type–community combinations, since individuals with different community affiliations are to be associated with different types. Such comparisons do not immediately connect to the specification of numbers of combinations that are required from the diversity perspective.
To realize how this connection can be established, recall that the number of different combinations effectively decreases when individuals of the same type that previously resided in different communities are transferred to the same community (as implied by community division tendencies). As such, the spread of a type over several communities is reduced, and the differences in type distribution among communities—and thus the tendency of community division—is increased. Since such transfers do not affect the overall distribution of types, one arrives at the central observation that
for retained overall type distribution, the continuation of community division tendencies decreases the effective number of type–community combinations and by this increases the differentiation among communities.
Observing the frequencies of the various type–community combinations, their “effective” number is specified by the same measures of diversity that are used to specify the effective numbers of types or communities. This establishes commensurability between the levels of variation. To distinguish the combinations of the two characteristics type and community in the assessment of diversity, the term “joint diversity” was suggested. The above demonstrations can then be reworded by stating that, with increasing tendency of community division, the joint diversity decreases relative to the type diversity. Community division and thus differentiation are complete if the joint diversity equals the type diversity. Under the diversity-based method, the primary indicator of community division tendencies is thus specified by the relation between the joint diversity and the type diversity. This observation confirms that the notion of “diversity among communities” can be specified in terms of proper measures of diversity. It thus resolves the problem of establishing commensurability between “diversity among communities” and “diversity within communities”.
Indices that quantify such tendencies usually have values between zero and 1, where the lower bound indicates the complete absence of the tendency and the upper bound is only reached for their full realization. Intermediate index values are required to reflect the direction determined by the primary indicator of the respective tendency. Special attention must be given to the fact that although the primary indicators clearly define the states of the full realization of the tendency, they usually provide no a priori information on the absence of the tendency. The primary indicator of an index of community division, for example, must show when differentiation is absent. A primary indicator that does not assume a unique extremal value in the absence of differentiation would therefore not yield a consistent index of the tendency of community division, unless additional specifications are made.
It will be shown in the following that both the relation-based and the diversity-based methods of quantifying the tendencies of the concentration and division principles illuminate the intrinsic differences between most of the common indices of apportionment and differentiation, as indices of partitioning variation are usually called. Based on these two methods, new indices will be proposed and established indices revisited that directly correspond to the difference between the two tendencies of division and concentration, allowing the consistent ranking of the amounts of variation within and among communities.
Conceptually, apportionment and differentiation are concerned with the distribution of type variation over communities, and this relates to tendencies of community concentration and community division rather than their reverse versions of trait concentration and division. Only the community-orientation will be considered in the sequel if not stated otherwise.
In order to study the problem of complementarity of the two tendencies, i.e., whether they have opposite effects on diversity within and among communities, it is indispensable to compare metacommunities that have the same marginal distributions. Established approaches seem to largely disregard the restriction that complementarity cannot be specified without reference to the marginal distributions, and it is indeed a challenging task to detail the characteristics of joint type–community distributions that are permissible under this restriction. In Section 3.2, a model of such distributions is presented that explicitly considers the tendencies of the concentration and division and their mixtures for arbitrary but fixed marginal distributions.

2.3.1. Relation-Based Method of Quantifying the Partitioning Principles

The above explanations suggest that the primary indicators of concentration and division tendencies for communities are quantifiable by the probability of sampling two individuals from the same community that are identical in type (concentration) and the probability of sampling two individuals from different communities that differ in type (division). These probabilities will be denoted by P M 2 ( T 1 = T 2 ) and P M 3 ( T 1 T 2 ) , respectively. The absence of any tendency and thus the absence of differentiation can be characterized by considering the probability P M 1 ( T 1 T 2 ) of sampling two individuals from the total metacommunity that differ in type, and regarding that P M 1 ( T 1 T 2 ) P M 2 ( T 1 T 2 ) holds, with equality only in the absence of differentiation (Note: Specification of the sampling probabilities: p i : = frequency of the i-th type, w j : = frequency of the j-th community, p i ( j ) : = frequency of the i-th type in the j-th community, p ¯ i ( j ) : = frequency of the i-th type in the complement of the j-th community. P M 1 ( T 1 T 2 ) = 1 i p i 2 , P M 2 ( T 1 T 2 ) = 1 j w j · i p i ( j ) 2 , P M 3 ( T 1 T 2 ) = 1 j w j · i p i ( j ) · p ¯ i ( j ) .)
One then arrives at the two following indices with values between zero and one, where a value of zero indicates the absence of differentiation for both indices, and a value of one indicates complete concentration for one index and complete division for the other index [12]. To maintain the established terminology, the former index is referred to as an index of apportionment (in the sense applied, e.g., in [1,13]) and the latter as an index of differentiation:
Apportionment (degree of community concentration) G S T = P M 1 ( T 1 T 2 ) P M 2 ( T 1 T 2 ) P M 1 ( T 1 T 2 ) = P M 2 ( T 1 = T 2 ) P M 1 ( T 1 = T 2 ) 1 P M 1 ( T 1 = T 2 )
and
Differentiation (degree of community division) D S T = P M 1 ( T 1 T 2 ) P M 2 ( T 1 T 2 ) P M 1 ( T 1 T 2 ) P M 2 ( T 1 T 2 ) + 1 P M 3 ( T 1 T 2 ) = P M 2 ( T 1 = T 2 ) P M 1 ( T 1 = T 2 ) P M 2 ( T 1 = T 2 ) P M 1 ( T 1 = T 2 ) + P M 3 ( T 1 = T 2 )
Here, M 1 stands for sampling within the total metacommunity, M 2 for sampling within individual communities, and M 3 for sampling within an individual community and its respective metacommunity remainder. The normalizations of the two indices ensure that they obey the aforementioned bounds together with their semantic specifications. By the above explanations, P M 2 ( T 1 = T 2 ) (which equals 1 P M 2 ( T 1 T 2 ) ) and P M 3 ( T 1 T 2 ) are now the primary indicators of concentration and division, respectively. One thus concludes that G S T increases with the primary indicator P M 2 ( T 1 = T 2 ) of concentration and D S T increases with the primary indicator P M 3 ( T 1 T 2 ) of division.
The primary indicator of concentration ranges between its minimum of P M 1 ( T 1 = T 2 ) in the absence of differentiation and its maximum of 1 for monomorphism within communities. In accordance with common practice, G S T thus equals the primary indicator normalized by this minimum–maximum interval, i.e., P M 2 ( T 1 = T 2 ) P M 1 ( T 1 = T 2 ) / 1 P M 1 ( T 1 = T 2 ) .
The minimum–maximum normalization does not work with the indicator of division, however, since P M 3 ( T 1 T 2 ) indeed equals 1 for complete differentiation and P M 1 ( T 1 T 2 ) holds in the absence of differentiation. However, P M 3 ( T 1 T 2 ) and P M 1 ( T 1 T 2 ) are not consistently ranked in the sense that P M 3 ( T 1 T 2 ) P M 1 ( T 1 T 2 ) does not generally hold. This situation is taken into account for D S T by introducing a quantity that modifies the effect of P M 3 ( T 1 T 2 ) so as to include the absence of differentiation. The quantity is the primary indicator P M 1 ( T 1 T 2 ) P M 2 ( T 1 T 2 ) of concentration.
Even though D S T thus combines the effects of two primary indicators, division and concentration, the index unambiguously prioritizes the division component as explained above. Admittedly, D S T increases when the concentration indicator increases. However, for fixed total type variation, increasing concentration cannot be realized without removing types from one community and adding them to others, i.e., without creating differences among communities. It is thus inappropriate to consider changes in one component and assume that the others are unaffected by the changes. One component can thus affect the other in possibly different directions, and the index D S T can be viewed to summarize the overall differentiation effect. This does not apply to the apportionment index G S T , which is completely focused on the one primary indicator of concentration.
This granted, from the point of view of the partitioning principles, the apportionment index G S T and the differentiation index D S T could be more explicitly addressed as indices of concentration and division, respectively. Conversely, since for given overall type distribution, the minimum and maximum type variation within communities is reached for G S T = 1 and G S T = 0 , respectively, 1 G S T can be addressed as a measure of variation within communities. Maximum variation within communities ( 1 G S T = 1 ) then occurs together with minimum variation among communities ( D S T = 0 ). Minimum variation within communities, however, need not imply maximum variation among communities, since several of the monomorphic communities may be identical in type. This is a first indication that complementarity relationships between the variation within and among communities are not trivial.
Corresponding established indices: Population geneticists will immediately identify G S T by notation and definition as one of the most popular and long-established indices of (meta)population structure. D S T , however, is not to be confused with the index of same notation used in [7], which does not measure differentiation. Community ecologists, in turn, might recognize the relation to problems of partitioning species diversity by noting the resemblance of P M 1 ( T 1 T 2 ) to γ - and of P M 2 ( T 1 T 2 ) to α -diversity. β -diversity would then be implied in its additive version by P M 1 ( T 1 T 2 ) P M 2 ( T 1 T 2 ) , so that the relation to G S T becomes β = γ α = γ · G S T . While this relationship makes sense and mirrors the common representation of G S T as 1 α / γ (see, e.g., [14], p. 66; also called “proportional species turnover”), the multiplicative version of β , i.e., α · β = γ , would lead to the relation β = 1 / ( 1 G S T ) , which, however, is meaningless. This becomes obvious by letting communities tend towards monomorphism. In this case, G S T tends to 1 so that β would increase indefinitely and by exceeding the realized number of communities would completely lose its interpretation as an “effective number of distinct communities”.
Since P M 3 ( T 1 T 2 ) has no counterpart in the ecological α - β - γ setting, D S T does not lend itself to an appropriate ecological interpretation. In other words, the α - β - γ approach to the partitioning of type variation in metacommunities cannot explicitly address aspects of differentiation (also see, e.g., [15,16,17]). ≫
Other approaches: The above demonstrations should not be confused with an approach taken by Witherspoon et al. [18], which also rests on the counting pairs of individuals that differ to various degrees within and among populations. In comparing the numbers of pairs among populations and within populations, the authors arrive at a measure ω defined as the probability of sampling individuals from different populations that are more similar than individuals sampled independently from the same population. To see the difference in approach, consider the present situation of a discrete trait together with its discrete metric ( = 0 for individuals of the same type and otherwise = 1 ).
Using the above notation, one obtains ω = P M 3 ( T 1 = T 2 ) · P M 2 ( T 1 T 2 ) . It follows immediately that ω = 0 if either all populations are monomorphic ( P M 2 ( T 1 T 2 ) = 0 ) or all populations are completely differentiated ( P M 3 ( T 1 = T 2 ) = 0 ). No distinction is thus made between these two extreme structural states. Similarly, in the absence of differentiation, P M 3 ( T 1 = T 2 ) = P M 1 ( T 1 = T 2 ) and P M 2 ( T 1 T 2 ) = P M 1 ( T 1 T 2 ) = 1 P M 1 ( T 1 = T 2 ) hold, so that ω varies between 0 and 0.5 depending on the overall polymorphism in the metapopulation. Finally, ω = 1 cannot be realized, since it would imply that, for sampling without replacement, all members of a population would differ in type ( P M 2 ( T 1 T 2 ) = 1 ) and simultaneously, among populations, all types are identical ( P M 3 ( T 1 = T 2 ) = 1 ), which is a contradiction. Hence, the structural characteristics indicated by 0 < ω < 1 remain unclear.≫

