Species Diversity Has a Positive Interrelationship with Aboveground Biomass and a Mismatch with Productivity in a Subtropical Broadleaf Forest on the Wuyi Mountains, China
Abstract
1. Introduction
2. Materials and Methods
2.1. Study Site
2.2. Community Survey and Species Diversity Measuring
2.3. Measuring Above-Ground Biomass and Productivity
2.4. Data Analysis
3. Results
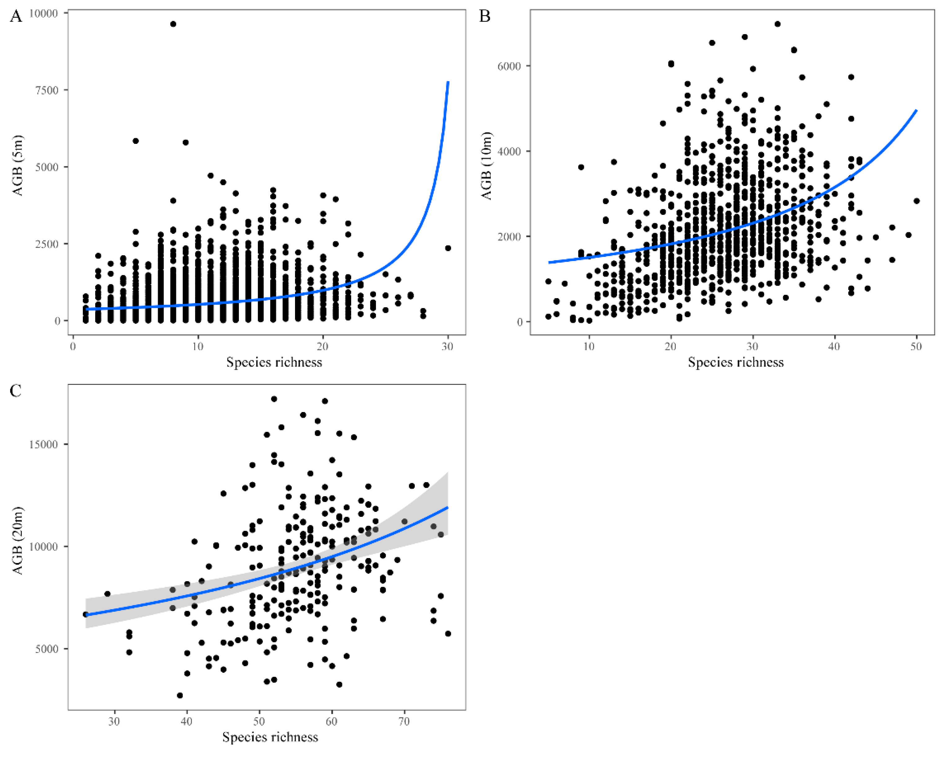
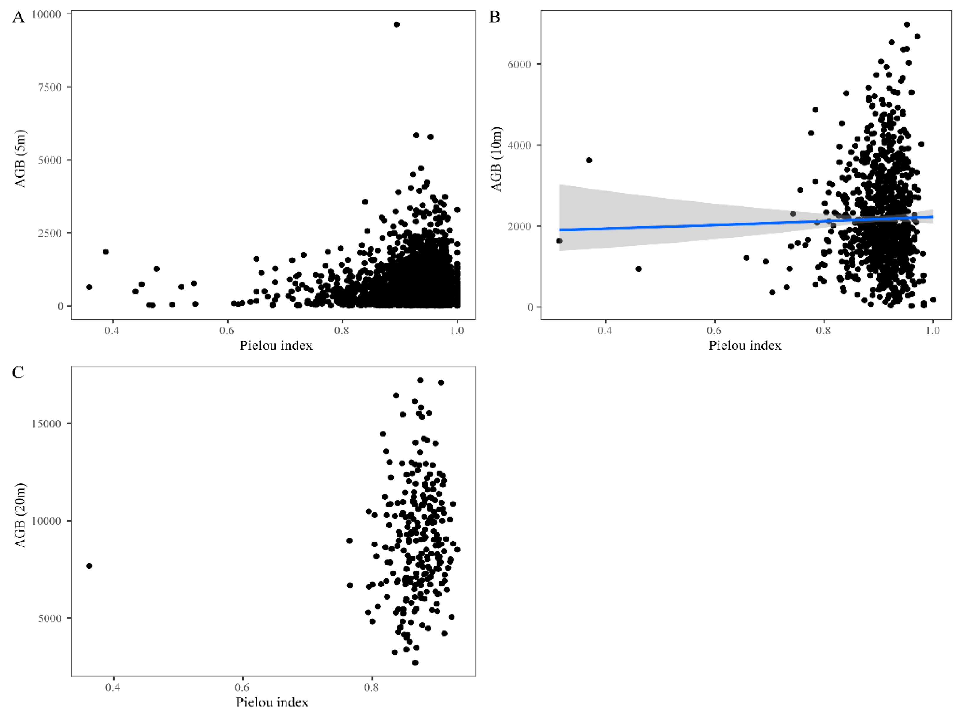
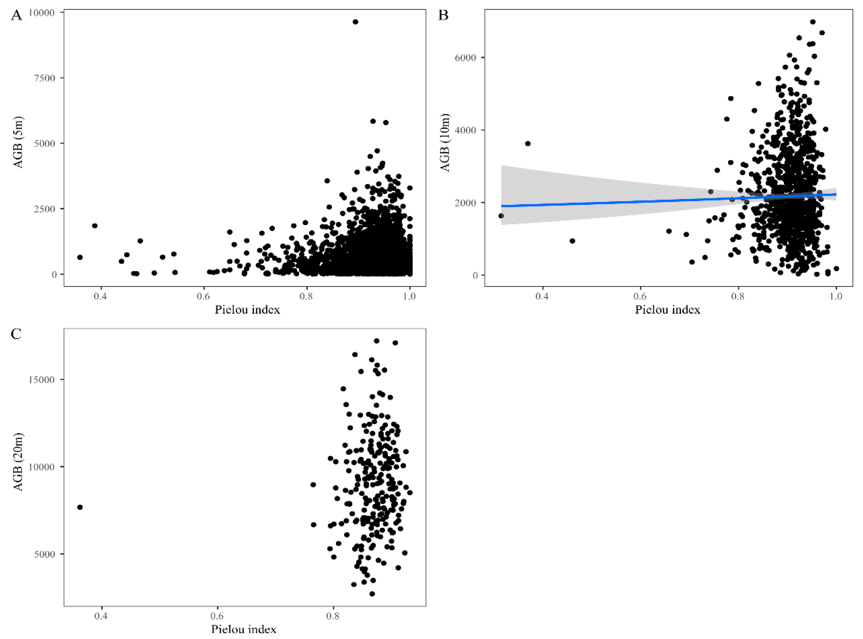
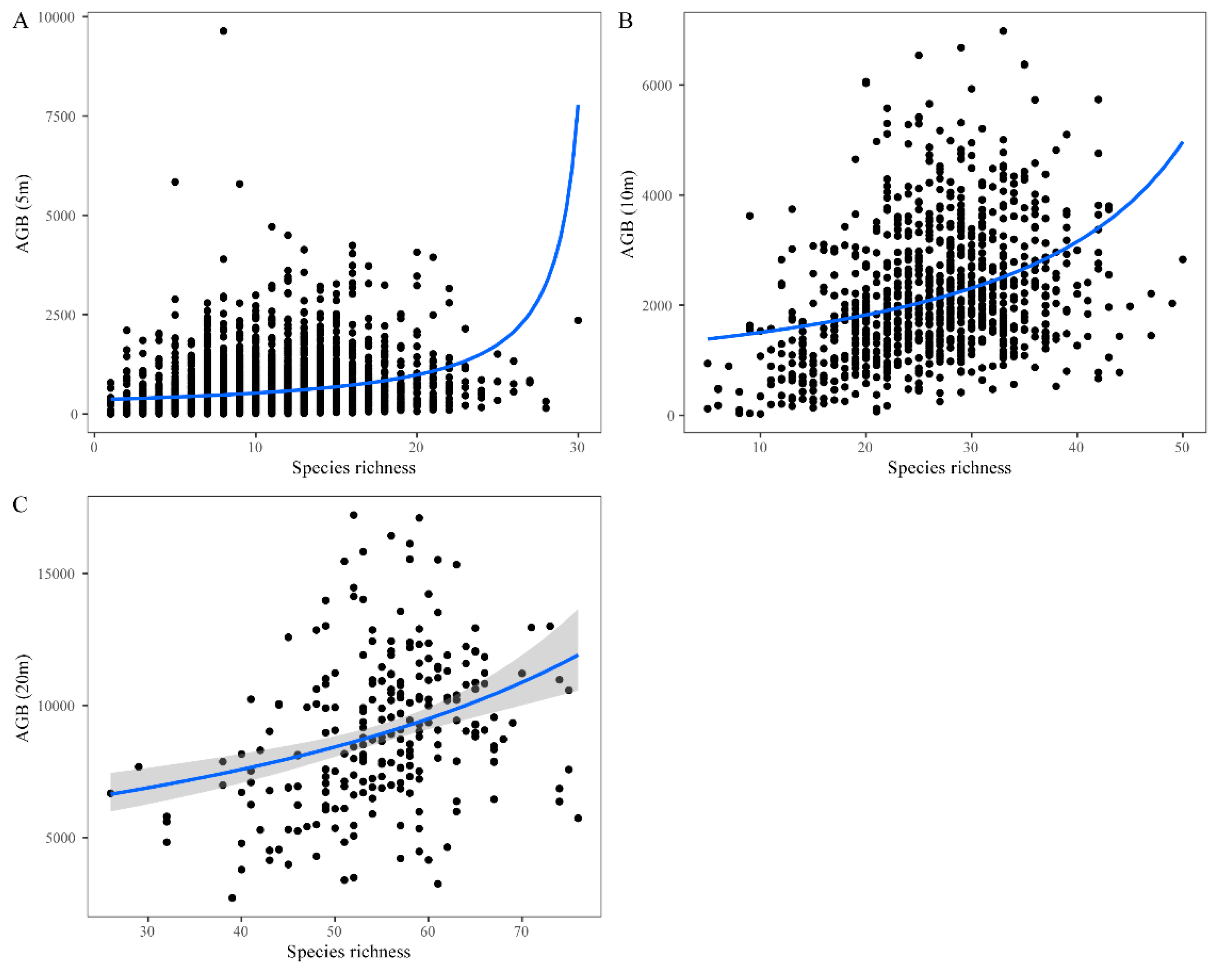
3.1. Relationships between Species Diversity and Biomass/Productivity
3.2. Key Factors Affecting Above-Ground Biomass and Productivity
4. Discussion
4.1. Positive Relationships Found between Species Diversity and Biomass/Productivity
4.2. Influences of Environmental Factors on Species Diversity and Ecosystem Functioning
5. Conclusions
Supplementary Materials
Author Contributions
Funding
Institutional Review Board Statement
Data Availability Statement
Acknowledgments
Conflicts of Interest
References
- Chen, G.K.; Wang, X.; Ma, K.P. Red list of China’s forest ecosystems: A conservation assessment and protected area gap analysis. Biol. Conserv. 2020, 248, 108636. [Google Scholar] [CrossRef]
- Huang, X.; Lang, X.; Li, S.; Liu, W.; Su, J. Indicator selection and driving factors of ecosystem multifunctionality: Research status and perspectives. Biodivers. Sci. 2021, 29, 1673. [Google Scholar] [CrossRef]
