The Process of Soil Nutrient Stabilization in Micro-Patches in Alpine Kobresia Meadows
Abstract
:1. Introduction
2. Materials and Methods
2.1. Study Area and Sampling Setting
2.2. Sample Collection and Nutrient Analysis
2.3. Statistical Analysis
3. Results
3.1. Variation in Soil Nutrient Content in an Alpine Meadows at Different Succession Stages
3.2. Variation in Total Soil Organic Matter in Micro-Patches
3.3. Variation in Soil Nutrient Content during the Plant Community Degradation Process
3.4. Variation in avP in Soil during the Plant Community Degradation Process
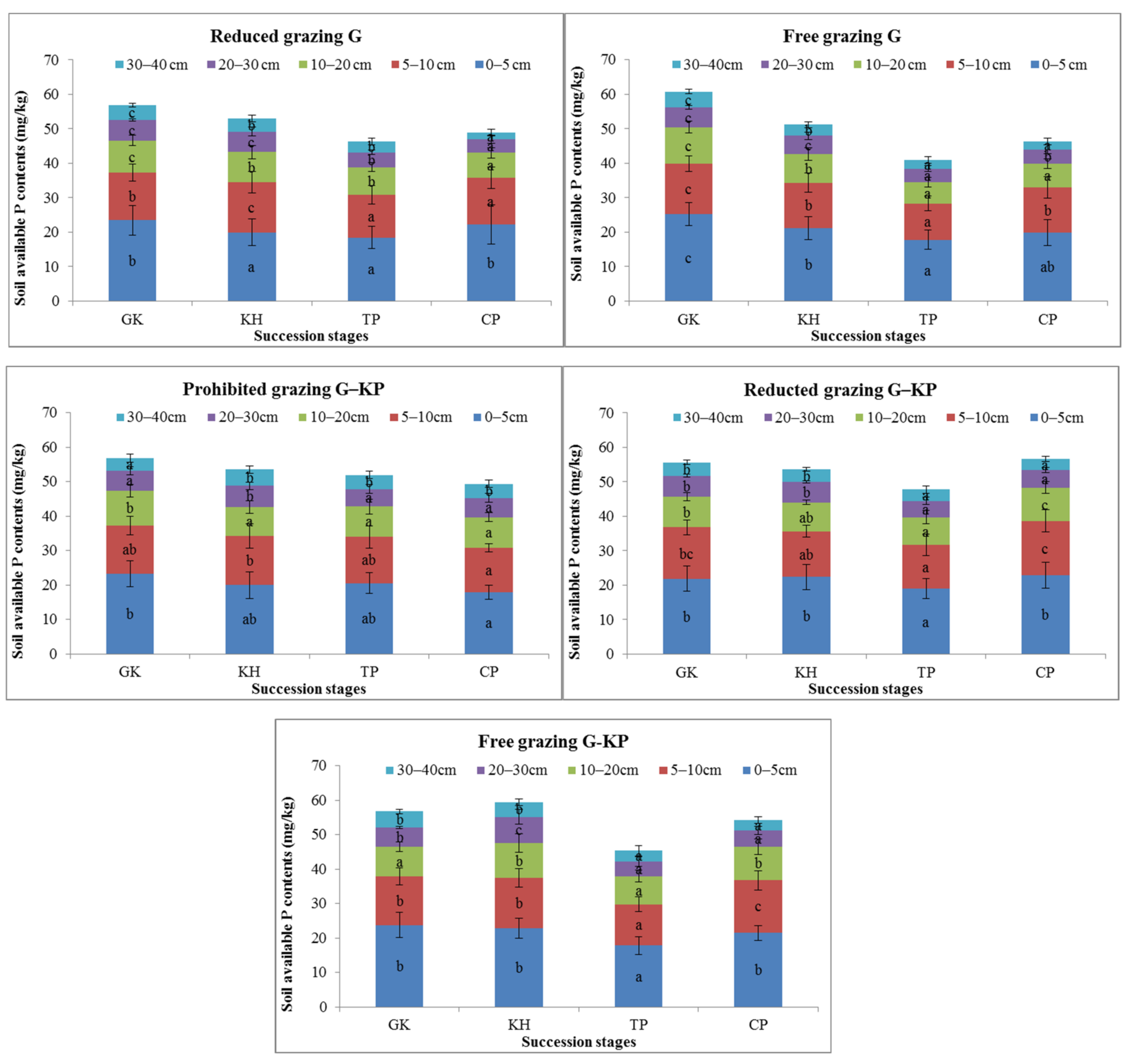
3.5. Variation in avP in Soil across Micro-Patches
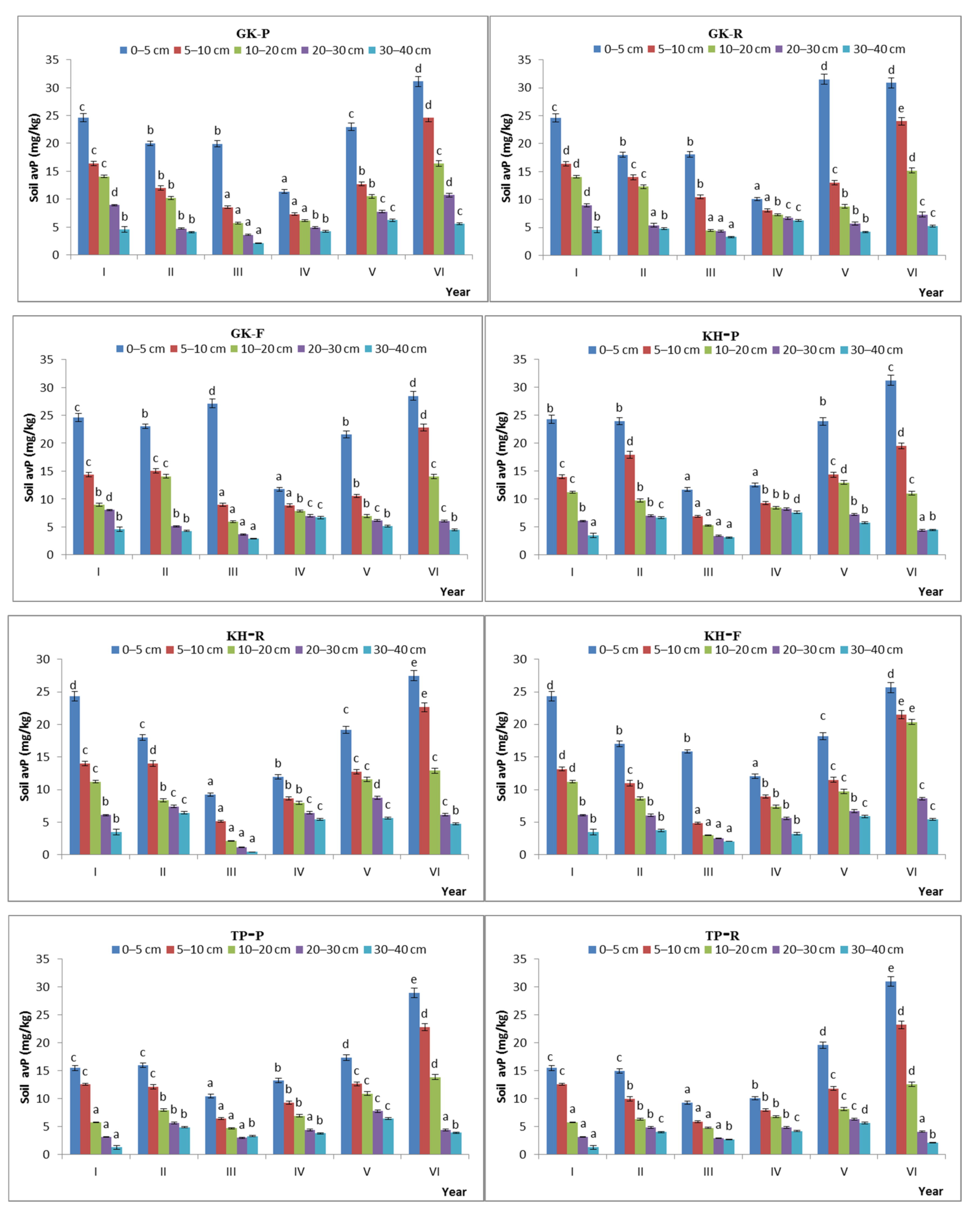
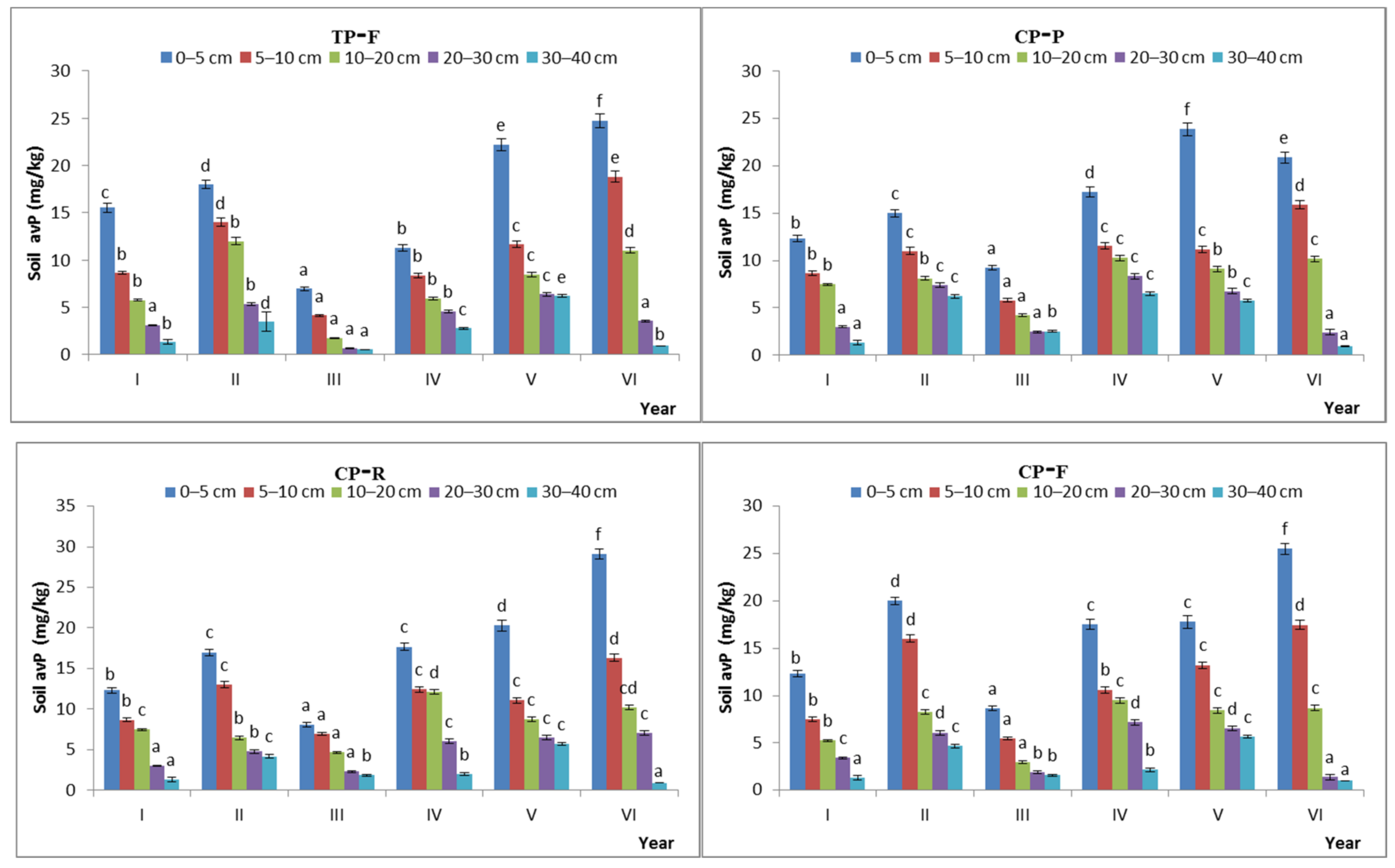
3.6. Variation in avP in Soil at the Temporal Scale
4. Discussion
4.1. Overgrazing Could Trigger Synchronized Changes in the Plant Community and Soil Nutrients in Micro-Patches, Which May Increase the Risk of Regime Shift across Different Plant Communities in the Ecosystem Succession Process
4.2. Different Types of Micro-Patches in Alpine Kobresia Meadows Experience Different Feedback Effects during the Degradation and Recovery Processes, Which Help the Ecosystem Maintain Relative Stability
4.3. K. pygmaea Meadows Are the Final Defense against the Effects of Overgrazing on Primary Production in the Alpine Meadow Ecosystem
5. Conclusions
Author Contributions
Funding
Institutional Review Board Statement
Data Availability Statement
Acknowledgments
Conflicts of Interest
References
- Lin, L. Response and Adaptation of Plant-Soil System of Alpine Meadows in Different Successional Stages to Grazing Intensity; Gansu Agricultural University: Lanzhou, China, 2017. [Google Scholar]
- Lin, L.; Cao, G.M.; Xu, X.L.; Li, C.L.; Fan, B.; Li, B.; Lan, Y.; Si, M.K.; Dai, L.C. Changes and Relationships between Components in the Plant-Soil System and the Dominant Plant Functional Groups in Alpine Kobresia Meadows Due to Overgrazing. Diversity 2022, 14, 183. [Google Scholar] [CrossRef]