2.3.2. Diversity-Based Methods of Quantifying the Partitioning Principles

The following demonstrations and derivations are based on the above explanation of how the partitioning tendencies translate into diversity characteristics. The relevant measures will be denoted by v T as the overall type diversity in the metacommunity, v T | C as the type diversity within communities (as some appropriate mean of type diversities within the individual communities), and v T C as the joint type–community diversity. v m i n , as designation of the smallest value that a diversity measure can realize, indicates the absence of variation (monomorphism). A superscript e, such as v T e , will be applied to indicate the effective number corresponding to the underlying diversity measure v T , i.e., the diversity effective number. Herewith, recall that, in many cases, the diversity index is itself an effective number (i.e., v e = v ), as are the Rényi-diversities which are also called Hill numbers (Note: Hill numbers [19]: i p i a 1 1 a , for 0 a 1 and exp ( i p i · ln p i ) for a = 1 .) (for more details see [16]).
Furthermore, from the above, v T C v T , with equality only for complete differentiation, suggests that v T C is primary indicator of community division tendencies in relation to v T . Any increase in division is thus reflected by a decrease in the joint diversity for the fixed total type diversity.
For both tendencies, division and concentration, the relation v T | C v T , with equality only in the absence of differentiation, is essential. Its indication of the absence of differentiation plays a particularly significant role in partitioning studies. The validity of this relation for practically all admissible diversity measures was proven by Patil and Taillie [20] and further generalized by Gregorius [2].
This fact guarantees that the average type diversity within communities reaches its maximum for the given total type diversity only in the absence of differentiation. It does not, however, imply that the average type diversity decreases with increasing differentiation. This becomes evident by noting that complete differentiation does not specify the minimum of v T | C . Instead, the difference of v T | C from v T indicates how close the diversity within communities is to its maximum for the given total type diversity. Hence, the smaller the difference, the smaller the concentration of the total type diversity to communities is. Conversely, the larger the difference, the higher is the concentration. Apart from this, v T | C on its own behalf is the primary indicator of concentration tendencies, which decreases with increasing tendency irrespective of the underlying total type diversity.
The ratio v T | C / v T itself can be conceived of as measuring how much of the total type diversity is on average represented within the communities. While this is in accordance with general perceptions, it should be realized that, because of the incommensurability of measure, it does not make any explicit statement on “how much of the total type variation is represented among communities”.
To demonstrate the connection of the above diversity-based tendency indicators to the established indices of apportionment and differentiation, recourse will be taken to the generalized representations of these indices for diversity measures, as proposed by Gregorius [9,16]. The potential for the construction of further admissible indices that differ from the established variants is demonstrated by including another probably unfamiliar index of differentiation ( I D ):
Apportionment (degree of community concentration) (3a) I A = v T v T | C v T v m i n = 1 ( v T | C / v T ) 1 ( v m i n / v T ) = 1 v T | C v m i n v T v m i n (3b) I A = I A v T | C e = ( v T e / v T | C e ) 1 v T e 1
where in I A , the index I A is specified for the effective numbers v e of the involved diversity measures v (and for which v m i n e = 1 so that I A I A since v T | C e 1 ), and
Differentiation (degree of community division) (4a) I D = v T v T | C v T C v T | C = v T v T | C ( v T v T | C ) + ( v T C v T )
I D = I D · v T C v T = 1 ( v T | C / v T ) 1 ( v T | C / v T C ) = ( v T / v T | C ) 1 ( v T / v T | C ) ( v T / v T C ) = ( v T / v T | C ) 1 ( v T / v T | C ) 1 + 1 ( v T / v T C )
I D = 1 ( v T | C / v T ) 1 ( v T | C / v T ) + 1 ( v T / v T C )
Table 2 summarizes the diversity levels and their ordering. These correspond to the structural states of monomorphism within communities ( v T | C = v m i n ), the absence of differentiation ( v T | C = v T ), and complete differentiation among communities ( v T C = v T ), respectively. The absence of concentration/apportionment as well as of division/differentiation is approached as the difference of v T | C from v T declines. The full realization of the tendencies is in turn approached for concentration as the difference of v T | C from v m i n declines, and for division as the difference of v T C from v T declines. Differences may (as in I A and I D ) or may not be specified in additive terms.
Furthermore, for a given v T , the value of v T C signals the absence of differentiation if and only if v T C = v T . The small graphic insert in Table 2 calls to attention that the range within which v T | C varies extends from monomorphism to the absence of differentiation, and that the range of v T C extends from complete differentiation to a differentiation state of maximum joint diversity that need not be generally characterized by complete absence of differentiation. Indeed, Figure 1 provides an example for Hill numbers of order 2 (Simpson’s index of diversity), where, in the absence of differentiation, the joint diversity is 2.16 and thus is slightly smaller than the maximum joint diversity of 2.27 realized in the computations.
Apportionment—Both apportionment indices directly depend on the primary indicator v T | C (respectively, v T | C e ) of concentration. Since v T | C e 1 , the inequality I A I A holds with equality only in the absence of differentiation and for monomorphism within communities (both indices applied to diversity effective numbers). For the fixed total type diversity, both indices are seen to decrease strictly with increasing diversity within communities, are zero in the absence of differentiation ( v T | C = v T , minimum concentration), and assume their maximum value of 1 for a monomorphism in all communities ( v T | C = v m i n , i.e., complete concentration). I A increases linearly with the decreasing v T | C (and thus with increasing concentration), and it can therefore be conceived of as indicating the location of v T | C between its bounds v m i n and v T , i.e., between monomorphism within communities and the absence of differentiation (see Table 2).
The difference between I A and I A lies in the representation of the primary indicator, which changes from a linear into a proportional increase with decreasing v T | C e . In more detail, the linear representation v T v T | C of the concentration indicator is converted into a proportional (convex) representation of the form ( v T e / v T | C e ) 1 . As follows immediately from Equations (3a) and (3b), the two apportionment indices result from the minimum–maximum normalization of the representation of the respective primary indicator. The choice between I A and I A therefore depends on whether the problem at hand suggests a linear or a proportional representation of v T | C relative to v T and thus of concentration effects.
For both apportionment indices, the absence of differentiation is tantamount to the maximum polymorphism that can be realized within communities under the restriction set by the overall type distribution in the metacommunity. This dual interpretation has given rise to some argument on the usage of apportionment indices. The reason becomes particularly clear for the version I A , as it results from the division of I A by v T | C e . Since v T | C e is an effective number with no upper limit, I A approaches a value of zero arbitrarily closely with increasing diversity within communities (for special cases, see, e.g., [8,21]). This further emphasizes the characteristic of I A as an index of monomorphism (or alternatively 1 I A as an index of relative polymorphism) within communities. It also stresses the ambivalence arising when small values of I A are only interpreted in terms of small differentiation among communities.
Corresponding established indices: Both I A and I A become equal to G S T , if the former is applied to Simpson’s index as a measure of (relative) diversity, and the latter is applied to Hill numbers of order 2 (which is the effective number of Simpson’s index) as measure of (absolute) diversity. The fact that I A approaches zero with increasing diversity (effective number) within communities was called to attention for G S T by Hedrick [21] in connection with the availability of methods allowing for the verification of highly polymorphic genetic markers. ≫
Differentiation—The three differentiation indices I D , I D and I D indeed conformed to the tendencies of division in that, for fixed total and type diversity within communities, the indices increased strictly with decreasing v T C and thus with the increasing primary indicator of division tendencies (recall that for fixed total type diversity, the joint diversity decreases with increasing differentiation among communities). The three indices become zero only in the absence of differentiation (again for v T | C = v T ) and equal 1 only for complete differentiation ( v T C = v T , i.e., complete division). I D , in particular, indicates the location of v T between its bounds v T | C and v T C , i.e., between the absence of differentiation and complete differentiation (see Table 2).
A consistent ranking among the three differentiation indices can be derived from Equation (4b). For this purpose, recall that v T C / v T > 1 holds for not completely differentiated communities, v T | C / v T < 1 for differentiated communities, I D 1 , and 1 ( v T / v T C ) ( v T C / v T ) 1 . The first and second line of Equation (4b) and multiplication of the denominator and numerator in Equation (4a) then implies
I D < I D < I D
outside the extreme states of differentiation.
When trying to apply I D to (relative) diversity measures (such as Simpson’s index), there is a caveat that stems from v m i n = 0 for these measures. Monomorphism within communities then implies v T | C = 0 and thus I D = 1 , irrespective of the number of type differences among communities. This would, however, contradict the characteristic of I D as an index of differentiation. Hence, application of I D just as I A must therefore be restricted exclusively to the effective numbers of the diversity measures of interest. This restriction does not hold for I D , I A , and I D .
The difference between the differentiation index I D and the indices I D and I D follows the same characteristic that is realized in the associated apportionment indices I A and I A when replacing the primary indicators of concentration by the corresponding indicators of division. Thus, the linear representations of indicators in I D are replaced by proportional representations in I D and I D (with all diversities specified as effective numbers), i.e., v T C v T 1 ( v T / v T C ) , v T v T | C ( v T / v T | C ) 1 in I D , and v T v T | C 1 ( v T | C / v T ) in I D . The choice between I D and I D or I D therefore depends on whether the problem at hand suggests a linear or a proportional representation of the primary indicators.
Apparently, from the point of view of the partitioning principles, the above diversity-based apportionment and differentiation indices could again be addressed as indices of concentration and division, respectively.
Concerning the normalizations applied in the differentiation indices, they are not of the minimum–maximum type of the representations of the primary indicators. This repeats the situation familiar from the differentiation index D S T , where the limits of the primary indicator of division were not uniquely defined. The same situation applies to the present differentiation indices, within which the primary indicator of division cannot be generally argued to realize an upper bound that indicates the absence of differentiation. (Note: One might be tempted to think that an upper bound for the joint diversity of Hill numbers is realized in the absence of differentiation, where v T C e = v T e · v C e and v C e is the diversity of community sizes. This is not true, as can be seen from the following simple example: q 1 , 1 = 0.0 , q 1 , 2 = 0.2 , q 2 , 1 = 0.2 , q 2 , 2 = 0.6 . The application of Hill numbers of order two yields v T e = v C e = 1.47 and v T C e = 2.27 , so that v T e · v C e = 2.16 < v T C e .)
As before, this limitation can be overcome by introducing a quantity that modifies the effect of the indicator v T C so as to include the absence of differentiation. The quantity is again the respective primary indicator of concentration. The explanations of the effect of the concentration indicator on the differentiation index given for D S T apply analogously to the present indices of differentiation.
Corresponding established indices: Jost’s [8] index D of differentiation results from the application of I D to Hill numbers (of order 2) with equal community sizes, which yields I D = D = ( v T e v T | C e ) / ( v T e · ( 1 1 / N C ) ) , where N C is the number of communities. The complete differentiation and thus D = 1 is then realized if v T e = v T | C e · N C (sometimes referred to as the “replication principle”). In an earlier paper, Jost [5] suggested an index (also applied to Hill numbers and equal community sizes) which he called “turnover rate per sample”. It equals I D and, in the present notation, reads I D = ( v T e v T | C e ) / ( v T | C e · ( N C 1 ) ) . Again, I D = 1 for v T e = v T | C e · N C . The apparent lack of joint diversity in the representation of both of these indices results from the fact that, for Hill numbers and equal community sizes, v T C e = v T | C e · N C [16]. ≫