- Kurz, W.A.; Apps, M.J. Contribution of northern forests to the global C cycle: Canada as a case study. In Terrestrial Biospheric Carbon Fluxes Quantification of Sinks and Sources of CO2; Springer: Berlin/Heidelberg, Germany, 1993; pp. 163–176. [Google Scholar]
- Waring, R.H.; Running, S.W. Forest Ecosystems: Analysis at Multiple Scales; Elsevier: Amsterdam, The Netherlands, 2010. [Google Scholar]
- Ding, H.; Fang, Y.; Yang, Q.; Chen, X.; Yuan, F.; Xu, H.; He, L.; Yan, J.; Chen, T.; Yu, C.; et al. Community characteristics of a mid-subtropical evergreen broad-leaved forest plot in the Wuyi Mountains, Fujian Province, southeastern China. Biodivers. Sci. 2015, 23, 479–492. [Google Scholar] [CrossRef]
- Magurran, A.E. Ecological Diversity and Its Measurement; Princeton University Press: Princeton, NJ, USA, 1988. [Google Scholar]
- Jing, X.; Prager, C.M.; Classen, A.T.; Maestre, F.T.; He, J.; Sanders, N.J. Variation in the methods leads to variation in the interpretation of biodiversity-ecosystem multifunctionality relationships. J. Plant Ecol. 2020, 13, 431–441. [Google Scholar] [CrossRef]
- Zhang, G.; Wang, D.; Chai z Zhang, C.; Liu, W.; Zhang, S. Distribution Characteristics of Two Typical Natural Forest Spatial Structure Parameters in Xiaolongshan. For. Res. 2015, 28, 531. [Google Scholar]
- Ma, W.; He, J.S.; Yang, Y.; Wang, X.; Liang, C.; Anwar, M.; Zeng, H.; Fang, J.; Schmid, B. Environmental factors covary with plant diversity–productivity relationships among Chinese grassland sites. Glob. Ecol. Biogeogr. 2010, 19, 233–243. [Google Scholar] [CrossRef]