- Liu, Z.G.; Li, Z.Q. Perspectives on small scale spatial structure of plant species in plant communities. Acta Phytoecol. Sin. 2006, 29, 1020–1028. [Google Scholar]
- Cao, G.M.; Du, Y.G.; Wang, Q.L.; Wang, C.T.; Liang, D.Y. Character of Passive-Active Degradation Process and Its Mechanism in Alpine Kobresia Meadow. J. Montain Sci. 2007, 25, 641–648. [Google Scholar]
- Wu, J.G. Paradigm shift in ecology: An overview. Acta Ecol. Sin. 1996, 16, 453–460. [Google Scholar]
- Hooper, D.U.; Vitousek, P.M. Effects of plant composition and diversity on nutrient cycling. Ecol. Monogr. 1998, 68, 121–149. [Google Scholar] [CrossRef]
- Imhoff, S.; Pires, A.; Tormena, C.A. Spatial heterogeneity of soil properties in areas under elephant-grass short-duration grazing system. Plant Soil 2000, 219, 161–168. [Google Scholar] [CrossRef]
- Jackson, R.B.; Caldwell, M.M. Geostatistical patterns of soil heterogeneity around individual perennial plants. J. Ecol. 1993, 81, 683–692. [Google Scholar] [CrossRef]
- Jackson, R.B.; Caldwell, M.M. The scale of nutrient heterogeneity around individual plants and its quantification with geostatistics. Ecology 1993, 74, 612–614. [Google Scholar] [CrossRef]
- Shiyomi, M. Spatial pattern changes in aboveground plant biomass in a grazing pasture. Ecol. Res. 1998, 13, 313–322. [Google Scholar] [CrossRef]
- McGrady-Steed, J.; Morin, P.J. Biodiversity, density compensation, and the dynamics of populations and functional groups. Ecology 2000, 81, 361–373. [Google Scholar] [CrossRef]
- Kuzyakov, Y.; Xu, X.L. Competition between roots and microorganisms for nitrogen: Mechanisms and ecological relevance. New Phytol. 2013, 198, 656–669. [Google Scholar] [CrossRef]
- Strogatz, S.H. Nonlinear Dynamics and Chaos with Student Solutions Manual: With Applications to Physics, Biology, Chemistry, and Engineering, 2nd ed.; CRC Press: Boca Raton, FL, USA, 2018. [Google Scholar]
