Bioacoustics Reveal Hidden Diversity in Frogs: Two New Species of the Genus Limnonectes from Myanmar (Amphibia, Anura, Dicroglossidae)
Abstract
:1. Introduction
2. Materials and Methods
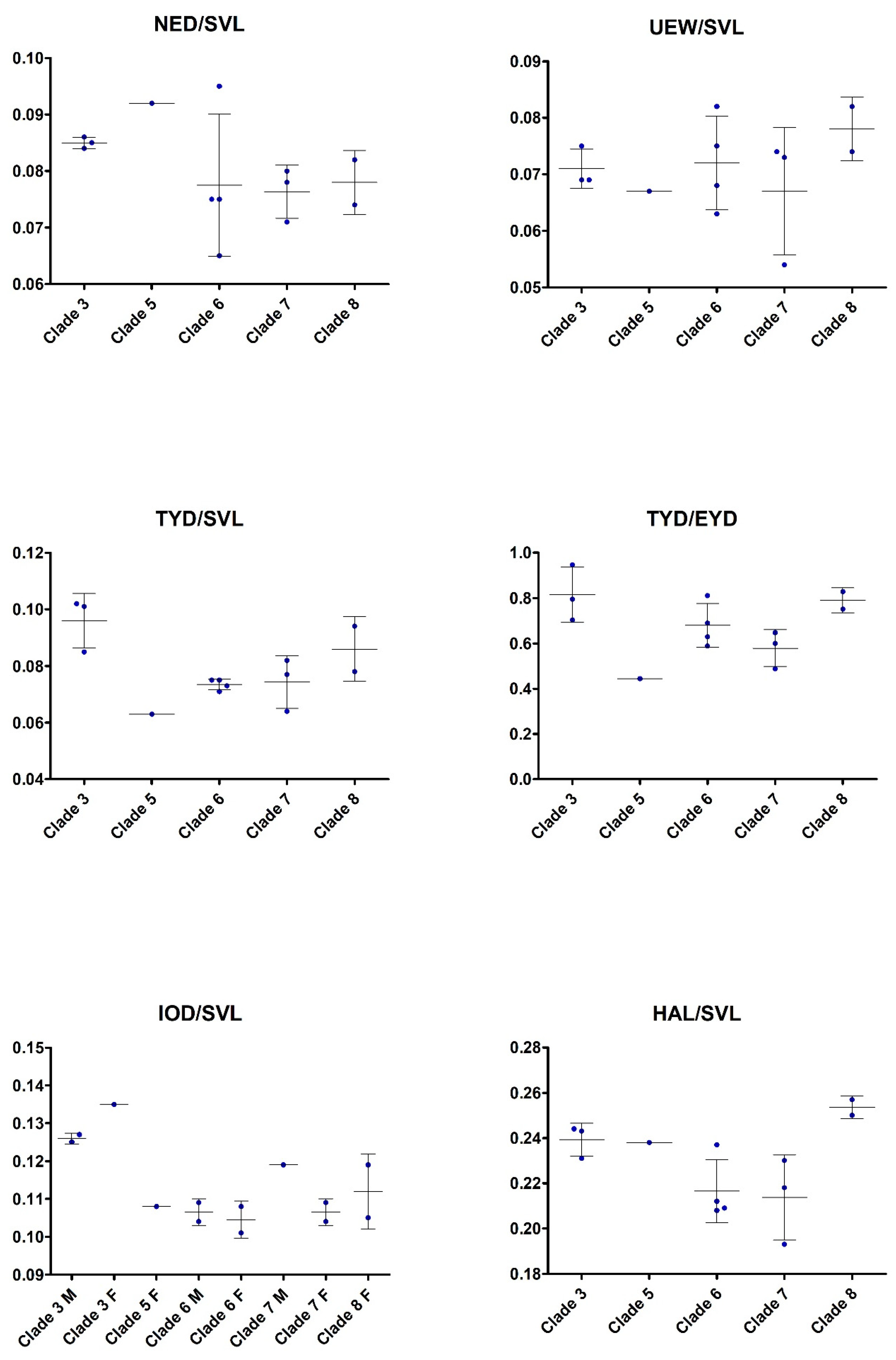
3. Results and Conclusions
4. Discussion
Author Contributions
Funding
Institutional Review Board Statement
Informed Consent Statement
Data Availability Statement
Acknowledgments
Conflicts of Interest
Appendix A. Comparative Specimens Examined
Appendix B
| Species | GenBank Accession No. | Voucher |
|---|---|---|
| Fejervarya limnocharis | AF206466 | USNM 520407 |
| Limnonectes bagoensis | MZ578030 | HML-030 |
| Limnonectes bagoensis | MZ578031 | HML-033 |
| Limnonectes bagoensis | MZ578010 | CAS 213272 |
| Limnonectes bagoensis | MZ578025 | GK-6742/SMF 104090 |
| Limnonectes bagoensis | MZ578026 | GK-6743/SMF 104091 |
| Limnonectes bagoensis | MZ578027 | GK-7091/SMF 106038 |
| Limnonectes bagoensis | MZ578028 | GK-7093/SMF 106039 |
| Limnonectes bagoensis | MZ578029 | GK-7142/SMF 106040 |
| Limnonectes bagoyoma | MZ578045 | GK-7110/SMF 106034 |
| Limnonectes bagoyoma | MZ578046 | GK-7111/SMF 106035 |
| Limnonectes bagoyoma | MZ578047 | GK-7136/SMF 106036 |
| Limnonectes bagoyoma | MZ578050 | HML-032 |
| Limnonectes bannaensis | KR827879 | #2004.0342 |
| Limnonectes coffeatus | KY768796 | NCSM 77785 |
| Limnonectes coffeatus | KY768797 | NCSM 77786 |
| Limnonectes dabanus | MK688608 | MVZ 258240 |
| Limnonectes dabanus | MK688609 | MVZ 258244 |
| Limnonectes doriae | GU934330 | CAS 208425 |
| Limnonectes doriae | MG935863 | USNM 587327 |
| Limnonectes doriae | MG935864 | USNM 587096 |
| Limnonectes doriae | MG935865 | CAS 248173 |
| Limnonectes doriae | MG935866 | USNM 587326 |
| Limnonectes doriae | MG935867 | USNM 587306 |
| Limnonectes doriae | MG935868 | USNM 587303 |
| Limnonectes doriae | MG935871 | USNM 586919 |
| Limnonectes doriae | MG935877 | USNM 586913 |
| Limnonectes doriae | MK688573 | CAS 211632 |
| Limnonectes doriae | MK688574 | CAS 229581 |
| Limnonectes doriae | MK688575 | CAS 229714 |
| Limnonectes doriae | MK688576 | FMNH 268506 |
| Limnonectes doriae | MK688577 | FMNH 268509 |
| Limnonectes doriae | MK688578 | FMNH 270111 |
| Limnonectes doriae | MK688579 | FMNH 270113 |
| Limnonectes doriae | MW567806 | ZMKU 01521 |
| Limnonectes doriae | MW567807 | ZMKU 01522 |
| Limnonectes doriae | MW567808 | ZMKU AM 01523 |
| Limnonectes doriae | MW567809 | ZMKU AM 01524 |
| Limnonectes doriae | MW567810 | ZMKU AM 01525 |
| Limnonectes doriae | MW567811 | ZMKU AM 01526 |
| Limnonectes doriae | MW567812 | ZMKU AM 01527 |
| Limnonectes doriae | MW567813 | ZMKU AM 01528 |