- Mokany, K.; Ash, J.; Roxburgh, S. Functional identity is more important than diversity in influencing ecosystem processes in a temperate native grassland. J. Ecol. 2008, 96, 884–893. [Google Scholar] [CrossRef]
- Tilman, D.; Lehman, C.L.; Thomson, K.T. Plant diversity and ecosystem productivity: Theoretical considerations. Proc. Natl. Acad. Sci. USA 1997, 94, 1857–1861. [Google Scholar] [CrossRef]
- Zhang, Q.; Zhang, D. Biodiversity and ecosystem functioning: Recent advances and controversies. Biodivers. Sci. 2002, 10, 49–60. [Google Scholar]
- Zhang, Q.; Zhang, D. Biodiversity and ecosystem functioning: Recent advances and trends. Biodivers. Sci. 2003, 11, 351–363. [Google Scholar]
- Luo, W.; Liang, J.; Cazzolla Gatti, R.; Zhao, X.; Zhang, C. Parameterization of biodiversity–productivity relationship and its scale dependency using georeferenced tree-level data. J. Ecol. 2019, 107, 1106–1119. [Google Scholar] [CrossRef]
- Lasky, J.R.; Uriarte, M.; Boukili, V.K.; Erickson, D.L.; John Kress, W.; Chazdon, R.L. The relationship between tree biodiversity and biomass dynamics changes with tropical forest succession. Ecol. Lett. 2014, 17, 1158–1167. [Google Scholar] [CrossRef] [PubMed]
- Zhang, Q.; Niu, J.; Buyantuyev, A.; Zhang, J.; Ding, Y.; Dong, J. Productivity–species richness relationship changes from unimodal to positive linear with increasing spatial scale in the Inner Mongolia steppe. Ecol. Res. 2011, 26, 649–658. [Google Scholar] [CrossRef]