- Ye, W.H. The maintenance mechanism of plant community and its species diversity. Chin. Biodivers. 2000, 8, 17–24. [Google Scholar]
- Zamborain-Mason, J.; Russ, G.R.; Abesamis, R.A.; Bucol, A.A.; Connolly, S.R.; Snyder, R. Network theory and metapopulation persistence: Incorporating node self-connections. Ecol. Lett. 2017, 20, 815–831. [Google Scholar] [CrossRef]
- Oborny, B.; Hubai, G.A. Patch size and distance: Modelling habitat structure from the perspective of clonal growth. Ann. Bot. 2014, 114, 389–398. [Google Scholar] [CrossRef]
- O’reagain, P.J. Plant structure and the acceptability of different grasses to sheep. J. Range Manag. 1993, 46, 118–123. [Google Scholar] [CrossRef]
- Moradi, J.; Mudrák, O.; Kukla, J.; Vicentini, F.; Šimáčková, H.; Frouz, J. Variations in soil chemical properties, microbial biomass, and faunal populations as related to plant functional traits, patch types, and successional stages at Sokolov post-mining site—A case study. Eur. J. Soil Biol. 2017, 83, 58–64. [Google Scholar] [CrossRef]
- Bueno, S.A.; Peres, A.C. Patch-scale biodiversity retention in fragmented landscapes: Reconciling the habitat amount hypothesis with the land biogeography theory. J. Biogeogr. 2019, 46, 621–632. [Google Scholar] [CrossRef]
- Wang, X.T.; Jiang, C.H. Spatial Point Pattern Analysis in Typical Steppe under Grazing Disturbance; Science Press: Beijing, China, 2018. [Google Scholar]
- Brandt, A.J.; Kroon, H.D.; Reynolds, H.L.; Burns, J.H.; Wim, V. Soil heterogeneity generated by plant-soil feedbacks has implications for species recruitment and coexistence. J. Ecol. 2013, 101, 277–286. [Google Scholar] [CrossRef]
- Su, F.; Zhang, L.; Ou, T.; Chen, D.; Yao, T.; Tong, K.; Qi, Y. Hydrological response to future climate changes for the major upstream river basins in the Tibetan Plateau. Glob. Planet. Chang. 2016, 136, 82–95. [Google Scholar] [CrossRef]