| Limnonectes doriae | MW567814 | ZMKU AM 01530 |
| Limnonectes doriae | MW567815 | ZMKU AM 01534 |
| Limnonectes doriae | MW567816 | ZMKU AM 01543 |
| Limnonectes doriae | MW567817 | ZMKU AM 01545 |
| Limnonectes doriae | MW567818 | ZMKU AM 01547 |
| Limnonectes doriae | MW567819 | ZMKU AM 01552 |
| Limnonectes doriae | MZ578008 | CAS 211632 |
| Limnonectes doriae | MZ578009 | CAS 211633 |
| Limnonectes doriae | MZ578011 | CAS 229581 |
| Limnonectes doriae | MZ578012 | CAS 229769 |
| Limnonectes doriae | MZ578013 | CAS 232304 |
| Limnonectes doriae | MZ578014 | CAS 245709 |
| Limnonectes doriae | MZ578015 | CAS 247238 |
| Limnonectes doriae | MZ578016 | CAS 247239 |
| Limnonectes doriae | MZ578017 | CAS 247792 |
| Limnonectes doriae | MZ578018 | CAS 247851 |
| Limnonectes doriae | MZ578019 | CAS 247908 |
| Limnonectes doriae | MZ578020 | GK-6679 |
| Limnonectes doriae | MZ578021 | GK-6682 |
| Limnonectes doriae | MZ578022 | GK-6683 |
| Limnonectes doriae | MZ578023 | GK-6684 |
| Limnonectes doriae | MZ578024 | GK-6685 |
| Limnonectes fujianensis | AF315152 | not given |
| Limnonectes gyldenstolpei | KR827890 | #0155Y |
| Limnonectes gyldenstolpei | KR827891 | #0175Y |
| Limnonectes hascheana | AY880449 | MNHN 1997.5355 |
| Limnonectes hascheanus | GU934337 | FMNH 270118 |
| Limnonectes hascheanus | GU934338 | FMNH 270119 |
| Limnonectes hascheanus | GU934349 | LSUHC 6777 |
| Limnonectes hascheanus | GU934356 | CAS 229588 |
| Limnonectes hascheanus | GU934366 | THNHM 4488 |
| Limnonectes hascheanus | GU934368 | THNHM 4490 |
| Limnonectes hascheanus | GU934369 | THNHM 4491 |
| Limnonectes hascheanus | MZ578033 | CAS 247245 |
| Limnonectes hascheanus | MZ578034 | CAS 247853 |
| Limnonectes heinrichi | AY313747 | A167137 |
| Limnonectes kohchangae | KR827893 | #2003.0317 |
| Limnonectes kohchangae | KY768809 | NCSM 79546 |
| Limnonectes lauhachindai | KP939077 | ZMKU AM 01109 |
| Limnonectes lauhachindai | MK688587 | FMNH 266153 |
| Limnonectes limborgi | AB981417 | KUHE 15614 |
| Limnonectes limborgi | DQ347343 | isolate 1218 |
| Limnonectes limborgi | GU934334 | FMNH 271338 |
| Limnonectes limborgi | GU934335 | MVZ 258223 |
| Limnonectes limborgi | GU934344 | FMNH 262817 |
| Limnonectes limborgi | GU934345 | FMNH 262818 |
| Limnonectes limborgi | GU934353 | CAS 228513 |
| Limnonectes limborgi | GU934354 | CAS 228514 |
| Limnonectes limborgi | GU934355 | CAS 228516 |
| Limnonectes limborgi | GU934357 | CAS 229833 |
| Limnonectes limborgi | GU934358 | CAS 230378 |
| Limnonectes limborgi | GU934359 | CAS 232167 |
| Limnonectes limborgi | GU934360 | CAS 232168 |
| Limnonectes limborgi | GU934361 | CAS 232174 |