- Waide, R.B.; Willig, M.R.; Steiner, C.F.; Mittelbach, G.; Gough, L.; Dodson, S.I.; Juday, G.P.; Parmenter, R. The relationship between productivity and species richness. Annu. Rev. Ecol. Syst. 1999, 30, 257–300. [Google Scholar] [CrossRef]
- Mittelbach, G.G.; Steiner, C.F.; Scheiner, S.M.; Gross, K.L.; Reynolds, H.L.; Waide, R.B.; Willig, M.R.; Dodson, S.I.; Gough, L. What is the observed relationship between species richness and productivity? Ecology 2001, 82, 2381–2396. [Google Scholar] [CrossRef]
- Gillman, L.N.; Wright, S.D. The influence of productivity on the species richness of plants: A critical assessment. Ecology 2006, 87, 1234–1243. [Google Scholar] [CrossRef]
- Grace, J.B.; Anderson, T.M.; Seabloom, E.W.; Borer, E.T.; Adler, P.B.; Harpole, W.S.; Hautier, Y.; Hillebrand, H.; Lind, E.M.; Pärtel, M.; et al. Integrative modelling reveals mechanisms linking productivity and plant species richness. Nature 2016, 529, 390–393. [Google Scholar] [CrossRef]
- Adler, P.B.; Seabloom, E.W.; Borer, E.T.; Hillebrand, H.; Hautier, Y.; Hector, A.; Harpole, W.S.; O’Halloran, L.R.; Grace, J.B.; Anderson, T.M. Productivity is a poor predictor of plant species richness. Science 2011, 333, 1750–1753. [Google Scholar] [CrossRef]
- Hagan, J.G.; Vanschoenwinkel, B.; Gamfeldt, L. We should not necessarily expect positive relationships between biodiversity and ecosystem functioning in observational field data. Ecol. Lett. 2021, 24, 2537–2548. [Google Scholar] [CrossRef]
- Zhao, F.; Xu, M. Research Progress on the Relationship between Productivity and Biodiversity. J. Nat. Resour. 2018, 33, 2046–2056. [Google Scholar]