- Zhang, L.; Guo, H.; Wang, M.; Du, G. Plasticity of reproductive traits responding to variation in light availability at the rosette stage of the first year in a strict biennial, Pedicularis Torta, from a field on the Qinghai-Tibet plateau, China. Plant Species Biol. 2011, 26, 105–110. [Google Scholar] [CrossRef]
- Kelley, A.M.; Fay, P.A.; Polley, H.W. Atmospheric CO2 and soil extracellular enzyme activity: A meta-analysis and CO2 gradient experiment. Ecosphere 2011, 2, 1–20. [Google Scholar] [CrossRef]
- Wubs, J.E.R.; Bezemer, T.M. Plant community evenness responds to spatial plant-soil feedback heterogeneity primarily through the diversity of soil conditioning. Funct. Ecol. 2018, 32, 509–521. [Google Scholar] [CrossRef]
- Vasl, A.; Schindler, B.Y.; Kadas, G.J.; Blaustein, L. Fine: Cale substrate heterogeneity in green roof plant communities: The constraint of size. Ecol. Evol. 2019, 9, 11557–11568. [Google Scholar] [CrossRef]
- Rossignol, N.; Chadoeuf, J.; Carrère, P.; Dumont, B. A hierarchical model for analysing the stability of vegetation patterns created by grazing in temperate pastures. Appl. Veg. Sci. 2015, 14, 189–199. [Google Scholar] [CrossRef]
- Shang, Z.H.; Deng, B.; Ding, L.M.; Ren, G.H.; Xin, G.H.; Liu, Z.Y.; Wang, Y.L.; Long, R.J. The effects of three years of fencing enclosure on soil seed banks and the relationship with above-ground vegetation of degraded alpine grasslands of the Tibetan plateau. Plant Soil 2013, 364, 229–244. [Google Scholar] [CrossRef]
- Liu, G.S. Soil Physical and Chemical Analysis Description of Soil Profiles; Standards Press of China: Beijing, China, 1996. [Google Scholar]
- Lin, L.; Cao, G.M.; Zhang, F.W.; Ke, X.; Li, Y.K.; Xu, X.L.; Li, Q.; Guo, X.W.; Fan, B.; Du, Y.G. Spatial and Temporal Variations in Available Soil Nitrogen—A Case Study in Kobresia Alpine Meadow in the Qinghai-Tibetan Plateau, China. J. Geosci. Environ. Prot. 2019, 7, 177–189. [Google Scholar] [CrossRef]