2.4. General Construction Principle of the Apportionment and Differentiation Indices

The above indices of apportionment and differentiation turn out to follow a common principle when considering two non-negative-valued functions f c ( v T , v T | C ) and f d ( v T , v T C ) that are understood to specify the representations of the primary indicators of the concentration and the division principle of partitioning, respectively. As such, the functions are defined for v m i n v T | C v T v T C and fulfill the condition f c ( v T , v T | C ) = 0 only if v T | C = v T and the condition f d ( v T , v T C ) = 0 only if v T C = v T . Moreover, f c ( v T , v T | C ) strictly increases with a decreasing v T | C for each v T , and f d ( v T , v T C ) strictly increases with the increasing v T C for each v T . Consequently, if f c indicates the closeness to complete concentration, and f d indicates the deviation from complete differentiation. Alternatively stated, f c increases with increasing concentration, and f d decreases with increasing division.
Then, the above apportionment and differentiation indices can be stated in the general form
I A * = f c ( v T , v T | C ) f c ( v T , v m i n ) and I D * = f c ( v T , v T | C ) f c ( v T , v T | C ) + f d ( v T , v T C )
respectively. The two representations are summarized for all of the above indices of apportionment and differentiation in Table 3.
While I A * is based on the minimum–maximum normalization, I D * is not. The inclusion of f c into the specification of I D * helps bridge the gap left by insufficient knowledge about maximum values of the joint diversity and by this guarantees the desired normalization. If such knowledge was available for each overall distribution of types and community affiliations, and if, in this case, the joint diversity would realize its maximum only in the absence of differentiation, then a minimum–maximum normalization would be appropriate for I D * , as is possible for I A * . However, as was mentioned above, this situation does not even apply to Simpson’s index as one of the most widely used diversity indices.
The indices of the relation-based method are of comparable form when in f c the diversity v T is replaced by P M 1 ( T 1 T 2 ) and v T | C by P M 2 ( T 1 T 2 ) . In f d , the two diversities v T and v T C are replaced by the single variable P M 3 ( T 1 = T 2 ) , since the range of this variable starts with zero, indicating complete differentiation, and again is generally unspecified with respect to its maximum value (see Table 3). This done, G S T corresponds to I A * and D S T corresponds to I D * .
At first sight, the fact that the differentiation index includes both primary indicators f c and f d seems inconsistent, since only f d explicitly takes account of the division aspect. However, as was argued above, concentration tendencies may entail division tendencies (as “side effects”), and this indeed appears in the design of the differentiation indices in that I D * increases with increasing f c (see Equation (5)) and thus with increasing concentration. Hence, the inclusion of f c into differentiation indices does not have only normalizing significance.
Ranking relationships between the two indices are determined by
I A * > I D * f d ( v T , v T C ) > f c ( v T , v m i n ) f c ( v T , v T | C )
so that concentration/apportionment exceeds division/differentiation if the indicated deviation from complete differentiation exceeds the indicated deviation from complete concentration. The reverse relationship holds accordingly. This confirms the close relationship of indices of apportionment and differentiation with the primary indicators of concentration and division.