- Cavanaugh, K.C.; Gosnell, J.S.; Davis, S.L.; Ahumada, J.; Boundja, P.; Clark, D.B.; Mugerwa, B.; Jansen, P.A.; O’Brien, T.G.; Rovero, F.; et al. Biodiversity and aboveground carbon storage. Glob. Ecol. Biogeogr. 2014, 23, 563–573. [Google Scholar] [CrossRef]
- Rosenzweig, M.L. Species Diversity Gradients: We Know More and Less Than We Thought. J. Mammal. 1992, 73, 715–730. [Google Scholar] [CrossRef]
- Rosenzweig, M.L.; Abramsky, Z. How are Diversity and Productivity Related?: Species Diversity in Ecological Communities: Historical and Geographical Perspectives. Madroño Is Q. Publ. Calif. Bot. Soc. 1993, 42, 523–525. [Google Scholar]
- Grime, J. Benefits of plant diversity to ecosystems: Immediate, filter and founder effects. J. Ecol. 1998, 86, 902–910. [Google Scholar] [CrossRef]
- Harms, K.E.; Condit, R.; Hubbell, S.P.; Foster, R.B. Habitat associations of trees and shrubs in a 50-ha neotropical forest plot. J. Ecol. 2001, 89, 947–959. [Google Scholar] [CrossRef]
- Xie, L.; Chen, S.; Feng, Y.; Li, Y.; Wang, L.; He, L.; Huang, L.; Wu, J.; Guo, K.; Ding, H.; et al. Mismatch Between Specific and Genetic Diversity in an Evergreen Broadleaf Forest in Southeast China: A Study Case of 10.24 ha Forest Dynamics Plot of Huangshan. Front. Plant Sci. 2022, 12, 706006. [Google Scholar] [CrossRef]
- Vegan: Community Ecology Package. R Package Version 2.4-4. 2017, pp. 631–637. Available online: https://cran.r-project.org/web/packages/vegan/index.html (accessed on 16 September 2022).