| Limnonectes limborgi | GU934362 | CAS 232189 |
| Limnonectes limborgi | GU934363 | CAS 232267 |
| Limnonectes limborgi | GU934364 | CAS 232274 |
| Limnonectes limborgi | GU934365 | CAS 232725 |
| Limnonectes limborgi | MG935880 | USNM 586920 |
| Limnonectes limborgi | MG935881 | USNM 587305 |
| Limnonectes limborgi | MG935882 | USNM 587100 |
| Limnonectes limborgi | MZ578032 | CAS 221424 |
| Limnonectes limborgi | MZ578035 | CAS 221462 |
| Limnonectes limborgi | MZ578036 | CAS 225209 |
| Limnonectes limborgi | MZ578037 | CAS 228510 |
| Limnonectes limborgi | MZ578038 | CAS 228511 |
| Limnonectes limborgi | MZ578039 | CAS 228512 |
| Limnonectes limborgi | MZ578040 | CAS 228515 |
| Limnonectes limborgi | MZ578041 | CAS 228519 |
| Limnonectes limborgi | MZ578042 | CAS 240382 |
| Limnonectes limborgi | MZ578043 | CAS 240383 |
| Limnonectes limborgi | MZ578044 | CAS 247950 |
| Limnonectes limborgi | MZ578048 | GK-7210 |
| Limnonectes limborgi | MZ578049 | GK-7216 |
| Limnonectes limborgi | MZ578051 | Kovac-3a |
| Limnonectes limborgi | MZ578052 | Kovac-6 |
| Limnonectes limborgi | MZ578053 | PT-1597 |
| Limnonectes limborgi | MZ578054 | PT-0237 |
| Limnonectes longchuanensis | KU599868 | KIZYPX 33448 |
| Limnonectes macrocephalus | AY313716 | TNHC 61913 |
| Limnonectes macrodon | KX055957 | not given |
| Limnonectes macrognathus | MK688588 | FMNH 268503 |
| Limnonectes macrognathus | MK688589 | FMNH 268505 |
| Limnonectes macrognathus | MK688590 | FMNH 270114 |
| Limnonectes macrognathus | MK688591 | FMNH 270115 |
| Limnonectes plicatellus | KJ720982 | LSUHC 6582 |
| Limnonectes plicatellus | KJ720983 | LSUHC 4001 |
| Limnonectes pseudodoriae | MW567820 | ZMKU AM 01553 |
| Limnonectes pseudodoriae | MW567821 | ZMKU AM 01555 |
| Limnonectes pseudodoriae | MW567822 | ZMKU AM 01563 |
| Limnonectes pseudodoriae | MW567823 | ZMKU AM 01565 |
| Limnonectes pseudodoriae | MW567824 | ZMKU AM 01567 |
| Limnonectes pseudodoriae | MW567825 | ZMKU AM 01577 |
| Limnonectes pseudodoriae | MW567826 | ZMKU AM 01579 |
| Limnonectes pseudodoriae | MW567827 | ZMKU AM 01580 |
| Limnonectes pseudodoriae | MW567828 | ZMKU AM 01582 |
| Limnonectes pseudodoriae | MW567829 | ZMKU AM 01583 |
| Limnonectes pseudodoriae | MW567830 | ZMKU AM 01585 |
| Limnonectes savan | MK688602 | NCSM 84943 |
| Limnonectes savan | MK688603 | NUOL 00061 |
| Limnonectes taylori | KU599866 | KIZ 022399 |
References
- Frost, D.R. Amphibian Species of the World: An Online Reference. Version 6.0. Available online: http://research.amnh.org/herpetology/amphibia/index.html (accessed on 14 July 2021).