- Luo, L.Q.; Wei, H.Q. Statistics; China Financial and Economic Publishing House: Beijing, China, 2011. [Google Scholar]
- Lavorel, S.; Grigulis, K.; Mcintyre, S.; Williams, N.; Garden, D.; Dorrough, J.; Berman, S.; Quétier, F.; Thébault, A.; Bonis, A. Assessing functional diversity in the field-Methodology matters! Funct. Ecol. 2007, 22, 134–147. [Google Scholar] [CrossRef]
- Wang, L. Behavioral Adaptive Mechanisms of Large Herbivore Foraging in Response to Diversity and Spatial Pattern of Plants; Northeast Normal University: Changchun, China, 2010. [Google Scholar]
- Lin, L.; Cao, G.M.; Li, Y.K.; Zhang, F.W.; Guo, X.W.; Han, D.R. Effects of human activities on organic carbon storage in the Kobresia hummilis meadow ecosystem on the Tibetan Plateau. Acta Ecol. Sin. 2010, 30, 4012–4018. [Google Scholar]
- Xu, C.H.; Wang, H.J.; Liu, Q.X.; Wang, B. Alternative stable states and tipping points of ecosystems. Biodivers. Sci. 2020, 28, 1417–1430. [Google Scholar] [CrossRef]
- Qiu, Q.; Wang, L.Z.; Wang, K.; Yang, Y.Z.; Ma, T.; Wang, Z.F.; Zhang, X.; Ni, Z.Q.; Hou, F.J.; Long, R.J.; et al. Yak Whole-Genome Resequencing Reveals Domestication Signatures and Prehistoric Population Expansions. Nat. Commun. 2015, 6, 10283. [Google Scholar] [CrossRef]
- Ren, J.Z.; Hou, F.J.; Xu, G. Conservation and inheritance of nomadic culture. Pratacultural Sci. 2010, 27, 5–10. [Google Scholar]
- Hou, F.J.; Yang, Z.Y. Effects of grazing of livestock on grassland. Acta Ecol. Sin. 2006, 26, 244–264. [Google Scholar]
- Miehe, G.; Miehe, S.; Schlütz, F. Early human impact in the forest ecotone of southern High Asia. Quat. Res. 2009, 71, 255–265. [Google Scholar] [CrossRef]











| Gramineae-Kobresia humilis Meadow | Kobresia humilis Meadow | Kobresia pygmaea Meadow with Mattic Epipedon Thickening | Kobresia pygmaea Meadow with Mattic Epipedon Cracking | |