- Gonzalez-Akre, E.; Piponiot, C.; Lepore, M.; Herrmann, V.; Lutz, J.A.; Baltzer, J.L.; Dick, C.W.; Gilbert, G.S.; He, F.; Heym, M.; et al. allodb: An R package for biomass estimation at globally distributed extratropical forest plots. Methods Ecol. Evol. 2021, 13, 330–338. [Google Scholar] [CrossRef]
- Lefcheck, J.S. piecewiseSEM: Piecewise structural equation modelling in r for ecology, evolution, and systematics. Methods Ecol. Evol. 2016, 7, 573–579. [Google Scholar] [CrossRef]
- Chave, J.; Andalo, C.; Brown, S.; Cairns, M.A.; Chambers, J.Q.; Eamus, D.; Fölster, H.; Fromard, F.; Higuchi, N.; Kira, T.; et al. Tree allometry and improved estimation of carbon stocks and balance in tropical forests. Oecologia 2005, 145, 87–99. [Google Scholar] [CrossRef]
- Vile, D.; Shipley, B.; Garnier, E. Ecosystem productivity can be predicted from potential relative growth rate and species abundance. Ecol. Lett. 2006, 9, 1061–1067. [Google Scholar] [CrossRef]
- Nakagawa, S.; Johnson, P.C.D.; Schielzeth, H. The coefficient of determination R-2 and intra-class correlation coefficient from generalized linear mixed-effects models revisited and expanded. J. R. Soc. Interface 2017, 14, 20170213. [Google Scholar] [CrossRef]
- Lin, D.; Lai, J.; Muller-Landau, H.C.; Mi, X.; Ma, K. Topographic variation in aboveground biomass in a subtropical evergreen broad-leaved forest in China. PLoS ONE 2012, 7, e48244. [Google Scholar] [CrossRef] [PubMed]
- Liu, H.; Xue, D.; Sang, W. Effect of topographic factors on the relationship between species richness and aboveground biomass in a warm temperate forest. Ecol. Environ. Sci. 2012, 21, 1403–1407. [Google Scholar]
- Wu, C.; Han, W.; Jiang, B.; Liu, B.; Yuan, W.; Shen, A.; Huang, Y.; Zhu, J. Relationships between species richness and biomass/productivity depend on environmental factors in secondary forests of Dinghai, Zhejiang Province. Biodivers. Sci. 2018, 26, 545. [Google Scholar] [CrossRef]
- Wen, C.; Jin, G. Effects of functional diversity on productivity in a typical mixed broadleaved-Korean pine forest. Chin. J. Plant Ecol. 2019, 43, 94–106. [Google Scholar]
- Li, Y.; Bao, W.; Bongers, F.; Chen, B.; Chen, G.; Guo, K.; Jiang, M.; Lai, J.; Lin, D.; Liu, C.; et al. Drivers of tree carbon storage in subtropical forests. Sci. Total Environ. 2019, 654, 684–693. [Google Scholar] [CrossRef]
- Poorter, L.; van der Sande, M.T.; Thompson, J.; Arets, E.J.; Alarcón, A.; Álvarez-Sánchez, J.; Ascarrunz, N.; Balvanera, P.; Barajas-Guzmán, G.; Boit, A.; et al. Diversity enhances carbon storage in tropical forests. Glob. Ecol. Biogeogr. 2015, 24, 1314–1328. [Google Scholar] [CrossRef]
- Carreno-Rocabado, G.; Pena-Claros, M.; Bongers, F.; Alarcon, A.; Licona, J.C.; Poorter, L. Effects of disturbance intensity on species and functional diversity in a tropical forest. J. Ecol. 2012, 100, 1453–1463. [Google Scholar] [CrossRef]
- Chisholm, R.A.; Muller-Landau, H.C.; Abdul Rahman, K.; Bebber, D.P.; Bin, Y.; Bohlman, S.A.; Bourg, N.A.; Brinks, J.; Bunyavejchewin, S.; Butt, N.; et al. Scale-dependent relationships between tree species richness and ecosystem function in forests. J. Ecol. 2013, 101, 1214–1224. [Google Scholar] [CrossRef]
- Anderson, T.M.; McNaughton, S.J.; Ritchie, M.E. Scale-dependent relationships between the spatial distribution of a limiting resource and plant species diversity in an African grassland ecosystem. Oecologia 2004, 139, 277–287. [Google Scholar] [CrossRef]