3. Results

3.1. Comparing Variation within and among Communities

It remains to demonstrate how the previous explanations lead to a consistent comparative assessment of variation within and among communities. To this end, recall that the indices of concentration/apportionment ( G S T , I A * ) and division/differentiation ( D S T , I D * ) are relative measures of variation with total type variation as reference. The lower bounds (zero) of these measures are realized in the absence of differentiation. This bound indicates the maximum type variation within communities from the apportionment perspective and minimum type variation among communities from the differentiation perspective. The absence of differentiation therefore marks the extreme situation where all type variation (diversity) is represented within communities, so that no differences exist among communities. The latter statement is commonly phrased as “no variation (diversity) exists among communities”.
As for the opposite bounds, minimum-type variation within communities is indicated by the maximum measures of concentration/apportionment, and the maximum type variation among communities is indicated by maximum measures of division/differentiation. For the latter, remember that variation among communities is subject to the limitations set by the total type variation. Thus, despite maximum variation among communities, variation within communities must exist if there are effectively more types than communities. Common statements such as “all type variation is among communities” therefore imply that maximum variation among and minimum variation within communities, so that the indices of apportionment and differentiation reach their maximum values simultaneously.
Hence, the extreme forms of distributing type variation over communities are indicated by identical values of apportionment and differentiation indices (both 0 for all variation within communities, and both 1 for all variation among communities). While it is not possible to have a value of 0 for only one of the two indices, this may happen for a value of 1 for completely differentiated polymorphic communities, for example. However, as emphasized above, for high polymorphism within communities, it may happen that, even for large differentiation among communities, the apportionment index I A realizes values arbitrarily close but not equal to 0.
In conclusion, the commensurable comparability of amounts of type variation within and among communities is achieved by referring both of them to the maximum values they can realize under the restrictions set by their total type distributions. Maximum variation is reached within communities in the absence of differentiation and among communities for complete differentiation. The appropriate measures to be compared are therefore a 1 apportionment index (i.e., 1 G S T , 1 I A * ) for variation within communities, and differentiation index (i.e., D S T , I D * ) for variation among communities.
Replacing the apportionment and differentiation indices by their respective representations f c and f d of the primary indicators (see Equation (5)), the following ratio between diversity within and diversity among communities serves their comparative assessment:
1 I A * I D * = 1 + f d ( v T , v T C ) f c ( v T , v T | C ) · 1 f c ( v T , v T | C ) f c ( v T , v m i n )
This identity provides more direct information on how the primary indicators affect the relation between diversity within and among communities for the present classes of apportionment and differentiation indices:
(i)
With decreasing concentration ( f c 0 ), the right-hand factor in Equation (6) tends towards 1, while the left-hand factor increases indefinitely because f d remains properly positive. Variation within thus tends to ultimately exceed variation among communities distinctly.
(ii)
Conversely, increasing concentration ( f c ) causes the right-hand factor to tend towards zero, and this cannot be compensated by the left-hand factor because f d is bounded from above. Consequently, the ratio tends to zero, so that the variation among communities ultimately exceeds the variation within communities distinctly. In a sense, ( i ) and ( i i ) support the intuitive expectation of complementarity between the two components of variation.
(iii)
For increasing division ( f d 0 ), f c remains properly positive, since v T is fixed and division excludes the absence of differentiation. The ratio must therefore fall below 1 with the consequence that, with increasing division, variation within communities ultimately becomes smaller than among communities.
(iv)
Decreasing division ( f d ) may but need not go along with the decreasing concentration ( f c ). The problem here is that, if the decreasing division would indicate low differentiation (which would be intuitively expected), f c would be close to zero. The ratio is then likely to exceed 1, and diversity within communities would exceed the diversity among communities. There are, however, examples where the maximum of the joint diversity exceeds the value realized without differentiation. At this maximum, differentiation occurs and, as a consequence, variation within communities is below its maximum. Therefore, it cannot be ruled out so far that the product of the factors in Equation (6) is less than 1 and thus diversity within communities is smaller than diversity among communities.
With the exception of case ( i v ) , all conclusions conform with intuitive reasoning. Case ( i v ) is more involved, chiefly because the maximum of measures of joint diversity under given marginal distributions need not indicate the absence of differentiation (see Note near the end of Section 2.3.2).

3.2. Modeling Joint Diversities as Mixtures of Tendencies

Instead of giving a few numerical examples to demonstrate the apportionment and differentiation indices, this section presents a more comprehensive and analytic representation of their behavior as functions of mixtures of concentration and division tendencies. For this purpose, we model such mixtures as a space of joint type–community distributions that show varying proportions of the two tendencies and, as a particular challenge, all possess the same marginal distributions of communities and types. The latter premise is indispensable when considering the fact that any assessment of variation within and among communities must be preferable to the extreme conditions set by complete differentiation, by the absence of differentiation and by monomorphism within communities, and that the realizability of these conditions depends on the bounds set by the marginal distributions.

3.2.1. Construction of the Model

Consider a metacommunity with a given distribution of communities and a given distribution of types. We model joint type–community distributions in the metapopulation as mixtures of tendencies by separately deriving three particular joint type–community distributions, all of which retain the given distributions of communities and types (marginal distributions), and adding the three together in variable proportions. One of the three component distributions is modeled for maximal realization of community concentration (CC), the second is modeled for maximal realization of community division (CD), and the third expresses the absence of CC and CD as a stochastic independence of type and community (neutrality). In cases where the maximal realization of CC or CD changes the marginal type frequencies, the marginal distributions are restored by adding partial neutrality, as explained below.
For given marginal distributions of communities and types, the three component distributions of the mixtures are constructed as follows:
Community concentration component (CC)—A metacommunity shows the full realization of CC if every pair of individuals in the same community is of the same type, i.e., all communities are monomorphic. This implies the existence of a mapping g C : C T that assigns to each community c j a single type t i = g C ( c j ) . Apparently, this assignment mapping establishes a basic relationship between the two marginal distributions. The full realization of CC requires that the sum of frequencies of communities to which the same type is assigned equals the frequency of this type. If a frequency mismatch prevents the full realization of CC, then the realization of CC is maximal, if each community c j receives as much as possible of its type g C ( c j ) in accordance with its relative frequency among communities to which this type is assigned. The consequence is that some types cannot be completely assigned to communities and some communities cannot be completely filled. In order to maintain the marginal distributions, the remaining pool of unassigned type frequencies is randomly strewn over the unfilled communities, that is, partial neutrality is added to the realizable CC. As such, the assignment determines a joint type–community distribution.
In mathematical terms, the CC component is modeled as the joint distribution
a i , j = a i , j 0 if l r T ( a ) ( l ) = 0 ( full CC ) a i , j 0 + r C ( a ) ( j ) · r T ( a ) ( i ) / l r T ( a ) ( l ) if l r T ( a ) ( l ) > 0
where a i , j 0 = δ t i , g C ( c j ) · min w j , p i · w j / k | c k g C 1 ( t i ) w k is the CC prescribed by g C . The coefficient δ t i , g C ( c j ) equals 1 if t i = g C ( c j ) and 0 otherwise (“Kronecker delta”). Remainder r C ( a ) ( j ) = w j l a 0 ( l , j ) expresses the unfilled frequency of community c j . The fraction r T ( a ) ( i ) / l r T ( a ) ( l ) equals the relative frequency of the remainder r T ( a ) ( i ) = p i k a 0 ( i , k ) of type t i among the entire remainder of unassigned type frequencies.
Community division component (CD)—A metacommunity shows the full realization of CD if individuals from different communities are always of different types. This implies that no two communities share the same type, meaning that all individuals of the same type must occur in the same community. Hence, there exists a mapping g T : T C that assigns to each type t i a single community c j = g T ( t i ) . Now, this assignment mapping establishes another basic relationship between the two marginal distributions. The full realization of CD requires that the sum of frequencies of types that are assigned to the same community equals the frequency of this community. If a frequency mismatch prevents the full realization of CD, then the realization of CD is maximal, if each type contributes as much as possible to its assigned community in accordance with its relative frequency among all types assigned to this community. The consequence is that some types cannot be completely assigned to their communities and some communities cannot be completely filled. In order to maintain the marginal distributions, the remaining pool of unassigned type frequencies is randomly strewn over the unfilled communities, that is, partial neutrality is added to the realizable CD. Thus, this assignment determines another joint type–community distribution.
In mathematical terms, the CD component is modeled as the joint distribution
b i , j = b i , j 0 if k r C ( b ) ( k ) = 0 ( full CD ) b i , j 0 + r T ( b ) ( i ) · r C ( b ) ( j ) / k r C ( b ) ( k ) if k r C ( b ) ( k ) > 0
where b i , j 0 = δ c j , g T ( t i ) · min p i , w j · p i / l | t l g T 1 ( c j ) p l is the CD prescribed by g T . Remainder r T ( b ) ( i ) = p i k b 0 ( i , k ) expresses the unassigned frequency of type t i . The fraction r C ( b ) ( j ) / k r C ( b ) ( k ) equals the relative frequency of the unfilled remainder r C ( b ) ( j ) = w j l b 0 ( l , j ) of community c j among the entire remainder of unfilled community frequencies.
Neutrality component—The neutrality component n is simply given by stochastic independence between communities and types, yielding n i , j = w j · p i .
The subsequent mixture of the three components in proportions x for CC, y for CD, and ( 1 x y ) for neutrality yields a single joint type–community distribution
q i , j = x · a i , j + y · b i , j + ( 1 x y ) · n i , j
that maintains the given marginal distributions of both communities and types.
In conclusion, the commensurable comparability of amounts of type variation within and among communities is achieved by referring to both the maximum values they can realize under the restrictions set by their total type distributions. Maximum variation is reached within communities in the absence of differentiation and among communities for complete differentiation. The appropriate measures to be compared are therefore the 1 apportionment index (i.e., 1 G S T , 1 I A * ) for variation within communities, and differentiation index (i.e., D S T , I D * ) for variation among communities.
Interpretation of the assignment mappings— Apart from their significance in constructing joint distributions from marginal distributions, the assignment mappings allow for a basic interpretation in terms of the ecological and evolutionary forces listed in Table 1. In particular, communities can be identified with environmental conditions that define adaptational demands that can be met by individuals of a special type. This establishes a community-to-type assignment that corresponds to the full realization of CC ( g C ). Conversely, if the type determines the environmental condition under which its carriers may persist, the full realization of CD ( g T ) is reached. The non-adaptivity of the types indicates the situation of neutrality. From this perspective, the overall adaptive processes at the metacommunity level can be conceived of as mixtures of adaptational events within and among communities.
The adaptational paradigm of assignments entails the possibility of reciprocal effects of the division and concentration component, in that g C is the reverse of g T (i.e., g T = g C 1 , see Figure 2a in the next section). In this case, the adaptational demands (of community environment) are in agreement with (i.e., match) the adaptational capacities (of types). This relation is reversed in Figure 2b, where adaptational demand and capacity do not match, since the community to which a type is assigned is not the same as that the type is assigned to.