- Köhler, G.; Mogk, L.; Khaing, K.P.P.; Than, N.L. The genera Fejervarya and Minervarya in Myanmar: Description of a new species, new country records, and taxonomic notes (Amphibia, Anura, Dicroglossidae). Vertebr. Zool. 2019, 69, 183–226. [Google Scholar]
- Raj, P.; Dinesh, K.P.; Das, A.; Dutta, S.K.; Kar, N.B.; Mohapatra, P.P. Two new species of Cricket Frogs of the genus Fejervarya Bolkay, 1915 (Anura: Dicroglossidae) from the Peninsular India. Rec. Zool. Surv. India 2018, 118, 1–21. [Google Scholar] [CrossRef] [Green Version]
- Dehling, J.M. A new wide-headed Fanged Frog of the Limnonectes kuhlii group (Anura: Dicroglossidae) from western Borneo with a redescription of Rana conspicillata Günther, 1872. Zootaxa 2017, 4317, 291. [Google Scholar] [CrossRef]
- Köhler, G.; Vargas, J.; Than, N.L.; Schell, T.; Janke, A.; Pauls Steffen, U.; Thammachoti, P. A taxonomic revision of the genus Phrynoglossus in Indochina with the description of a new species and comments on the classification within Occidozyginae (Amphibia, Anura, Dicroglossidae). Vertebr. Zool. 2021, 71, 1–26. [Google Scholar] [CrossRef]
- Stuart, B.L.; Schoen, S.N.; Nelson, E.E.; Maher, H.; Neang, T.; Rowley, J.J.; McLeod, D.S. A new fanged frog in the Limnonectes kuhlii complex (Anura: Dicroglossidae) from northeastern Cambodia. Zootaxa 2020, 4894, 451–473. [Google Scholar] [CrossRef]
- Pham, C.T.; Le, M.D.; Ngo, H.T.; Ziegler, T.; Nguyen, T.Q. A new species of Limnonectes (Amphibia: Anura: Dicroglossidae) from Vietnam. Zootaxa 2018, 4508, 115–130. [Google Scholar] [CrossRef]
- Pham, C.T.; Le, M.D.; Nguyen, T.T.; Ziegler, T.; Wu, Z.J.; Nguyen, T.Q. A new species of Limnonectes (Amphibia: Anura: Dicroglossidae) from Vietnam. Zootaxa 2017, 4269, 545–558. [Google Scholar] [CrossRef]
- Inger, R.F.; Stuart, B.L. Systematics of Limnonectes (Taylorana) Dubois. Curr. Herpetol. 2010, 29, 51–68. [Google Scholar] [CrossRef]
- Fea, L. Viaggio di Leonardo Fea in Birmania e regione vicine. LXXVI Riassunto generale dei risultati zoologici. Ann. Mus. Civ. Stor. Nat. Genova 1897, 37, 385–658. [Google Scholar]
- Hallermann, J.; Ananjeva, N.; Orlov, N.; Tillack, F. Leonardo Fea’s historical collections of Amphibia and Reptilia from Burma deposited at the Zoologisches Museum Hamburg. Mitt. Aus Dem Hambg. Zool. Mus. Und Inst. 2002, 99, 139–153. [Google Scholar]
- Dubois, A. Miscellanea taxinomica batrachologica (I). Alytes 1987, 5, 7–95. [Google Scholar]
- Frost, D.; Grant, T.; Faivovich, J.; Bain, R.H.; Haas, A.; Haddad, C.F.; De Sá, R.O.; Channing, A.; Wilkinson, M.; Donnellan, S.; et al. THE AMPHIBIAN TREE OF LIFE. Bull. Am. Mus. Nat. Hist. 2006, 297, 1–291. [Google Scholar] [CrossRef]