| Species Diversity | Scale | Inverse Link | Log Link | ||||||
|---|---|---|---|---|---|---|---|---|---|
| AIC | Coefficients | Intercept | p | AIC | Coefficients | Intercept | p | ||
| Species richness | 5 m × 5 m | 55,863 | −8.87 × 10−5 | 2.79 × 10−3 | *** | 55,798 | 0.07 | 5.57 | *** |
| 10 m × 10 m | 16,068 | −3.86 × 10−6 | 5.65 × 10−4 | *** | 15,997 | 0.03 | 6.85 | *** | |
| 20 m × 20 m | 4473.4 | −1.30 × 10−6 | 1.90 × 10−4 | *** | 4470.7 | 0.01 | 8.38 | *** | |
| Shannon-Wiener diversity | 5 m × 5 m | 55,891 | −1.01 × 10−4 | 2.76 × 10−4 | *** | 55,841 | 0.08 | 5.62 | *** |
| 10 m × 10 m | 16,050 | −1.10 × 10−5 | −6.80 × 10−4 | *** | 15,997 | 0.03 | 6.85 | *** | |
| 20 m × 20 m | 4480.9 | −1.40 × 10−6 | 1.59 × 10−4 | *** | 4479.3 | 0.01 | 8.64 | *** | |
| Pielou Index | 5 m × 5 m | 55,595 | 0.4 × 10−3 | 0.001 | 0.42 | 55,595 | −0.27 | 6.60 | 0.38 |
| 10 m × 10 m | 16,067 | −0.1 × 10−3 | 0.001 | 0.51 | 15,997 | 0.03 | 6.85 | *** | |
| 20 m × 20 m | 4495.2 | −9.2 × 10−5 | 1.91 × 10−4 | 0.12 | 4495.4 | 0.70 | 8.50 | 0.12 | |
| Species Diversity | Scale | Coefficients Estimation | Intercept | p |
|---|---|---|---|---|
| Species richness | 5 m × 5 m | –0.004 | –1.73 | 0.68 |
| 10 m × 10 m | –0.004 | –1.73 | 0.68 | |
| 20 m × 20 m | 0.0003 | –1.82 | 0.99 | |
| S-W diversity | 5 m × 5 m | –0.004 | –1.73 | 0.68 |
| 10 m × 10 m | –0.004 | –1.73 | 0.68 | |
| 20 m × 20 m | –0.0004 | –1.79 | 0.99 | |
| Pielou index | 5 m × 5 m | –0.004 | –1.73 | 0.68 |
| 10 m × 10 m | –0.001 | –1.75 | 0.93 | |
| 20 m × 20 m | –0.16 | –1.66 | 0.96 |
Publisher’s Note: MDPI stays neutral with regard to jurisdictional claims in published maps and institutional affiliations. |
© 2022 by the authors. Licensee MDPI, Basel, Switzerland. This article is an open access article distributed under the terms and conditions of the Creative Commons Attribution (CC BY) license (https://creativecommons.org/licenses/by/4.0/).
Share and Cite
Chen, S.; Xie, L.; Zhou, W.; Chen, H.; Xu, X.; Jiang, S.; Zang, M.; Peng, Y.; Chen, X.; Duan, Y.; et al. Species Diversity Has a Positive Interrelationship with Aboveground Biomass and a Mismatch with Productivity in a Subtropical Broadleaf Forest on the Wuyi Mountains, China. Diversity 2022, 14, 952. https://doi.org/10.3390/d14110952
Chen S, Xie L, Zhou W, Chen H, Xu X, Jiang S, Zang M, Peng Y, Chen X, Duan Y, et al. Species Diversity Has a Positive Interrelationship with Aboveground Biomass and a Mismatch with Productivity in a Subtropical Broadleaf Forest on the Wuyi Mountains, China. Diversity. 2022; 14(11):952. https://doi.org/10.3390/d14110952
Chicago/Turabian StyleChen, Shuifei, Lei Xie, Weilun Zhou, Hao Chen, Xianjun Xu, Sian Jiang, Mingyue Zang, Ye Peng, Xin Chen, Yifan Duan, and et al. 2022. "Species Diversity Has a Positive Interrelationship with Aboveground Biomass and a Mismatch with Productivity in a Subtropical Broadleaf Forest on the Wuyi Mountains, China" Diversity 14, no. 11: 952. https://doi.org/10.3390/d14110952
APA StyleChen, S., Xie, L., Zhou, W., Chen, H., Xu, X., Jiang, S., Zang, M., Peng, Y., Chen, X., Duan, Y., Chen, L., Li, X., Ding, H., & Fang, Y. (2022). Species Diversity Has a Positive Interrelationship with Aboveground Biomass and a Mismatch with Productivity in a Subtropical Broadleaf Forest on the Wuyi Mountains, China. Diversity, 14(11), 952. https://doi.org/10.3390/d14110952