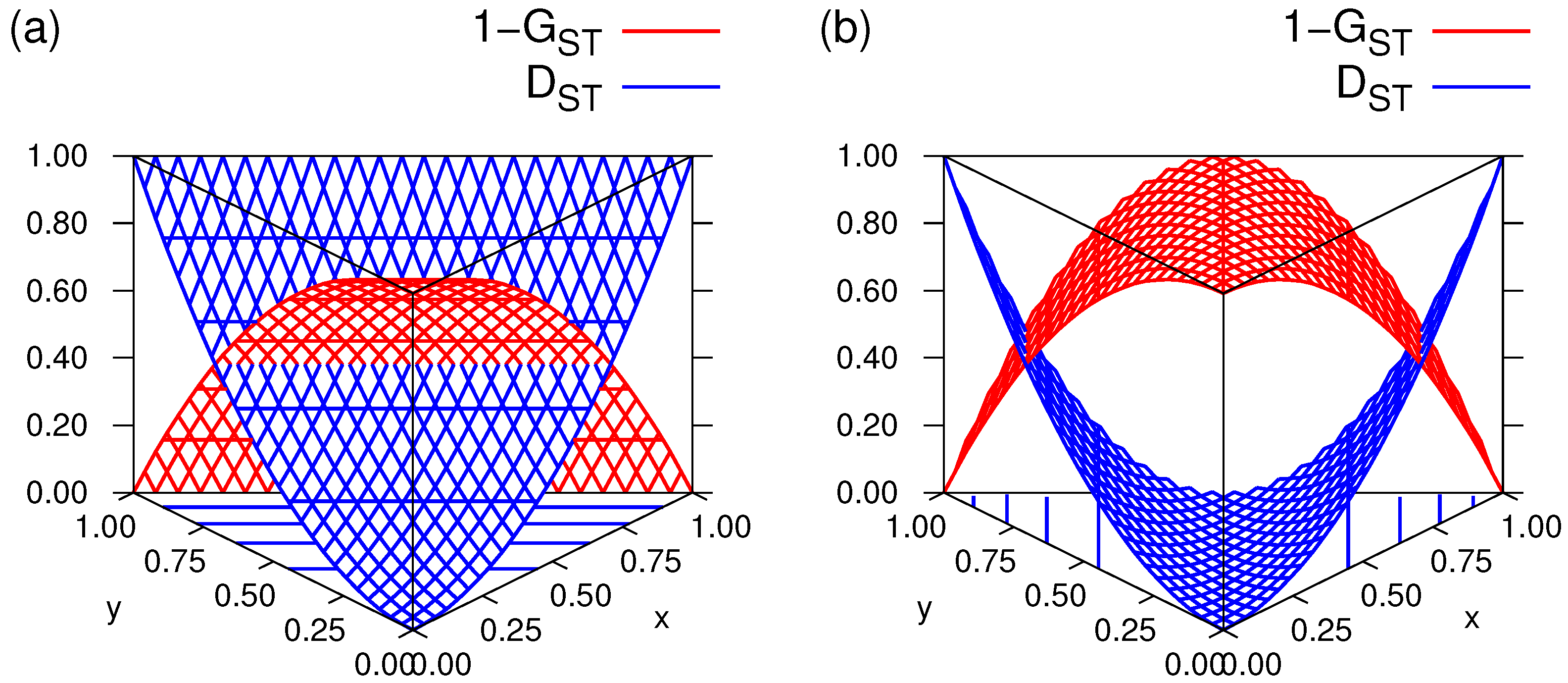
3.2.2. Graphical Comparison of Type Variation within and among Communities for Mixtures of Tendencies

The behavior of type variation within and among communities for the mixtures of concentration and division tendencies modeled above can be graphically demonstrated. By this means, type variation within communities as measured by 1 min apportionment indices can be visually compared with type variation among communities as measured by differentiation indices.
The basis for graphical representation is formed by the coordinates x and y that specify each mixture q of the components for CC, CD, and neutrality for given marginal distributions and assignment mappings g C and g T . Geometrically, the space of all such mixtures can be pictured as a triangle in two-dimensional real space. The triangle is spanned by the interval [ 0 , 1 ] on the x axis and the interval [ 0 , 1 ] on the y axis, and the line connecting the coordinates ( 1 , 0 ) and ( 0 , 1 ) along which x + y equals 1. For all points on the edges and in the interior of the triangle, x + y 1 holds. By identifying the coordinates of the triangle with the coefficients of the joint distribution q = x · a + y · b + ( 1 x y ) · n , every mixture of the tendencies has its unique position on the triangle. By plotting the indices of 1 apportionment and differentiation as three-dimensional surfaces over the triangle, the dependence of the indices on the tendencies can be visualized.
The corner of the triangle with coordinates ( x , y ) = ( 1 , 0 ) only represents the CC component a ( x = 1 ), the corner ( 0 , 1 ) represents only the CD component b ( y = 1 ), and the corner ( 0 , 0 ) represents only the neutrality component n ( x + y = 0 or ( 1 x y ) = 1 ). The edge between ( 0 , 0 ) and ( 1 , 0 ) represents a mixture of the CC and neutrality components a and n, in the absence of the CD component b. The edge between ( 0 , 0 ) and ( 0 , 1 ) represents a mixture of the CD and neutrality components b and n, in the absence of the CC component a. The third edge between ( 1 , 0 ) and ( 0 , 1 ) represents a mixture of the CC and CD components, in the absence of the neutrality component n. All interior points are mixtures of all three components.
To illustrate the graphical approach with a simple example, consider a metacommunity comprising two equally sized communities and two types of equal frequency. Let g C assign type t 1 to community c 1 and t 2 to c 2 , and let g T be the inverse that assigns c 1 to t 1 and c 2 to t 2 . Then, the CC component consists of two monomorphic communities, each for a different type, and the CD component consists of two communities that share no type. Thus, the two components are identical, and both concentration and division are full not only for these two components but also for all combinations of the two, i.e., along the line x + y = 1 connecting them. Figure 2a shows the type variation within communities as measured by 1 G S T and the type variation among communities as measured by D S T . Figure 2b shows the variation when the assignments by g T are switched.
Figure 2 also illustrates certain characteristics that are common to all mixtures, regardless of their marginal distributions and assignment mappings. At the corner ( 0 , 0 ) , where x = y = 0 (full neutrality), the type variation within communities equals 1 when measured as 1 apportionment (here 1 G S T ), and type variation among communities equals 0 when measured as differentiation (here D S T ). If y is held constant, variation within communities decreases as x increases, and it reaches 0 for x = 1 if CC is fully realized. For constant x, variation among communities increases as y increases, and it reaches 1 for y = 1 if CD is fully realized.
The results from previous sections are illustrated in Figure 1. The first confirms that the common interpretation of G S T as a measure of type variation among communities is erroneous. Whereas the greater number of types than communities prevents full CC (monomorphism) for all mixtures of components, the assignment mapping g T together with the uniform marginal distributions produce full CD (differentiation) for the CD component y = 1 . The former is indeed reflected in panel (a) by the fact that the 1 min apportionment index G S T lies well above 0 for all mixtures. The latter is, however, not reflected by G S T , since G S T lies well below 1 for y = 1 , suggesting that CD is not full and differentiation is only partial. In contrast, all three of the conceptually argued differentiation indices plotted in panels (b–e) equal 1, thus verifying that CD is full for y = 1 .
The second result demonstrated in Figure 1 is that variation within and among communities can reverse their rankings for one and the same joint distribution, depending on which apportionment and differentiation indices are applied. This can be seen by noting that the mixtures of components for which the two surfaces intersect, that is, for which the variation within equals the variation among communities, differ among panels (b–e). Even the number of lines of intersection differ. Whereas panels (b–d) each show two lines of intersection at two different levels of variation, (e) shows only one line. (In (c), the two surfaces intersect just before x reaches 1, for which 1 I A = 0.786 is less than 1 I D = 0.800 .)
In all numerical simulations (including the above figures), the indicators ( 1 apportionment and differentiation) assume the same value at all points of intersection. This is in accordance with the situation of strict complementarity between pairs of variables (see footnote in Section 2.1), which suggests that the present indices and the associated measures of diversity within and among communities essentially fulfill the condition of complementarity.