- Pyron, R.A.; Wiens, J.J. A large-scale phylogeny of Amphibia including over 2800 species, and a revised classification of extant frogs, salamanders, and caecilians. Mol. Phylogenetics Evol. 2011, 61, 543–583. [Google Scholar] [CrossRef]
- Borah, M.M.; BordoloI, S.; Purkayastha, J.; Das, M.; Dubois, A.; Ohler, A. Limnonectes (Taylorana) medogensis (FEI, YE & HUANG, 1997) from Arunachal Pradesh (India), and on the identity of some diminutive ranoid frogs. Herpetozoa 2013, 26, 39–48. [Google Scholar]
- Boulenger, G.A. An account of the reptiles and batrachians obtained in Tenasserim by M. L. Fea of the Genoa Civic Museum. Ann. Mus. Civ. Stor. Nat. Genova 1887, 5, 474–486. [Google Scholar]
- Ohler, A.; Dubois, A. The identity of Elachyglossa gyldenstolpei Andersson 1916 (Amphibia, Ranidae), with comments on some aspects of statistical support to taxonomy. Zool. Scr. 1999, 28, 269–279. [Google Scholar] [CrossRef]
- Smith, M.A. The frogs allied to Ranadoriae. J. Nat. Hist. Soc. Siam. 1922, 4, 215. [Google Scholar]
- Lambertz, M.; Hartmann, T.; Walsh, S.; Geissler, P.; McLeod, D.S. Anatomy, histology, and systematic implications of the head ornamentation in the males of four species of Limnonectes (Anura: Dicroglossidae). Zool. J. Linn. Soc. 2014, 172, 117–132. [Google Scholar] [CrossRef]
- Phimmachak, S.; Richards, S.J.; Sivongxay, N.; Seateun, S.; Chuaynkern, Y.; Makchai, S.; Som, H.E.; Stuart, B.L. A new caruncle-bearing fanged frog (Limnonectes, Dicroglossidae) from Laos and Thailand. ZooKeys 2019, 846, 133–156. [Google Scholar] [CrossRef]
- Yodthong, S.; Rujirawan, A.; Stuart, B.; Aowphol, A. A new Limnonectes (Anura: Dicroglossidae) from southern Thailand. Animals 2021, 11, 566. [Google Scholar] [CrossRef]
- Köhler, G.; Khaing, K.P.P.; Than, N.L.; Baranski, D.; Schell, T.; Greve, C.; Janke, A.; Pauls, S.U. A new genus and species of mud snake from Myanmar (Reptilia, Squamata, Homalopsidae). Zootaxa 2021, 4915, 301–325. [Google Scholar] [CrossRef] [PubMed]
- Köhler, G. Color Catalogue for Field Biologists; Herpeton: Offenbach, Germany, 2012. [Google Scholar]
- Simpson, G.G. The species concept. Evolution 1951, 5, 285–298. [Google Scholar] [CrossRef]
- Wiley, E.O. The Evolutionary Species Concept Reconsidered. Syst. Zool. 1978, 27, 17–26. [Google Scholar] [CrossRef] [Green Version]
- Savage, J.M.; Heyer, W.R. Digital webbing formulae for anurans: A refinement. Herpetol. Rev. 1997, 28, 131. [Google Scholar]
- Heyer, W.R.; Rand, A.S.; Goncalves da Cruz, C.A.; Peixoto, O.L.; Nelson, C.E. Frogs of Boraceia. Arq. Zool. 1990, 31, 235–410. [Google Scholar]