|---|---|---|---|---|
| Location | 37°39.023′ N, 101°10.638′ E; 3230 m | 37°40.155′ N, 101°10.021′ E; 3241 m | 37°40.054′ N, 101°10.620′ E; 3239 m | 37°42.089′ N, 101°15.928′ E; 3278 m |
| Grazing intensity (number of sheep/ha) | 3.75 | 7.25 | 8.50 | 11.75 |
| Soil surface features | No obvious cracking | No obvious cracking | Cracking area less than 8% | Cracking areas 10–15% |
| Thickness of the mattic epipedon | <5 cm | 5–6 cm | 7–8 cm | 8–9 cm |
| Gramineae Micro-Patch | Gramineae-Kobresia Transformation Micro-Patch | Kobresia Micro-Patch | |
|---|---|---|---|
| Characteristics of the plant community | Stipa spp., Festuca spp., Ptilagrostis spp. and Helictotrichon tibeticum individually or in combination as the dominant plants, with Kobresia humilis and/or K. pgymaea as the companion species | K. humilis, K. pgymaea, Stipa spp., Festuca spp., Ptilagrostis spp. and Helictotrichon tibeticum individually or in combination as the dominant plants | K. humilis or K. pgymaea as the dominant plants, with Stipa spp., Festuca spp., Ptilagrostis spp. and Helictotrichon tibeticum as the companion species |
| Characteristics of the soil surface | No obvious cracking in the mattic epipedon | Obvious cracking in the mattic epipedon across the micro-patch, with | No obvious cracking in the mattic epipedon |
| Characteristics of the soil biological crust | Moss as the dominant soil biological crust, with algae and lichen as the companion biological crust | moss, algae, and lichen as the dominant biological soil components | Algae and lichen as the dominant soil biological crust, with moss as the companion biological crust |
| 0–5 cm | 5–10 cm | 10–20 cm | 20–30 cm | 30–40 cm | ||
|---|---|---|---|---|---|---|
| pH | Spatial | 25.30 | 26.02 | 0.53 | 0.28 | 0.28 |
| Recovery treatment | 0.00 | 0.00 | 18.75 | 8.53 | 6.95 | |
| Degradation succession | 35.27 | 38.89 | 28.56 | 10.93 | 12.49 | |