4. Discussion and Conclusions

In summary, the present line of reasoning leads to the result that variation within and among communities can be assessed in commensurable terms with the help of indices of apportionment/concentration and differentiation/division. The reasoning rests on the observation that principles of the partitioning of variation in metacommunities can be separated into two components: community concentration and community division with respect to trait variation within and among them, respectively. It is shown that the two components can be quantified by specifying the primary indicators of the two principles and that this, in turn, leads to the generalizations of the established indices of apportionment/concentration and indices of differentiation/division. The indices presented here are based on two methods of quantification: relation-based and diversity-based. Diversity-based methods, in particular, may utilize any large variety of diversity measures to establish commensurability between the measures of variation within and between communities.
Relations between variation within and among communities are translated into relations between apportionment and differentiation indices. The indices of apportionment ( G S T , I A * ) and differentiation ( D S T , I D * ) evaluate the concentration and division components relative to their respective minimum and maximum manifestations for the given total type variation. The apportionment indices therefore inform about the amount of the total variation (diversity) concentrated within communities, and the differentiation indices inform about the amount of the total variation (diversity) divided among communities. When explicitly addressing diversity within communities, the complement of the apportionment indices ( 1 G S T , 1 I A * ) must be considered.
This approach to quantifying the partitioning of type variation in metacommunities via apportionment and differentiation indices solves the problem of establishing commensurability between the notions of “diversity among communities” and “diversity within communities”. It does so by evaluating the concentration and division components within the bounds set by the complete absence and complete realization of the respective tendency. Moreover, the approach provides a broadly applicable concept that helps answer questions such as whether variation within and among communities is complementary, what are the effects of using different measures of diversity to specify the indices, as well as what kind of structural characteristics are introduced by the concentration and division principles (compare Section 3.2).
Specification of variation within and among communities was thus carried out in four steps:
Establishment of partitioning principles (concentration, division) →
Identification of primary indicators of the principles →
Relation of the principles to indices of apportionment (concentration) and differentiation (division) →
Commensurable quantification of variation (diversity) within and among communities via the indices.
The relation-based and diversity-based methods of quantifying concentration and division tendencies specify the modes according to which variation is measured, with the relation-based method ( G S T , D S T ) relying on probabilities of sampling pairs of different types, and the diversity-based method ( I A * , I D * ) relying on measures of diversity. For the diversity-based method, various shapes of the representations f c and f d of concentration and division (considered as functions of the primary indicators v T | C and v T C as independent variables; see Table 3) are possible but need not affect the apportionment indices differently. An example is given in Table 3, where two different linear representations f c of the concentration indicators yield the same apportionment index I A but affect the appropriate differentiation indices differently.
To a considerable extent, the current analyses of the metacommunity/metapopulation structure rely solely on apportionment or related indices. In population genetics, the indices are of the G S T type, and in community ecology, they are of the β type. The β type is mostly specified in its multiplicative version γ = α · β , the apportionment characteristic of which shows up in the normalized version 1 ( α / γ ) = 1 ( 1 / β ) which is formally identical to G S T (also see [14]). With α and γ as diversity effective numbers of species within communities and in the total metacommunity, the normalized version is of the I A * kind. Despite their obvious apportionment design, the indices are still interpreted in quite a number of papers as measures of differentiation/division rather than concentration. The potential for erroneous conclusions probably do not need to be detailed here again (the paper of Jost [8] provides a cursory impression; also compare the demonstration in Figure 1). Obviously, indices that do not explicitly distinguish between apportionment and differentiation (such as G S T ) are not suitable for comparative analyses of diversity within and among communities.
The following sections provide a brief impression of potentially important extensions of the above analysis of the commensurability of diversity within and among communities.

4.1. Complementarity of Variation within and among Communities

The illustrations in Section 3.2.2 clearly demonstrate that complementarity exists between 1 apportionment and differentiation and thus also between variation within and among communities. Thus, decreasing diversity within communities goes along with increasing diversity among communities and vice versa. It also accords with the tentative arguments of mutual dependence put forward in the introduction of the two partitioning principles concentration and division.
Under the requirement that community sizes are equal, an analytically precise confirmation of complementarity is provided when using Hill numbers as measures of diversity. This requirement is frequently made when no estimates of community sizes are obtained, and it underlies the aforementioned established versions of apportionment (Nei’s derivation of G S T ) and differentiation (Jost’s D) indices. In this case, v T C e = v T | C e · N C holds, where N C specifies the number of communities. Hence, for a given total type diversity and number of communities, diversity among communities is completely determined by diversity within communities, with the result of strict complementarity of diversity within and among communities.
In other cases, no simple relation between the apportionment and differentiation indices, such as additivity or multiplicativity, governs complementarity. In fact, there are examples for which two joint distributions yield the same apportionment value but different differentiation values and vice versa. Among these, there are figures in Section 3.2.2 that show convex or concave index surfaces with minima or maxima on the internal boundary ( x + y = 1 ), respectively. Beyond this, the assumption of equal community sizes seems highly unrealistic under natural conditions, which poses the question as to how the assessment of variation within and among communities is affected by variable community sizes. To investigate complementarity in greater depth, we performed many simulations of our assignment model and found strict complementarity in all cases.
Further analytical evidence of complementarity can be gained from Equation (5), when realizing that apportionment and differentiation both increase as f c (and thus concentration) increases, provided that f d remains constant. Hence, decreasing the diversity within communities (increasing concentration) is accompanied by increasing diversity among communities (increasing division as a side effect), so that complementarity is realized. This observation seems to support the prevailing idea that apportionment indices in their common versions measure differentiation. However, this opinion ignores the central conceptual differences between measures of apportionment and differentiation, which are to be found in an independently defined indicator of division that affects the differentiation indices but not the apportionment indices. Its sheer presence ( f d > 0 ) already triggers secondary differentiation effects which, however, dwindle with the increasing primary indicator of division (declining f d ) (also compare with reflections in the next subsection).
In general, however, f d is likely to change with f c . In order to maintain complementarity, both functions must vary in the same direction. Indeed, this makes intuitive sense, since increasing diversity within communities is hard to imagine without sharing diversity with other communities and thus without reducing differentiation.

4.2. Use of the Representation Functions f c and f d of the Primary Indicators

Probably one of the most useful features of the representation functions f c and f d in the assessment of diversity within and among communities is that there are many ways to derive these functions from basic ecological processes. To mention but one, diversity is frequently associated with problems of community stability, where adaptational capacity is considered to be more or less disproportionally lowered as diversity declines within or among communities. This may suggest that diversities, especially when they fall below certain thresholds, are to be evaluated as being effectively smaller than the observed values. The pertaining effects can be taken into account by modifying the representation functions f c and f d accordingly.
It may also be meaningful to combine different representation functions to arrive at indices of different characteristics. For example, in Table 3, the f d functions for I D and I D are the same, while their f c functions differ (all applied to diversity effective numbers). In fact, the f c functions for I D and I D differ in that the latter shows linear dependence and the former convex dependence on the diversity within communities.
A similar relation exists for the f c functions in I A and I A , with linearity in the former and convexity in the latter (see Table 3). The fact that both functions range in the same interval extending from 0 to v T e 1 implies that the linear function lies above the convex function. Fixing the f d function, one concludes that both the apportionment and the differentiation index realize smaller values for the convex than for the linear f c function. Convexity therefore increases diversity within and decreases diversity among communities in this case.

4.3. Detecting Type–Community Assignments

The effects on diversities within and among communities of type–community assignments that reflect concentration and division tendencies are demonstrated in some detail in Section 3.2. Of more practical significance is the inverse perspective governed by the question as to the existence of methods that could help reveal such assignments in joint type–community distributions. An answer is provided by the (statistical) concept of association, which is concerned with specifying degrees to which one variable is determined by (is association with) another [22].
Applied to the present topic, this translates, e.g., into the degree to which the type is determined by (associated with) community affiliation. Obviously, community concentration is addressed here, since the full realization of the concentration principle implies that each community is assigned a single type (so that the type is completely associated with community affiliation). Along the same line of reasoning, one concludes that with the full realization of the division principle, each type is assigned a single community (community affiliation is completely associated with type; compare the corresponding explanations in Section 3.2). Hence, in order to detect community concentration tendencies, one would determine for each type the community that is most strongly associated with the type. Conversely, the detection of community division tendencies would involve for each community identification of the type that is most strongly associated with the community. The strength of the associations would then determine the significance of the respective assignment. Pairwise associations between the marginal distributions thus serve the indication of assignments and vice versa.
Once assignments are determined (estimated), the model for joint type–community distributions introduced in Section 3.2 can be applied to the marginal distributions, and surfaces for the apportionment and differentiation index can be plotted. The comparison of the observed index values with their positions on the two surfaces would then provide a preliminary idea about the mixture proportions of concentration and division tendencies realized in the data.

4.4. Variable Differences

The present partitioning principles and the associated relation-based indices of apportionment and differentiation apply equally to the situation of variable differences, when the probabilities of sampling different types are replaced by their corresponding average differences [12]. Individual differences range from 0 to 1, with 1 indicating complete difference. The primary indicators of community concentration and division are then specified by 1 minus the average difference of individuals from the same community and by the average difference of individuals from different communities, respectively.
If more information about the distinctness of the partitioning is desirable, an alternative approach can be taken by considering thresholds ( θ , say), above which differences are considered to sufficiently separate individuals or types from each other. One way to realize this idea relies on considering a decomposition of the totality of individuals into G-clusters separated by the threshold difference θ . The resulting G-cluster partition of the total variation then establishes a trait with the clusters as trait states [23]. All of the above considerations, for both relation-based and diversity-based methods, apply accordingly, and by varying the threshold, levels can be identified at which tendencies of concentration and division become more apparent.
Community concentration tendencies would then be indicated if the members of the same community tend to differ by not more than the threshold difference. Analogously, community division is indicated for the tendencies of members from different communities to differ by more than the threshold difference.

Author Contributions

Conceptualization, H.-R.G.; methodology, H.-R.G. and E.M.G.; software, E.M.G.; formal analysis, H.-R.G. and E.M.G.; writing—original draft preparation, H.-R.G. and E.M.G.; writing—review and editing, H.-R.G. and E.M.G.; visualization, E.M.G. All authors have read and agreed to the published version of the manuscript.

Funding

This research received no external funding.

Institutional Review Board Statement

Not applicable.

Informed Consent Statement

Not applicable.

Data Availability Statement

Not applicable.

Acknowledgments

We thank two anonymous reviewers for helpful and encouraging suggestions.

Conflicts of Interest

The authors declare no conflict of interest.