| Temporal | 39.43 | 35.09 | 52.16 | 80.26 | 80.29 | |
| SOM | Spatial | 79.70 | 69.80 | 78.48 | 80.51 | 58.34 |
| Recovery treatment | 0.25 | 0.00 | 0.00 | 0.00 | 2.07 | |
| Degradation succession | 9.89 | 10.07 | 9.77 | 8.10 | 33.17 | |
| Temporal | 10.16 | 20.13 | 11.75 | 11.39 | 6.42 | |
| TC | Spatial | 80.35 | 72.37 | 61.44 | 20.23 | 12.45 |
| Recovery treatment | 0.00 | 0.00 | 0.00 | 0.00 | 0.62 | |
| Degradation succession | 10.49 | 11.26 | 12.50 | 4.62 | 7.22 | |
| Temporal | 9.16 | 16.37 | 26.06 | 75.16 | 79.71 | |
| IC | Spatial | 49.80 | 66.63 | 79.58 | 96.83 | 53.29 |
| Recovery treatment | 20.99 | 0.00 | 0.00 | 0.00 | 0.00 | |
| Degradation succession | 5.39 | 4.85 | 17.84 | 3.17 | 4.81 | |
| Temporal | 23.82 | 28.52 | 2.58 | 0.00 | 41.90 | |
| TN | Spatial | 76.34 | 60.52 | 78.32 | 64.45 | 74.40 |
| Recovery treatment | 6.38 | 2.27 | 0.00 | 8.93 | 9.19 | |
| Degradation succession | 13.70 | 19.37 | 5.40 | 7.55 | 4.99 | |
| Temporal | 3.58 | 17.84 | 16.29 | 19.07 | 11.43 | |
| STP | Spatial | 80.15 | 89.89 | 46.44 | 53.82 | 36.46 |
| Recovery treatment | 0.00 | 0.00 | 44.99 | 3.96 | 17.16 | |
| Degradation succession | 19.85 | 10.11 | 0.93 | 12.48 | 24.23 | |
| Temporal | 0.00 | 0.00 | 7.64 | 29.74 | 22.15 | |
| TK | Spatial | 42.28 | 31.44 | 31.77 | 31.17 | 25.37 |
| Recovery treatment | 39.57 | 33.62 | 24.61 | 0.00 | 17.10 | |
| Degradation succession | 3.96 | 24.82 | 15.21 | 26.62 | 10.95 | |
| Temporal | 14.18 | 10.12 | 28.41 | 42.20 | 46.58 | |
| avK | Spatial | 45.50 | 64.99 | 71.36 | 65.71 | 64.25 |
| Recovery treatment | 1.83 | 0.00 | 0.00 | 0.00 | 0.00 | |
| Degradation succession | 17.99 | 32.79 | 27.99 | 19.24 | 7.55 | |
| Temporal | 34.68 | 2.22 | 0.66 | 15.05 | 28.20 | |
| avP | Spatial | 23.44 | 14.79 | 30.28 | 40.41 | 24.56 |
| Recovery treatment | 0.00 | 0.00 | 0.23 | 1.79 | 8.88 | |
| Degradation succession | 30.14 | 17.28 | 17.74 | 28.05 | 15.68 | |