References

  1. Lewontin, R.C. The apportionment of human diversity. In Evolutionary Biology; Dobzhansky, T., Hecht, M.K., Steere, W.C., Eds.; Springer: New York, NY, USA, 1972; pp. 381–398. [Google Scholar]
  2. Gregorius, H.-R. Partitioning of diversity: The “within-communities” component. Web Ecol. 2014, 14, 51–60. [Google Scholar] [CrossRef]
  3. Whittaker, R.H. Evolution and measurement of species diversity. Taxon 1972, 21, 213–251. [Google Scholar] [CrossRef]
  4. Tuomisto, H. A diversity of beta diversities: Straightening up a concept gone awry. Part 1. Defining beta diversity as a function of alpha and gamma diversity. Ecography 2010, 33, 2–22. [Google Scholar] [CrossRef]
  5. Jost, L. Partitioning diversity into independent alpha and beta components. Ecology 2007, 88, 2427–2439. [Google Scholar] [CrossRef]
  6. Wright, S. Evolution and the Genetics of Populations. Volume 4: Variability Within and among Natural Populations; The University of Chicago Press: Chicago, IL, USA; London, UK, 1978. [Google Scholar]
  7. Nei, M. Analysis of gene diversity in subdivided populations. Proc. Nat. Acad. Sci. USA 1973, 70, 3321–3323. [Google Scholar] [CrossRef]
  8. Jost, L. GST and its relatives do not measure differentiation. Mol. Ecol. 2008, 17, 4015–4026. [Google Scholar] [CrossRef]
  9. Gregorius, H.-R. Effective numbers in the partitioning of biological diversity. J. Theor. Biol. 2016, 409, 133–147. [Google Scholar] [CrossRef]
  10. Hedrick, P.W. A standardized genetic differentiation measure. Evolution 2005, 59, 1633–1638. [Google Scholar]
  11. Gregorius, H.-R. Distribution of variation over populations. Theory Biosci. 2009, 128, 179–189. [Google Scholar] [CrossRef]
  12. Gregorius, H.-R. Partitioning of trait variation among communities: Measures of apportionment and differentiation based on binary sampling. Theor. Ecol. 2014, 7, 313–324. [Google Scholar] [CrossRef]
  13. Rao, R.C. Diversity and dissimilarity coefficients: A unified approach. Theor. Popul. Biol. 1982, 21, 24–43. [Google Scholar] [CrossRef]
  14. Jost, L.; DeVries, P.; Walla, T.; Greeney, H.; Chao, A.; Ricotta, C. Partitioning diversity for conservation analyses. Divers. Distrib. 2010, 16, 65–76. [Google Scholar] [CrossRef]
  15. Jurasinski, G.; Retzer, V.; Beierkuhnlein, C. Inventory, differentiation, and proportional diversity: A consistent terminology for quantifying species diversity. Oecologia 2009, 159, 15–26. [Google Scholar] [CrossRef] [PubMed]
  16. Gregorius, H.-R. Linking diversity and differentiation. Diversity 2010, 2, 370–394. [Google Scholar] [CrossRef]
  17. Chao, A.; Chiu, C.-H.; Hsieh, C.H. Proposing a resolution to debates on diversity partitioning. Ecology 2012, 93, 2037–2051. [Google Scholar] [CrossRef]
  18. Witherspoon, D.J.; Wooding, S.; Rogers, A.R.; Marchani, E.E.; Watkins, W.S.; Batzer, M.A.; Jorde, L.B. Genetic similarities within and between human populations. Genetics 2007, 176, 351–359. [Google Scholar] [CrossRef]
  19. Hill, M.O. Diversity and evenness: A unifying notation and its consequences. Ecology 1973, 54, 427–432. [Google Scholar] [CrossRef]
  20. Patil, G.P.; Taillie, C. Diversity as a Concept and its Measurement. J. Am. Stat. Assoc. 1982, 77, 548–561. [Google Scholar] [CrossRef]
  21. Hedrick, P.W. Perspective: Highly variable loci and their interpretation in evolution and conservation. Evolution 1999, 53, 313–318. [Google Scholar] [CrossRef]
  22. Gregorius, H.-R. Measuring association between two traits. Acta Biotheor. 1998, 46, 89–98. [Google Scholar] [CrossRef]
  23. Gregorius, H.-R. Assessing biological variation from the perspective of diversity. Ecol. Model. 2012, 224, 1–10. [Google Scholar] [CrossRef]
Figure 1. Partitioning of variation within and among communities for joint distributions modeled on the triangle { x + y 1 } . All plots picture four equally sized communities, eight equally frequent types, and assignment mappings g C ( 1 ) = 1 , g C ( 2 ) = 2 , g C ( 3 ) = 3 , g C ( 4 ) = 4 and g T ( 1 ) = g T ( 2 ) = 1 , g T ( 3 ) = g T ( 4 ) = 2 , g T ( 5 ) = g T ( 6 ) = 3 , g T ( 7 ) = g T ( 8 ) = 4 . (a) Variation within communities is plotted as 1 G S T (red surface) together with its inverse G S T (blue surface), which is commonly but erroneously interpreted to measure variation among communities. (be) Variation within communities measured as 1 min apportionment for indices I A , I A , and G S T (red) is plotted against variation among communities measured by differentiation indices I D , I D , I D , and D S T (blue). The I-indices are calculated with Hill diversity of order 2. Red and blue curves on the base of the triangle are projections of the four contour lines drawn on the respective surfaces at 0.2, 0.4, 0.6, and 0.8 on the vertical axis.
Figure 1. Partitioning of variation within and among communities for joint distributions modeled on the triangle { x + y 1 } . All plots picture four equally sized communities, eight equally frequent types, and assignment mappings g C ( 1 ) = 1 , g C ( 2 ) = 2 , g C ( 3 ) = 3 , g C ( 4 ) = 4 and g T ( 1 ) = g T ( 2 ) = 1 , g T ( 3 ) = g T ( 4 ) = 2 , g T ( 5 ) = g T ( 6 ) = 3 , g T ( 7 ) = g T ( 8 ) = 4 . (a) Variation within communities is plotted as 1 G S T (red surface) together with its inverse G S T (blue surface), which is commonly but erroneously interpreted to measure variation among communities. (be) Variation within communities measured as 1 min apportionment for indices I A , I A , and G S T (red) is plotted against variation among communities measured by differentiation indices I D , I D , I D , and D S T (blue). The I-indices are calculated with Hill diversity of order 2. Red and blue curves on the base of the triangle are projections of the four contour lines drawn on the respective surfaces at 0.2, 0.4, 0.6, and 0.8 on the vertical axis.
Diversity 15 00108 g001
Figure 2. Effect of assignment mappings on type variation within and among two communities: Joint type–community distributions for two equally sized communities and two equally frequent types but differing assignment mappings are modeled as mixtures of tendencies over the triangle: For the same assignment mapping g C ( 1 ) = 1 , g C ( 2 ) = 2 , plot (a) is based on g T ( 1 ) = 1 , g T ( 2 ) = 2 and plot (b) on g T ( 1 ) = 2 , g T ( 2 ) = 1 . In both plots, the CC component a ( x = 1 ) is identical to the CD component b ( y = 1 ). For both components, the two communities are monomorphic (full concentration) and share no type (full division). In (a), the type variation within the communities, measured by 1 G S T (red surface), decreases from 1 for neutrality ( x = y = 0 ) to 0 along the entire back edge of the triangle ( x + y = 1 ), while the type variation among communities, measured by D S T (blue surface), increases from 0 for x = y = 0 to 1 for x + y = 1 . In (b), variation within and among are the same as for (a) along the two front edges of the triangle ( x = 0 and y = 0 ), but variation within is now maximal and variation among is minimal along the entire line x = y and all mixtures in between. The blue lines on the base of the triangle are projections of the four contour lines drawn on both surfaces at the coordinates 0.2, 0.4, 0.6, and 0.8 on the vertical axis.
Figure 2. Effect of assignment mappings on type variation within and among two communities: Joint type–community distributions for two equally sized communities and two equally frequent types but differing assignment mappings are modeled as mixtures of tendencies over the triangle: For the same assignment mapping g C ( 1 ) = 1 , g C ( 2 ) = 2 , plot (a) is based on g T ( 1 ) = 1 , g T ( 2 ) = 2 and plot (b) on g T ( 1 ) = 2 , g T ( 2 ) = 1 . In both plots, the CC component a ( x = 1 ) is identical to the CD component b ( y = 1 ). For both components, the two communities are monomorphic (full concentration) and share no type (full division). In (a), the type variation within the communities, measured by 1 G S T (red surface), decreases from 1 for neutrality ( x = y = 0 ) to 0 along the entire back edge of the triangle ( x + y = 1 ), while the type variation among communities, measured by D S T (blue surface), increases from 0 for x = y = 0 to 1 for x + y = 1 . In (b), variation within and among are the same as for (a) along the two front edges of the triangle ( x = 0 and y = 0 ), but variation within is now maximal and variation among is minimal along the entire line x = y and all mixtures in between. The blue lines on the base of the triangle are projections of the four contour lines drawn on both surfaces at the coordinates 0.2, 0.4, 0.6, and 0.8 on the vertical axis.
Diversity 15 00108 g002
Table 1. Some ecological conditions and evolutionary forces and their relation to tendencies of community concentration and division.
Table 1. Some ecological conditions and evolutionary forces and their relation to tendencies of community concentration and division.
Irregular migration among communities with little adaptive differentiation among them ⇒ inhibition of all partitioning tendencies.
Communities are well differentiated and show low variation, as would be the result of selective or adaptive responses to environmental conditions that are homogeneous within and heterogeneous among communities and among which migration is reduced ⇒ high concentration, high division.
Communities are highly differentiated and highly variable, as would be the result of selective or adaptive responses to environments that are both heterogeneous within and distinctly different among communities and among which migration is strongly reduced ⇒ low concentration, high division.
Communities are poorly differentiated and show little variation (implying little variation in the whole metacommunity), as would be the result of pronounced migration among small communities ⇒ undetermined concentration, low division.
Table 2. Relations between the three levels of diversity (within communities, total, and joint), the ranges of diversity levels covered by apportionment and differentiation characteristics, and the effects on diversity associated with the transitions between diversity levels. (Modified after [9]).
Table 2. Relations between the three levels of diversity (within communities, total, and joint), the ranges of diversity levels covered by apportionment and differentiation characteristics, and the effects on diversity associated with the transitions between diversity levels. (Modified after [9]).
Diversity 15 00108 i001
(1)
Deviation of average type diversity within communities from monomorphism (vmin = vT|C)
(2)
Reduction in average type diversity within communities due to loss of diversity within communities (for given vT, the upper limit vT|C = vT is realized only in the absence of differentiation)
(3)
Gain in joint diversity over total type diversity due to differentiation among communities
Table 3. Representations f c and f d of the primary indicators of concentration ( v T | C ) and division ( v T C ), respectively, for several indices of apportionment/concentration and differentiation/division. Recall that f c increases with increasing concentration, and f d decreases with increasing division.
Table 3. Representations f c and f d of the primary indicators of concentration ( v T | C ) and division ( v T C ), respectively, for several indices of apportionment/concentration and differentiation/division. Recall that f c increases with increasing concentration, and f d decreases with increasing division.
Representations of Primary Indicators of
IndexConcentrationDivision
f c f d
Apportionment/
Concentration
I A v T v T | C
I A 1 ( v T | C / v T )
I A ( v T e / v T | C e ) 1
G S T P M 1 ( T 1 T 2 ) P M 2 ( T 1 T 2 )
Differentiation/
Division
I D v T v T | C v T C v T
I D ( v T e / v T | C e ) 1 1 ( v T e / v T C e )
I D 1 ( v T | C / v T ) 1 ( v T / v T C )
D S T P M 1 ( T 1 T 2 ) P M 2 ( T 1 T 2 ) P M 3 ( T 1 = T 2 )
Correspondences: I A I D , I A I D , I A I D , G S T D S T . Note that I A = I A even though their concentration indicators differ.
Disclaimer/Publisher’s Note: The statements, opinions and data contained in all publications are solely those of the individual author(s) and contributor(s) and not of MDPI and/or the editor(s). MDPI and/or the editor(s) disclaim responsibility for any injury to people or property resulting from any ideas, methods, instructions or products referred to in the content.

Share and Cite

MDPI and ACS Style

Gregorius, H.-R.; Gillet, E.M. About Commensurability of Diversity within and among Communities. Diversity 2023, 15, 108. https://doi.org/10.3390/d15010108

AMA Style

Gregorius H-R, Gillet EM. About Commensurability of Diversity within and among Communities. Diversity. 2023; 15(1):108. https://doi.org/10.3390/d15010108

Chicago/Turabian Style

Gregorius, Hans-Rolf, and Elizabeth M. Gillet. 2023. "About Commensurability of Diversity within and among Communities" Diversity 15, no. 1: 108. https://doi.org/10.3390/d15010108

APA Style

Gregorius, H.-R., & Gillet, E. M. (2023). About Commensurability of Diversity within and among Communities. Diversity, 15(1), 108. https://doi.org/10.3390/d15010108

Note that from the first issue of 2016, this journal uses article numbers instead of page numbers. See further details here.

Article Metrics

Back to TopTop