| Temporal | 46.42 | 67.93 | 51.75 | 29.75 | 50.88 | |
| NH4+ | Spatial | 27.00 | 18.37 | 35.45 | 26.64 | 26.29 |
| Recovery treatment | 19.80 | 33.52 | 0.00 | 4.53 | 10.78 | |
| Degradation succession | 4.81 | 0.00 | 0.00 | 0.00 | 0.00 | |
| Temporal | 48.39 | 48.11 | 64.55 | 68.83 | 62.92 | |
| NO3− | Spatial | 59.21 | 60.15 | 65.38 | 48.81 | 44.21 |
| Recovery treatment | 26.33 | 16.83 | 3.59 | 21.89 | 38.94 | |
| Degradation succession | 0.00 | 0.00 | 0.00 | 0.00 | 0.00 | |
| Temporal | 14.46 | 23.02 | 31.03 | 29.31 | 16.86 |
Publisher’s Note: MDPI stays neutral with regard to jurisdictional claims in published maps and institutional affiliations. |
© 2022 by the authors. Licensee MDPI, Basel, Switzerland. This article is an open access article distributed under the terms and conditions of the Creative Commons Attribution (CC BY) license (https://creativecommons.org/licenses/by/4.0/).
Share and Cite
Lin, L.; Cao, G.; Guo, X.; Li, Q.; Qian, D.; Du, Y.; Huang, J.; Fan, B.; Li, B.; Lan, Y.; et al. The Process of Soil Nutrient Stabilization in Micro-Patches in Alpine Kobresia Meadows. Diversity 2022, 14, 656. https://doi.org/10.3390/d14080656
Lin L, Cao G, Guo X, Li Q, Qian D, Du Y, Huang J, Fan B, Li B, Lan Y, et al. The Process of Soil Nutrient Stabilization in Micro-Patches in Alpine Kobresia Meadows. Diversity. 2022; 14(8):656. https://doi.org/10.3390/d14080656
Chicago/Turabian StyleLin, Li, Guangmin Cao, Xiaowei Guo, Qian Li, Dawen Qian, Yangong Du, Junjie Huang, Bo Fan, Bencuo Li, Yuting Lan, and et al. 2022. "The Process of Soil Nutrient Stabilization in Micro-Patches in Alpine Kobresia Meadows" Diversity 14, no. 8: 656. https://doi.org/10.3390/d14080656
APA StyleLin, L., Cao, G., Guo, X., Li, Q., Qian, D., Du, Y., Huang, J., Fan, B., Li, B., Lan, Y., & Si, M. (2022). The Process of Soil Nutrient Stabilization in Micro-Patches in Alpine Kobresia Meadows. Diversity, 14(8), 656. https://doi.org/10.3390/d14080656