- Köhler, J.; Jansen, M.; Rodríguez, A.; Kok, P.; Toledo, L.F.; Emmrich, M.; Glaw, F.; Haddad, C.F.B.; Rödel, M.-O.; Vences, M. The use of bioacoustics in anuran taxonomy: Theory, terminology, methods and recommendations for best practice. Zootaxa 2017, 4251, 1–124. [Google Scholar] [CrossRef] [Green Version]
- Ivanova, N.V.; Dewaard, J.R.; Hebert, P. An inexpensive, automation-friendly protocol for recovering high-quality DNA. Mol. Ecol. Notes 2006, 6, 998–1002. [Google Scholar] [CrossRef]
- Edgar, R.C. MUSCLE: A multiple sequence alignment method with reduced time and space complexity. BMC Bioinform. 2004, 5, 113. [Google Scholar] [CrossRef] [PubMed] [Green Version]
- Kearse, M.; Moir, R.; Wilson, A.; Stones-Havas, S.; Cheung, M.; Sturrock, S.; Buxton, S.; Cooper, A.; Markowitz, S.; Duran, C.; et al. Geneious Basic: An integrated and extendable desktop software platform for the organization and analysis of sequence data. Bioinformatic 2012, 28, 1647–1649. [Google Scholar] [CrossRef]
- Glez-Peña, D.; Gómez-Blanco, D.; Reboiro-Jato, M.; Fdez-Riverola, F.; Posada, D. ALTER: Program-oriented conversion of DNA and protein alignments. Nucleic Acids Res. 2010, 38, 14–18. [Google Scholar] [CrossRef] [PubMed]
- Lanfear, R.; Frandsen, P.; Wright, A.M.; Senfeld, T.; Calcott, B. PartitionFinder 2: New methods for selecting partitioned models of evolution for molecular and morphological phylogenetic analyses. Mol. Biol. Evol. 2017, 34, 772–773. [Google Scholar] [CrossRef] [Green Version]
- Guindon, S.; Dufayard, J.-F.; Lefort, V.; Anisimova, M.; Hordijk, W.; Gascuel, O. New algorithms and methods to estimate Maximum-Likelihood phylogenies: Assessing the performance of PhyML 3.0. Syst. Biol. 2010, 59, 307–321. [Google Scholar] [CrossRef] [Green Version]
- Burnham, K.P.; Anderson, D.R. Model Selection and Multimodel Inference: A Practical Information-Theoretic Approach, 2nd ed.; Springer: New York, NY, USA, 2002; ISBN 9780387953649. [Google Scholar]
- Ronquist, F.; Teslenko, M.; Mark, P.; Ayres, D.; Darling, A.; Höhna, S.; Larget, B.; Liu, L.; Suchard, M.; Huelsenbeck, J. MrBayes 3.2: Efficient Bayesian phylogenetic inference and model choice across a large model space. Syst. Biol. 2012, 61, 539–542. [Google Scholar] [CrossRef] [Green Version]
- Gelman, A.; Rubin, D.B. Inference from Iterative Simulation Using Multiple Sequences. Stat. Sci. 1992, 7, 457–472. [Google Scholar] [CrossRef]
- Trifinopoulos, J.; Nguyen, L.-T.; Von Haeseler, A.; Minh, B.Q. W-IQ-TREE: A fast online phylogenetic tool for maximum likelihood analysis. Nucleic Acids Res. 2016, 44, W232–W235. [Google Scholar] [CrossRef] [PubMed] [Green Version]
- Minh, B.Q.; Nguyen, M.A.T.; Von Haeseler, A. Ultrafast approximation for phylogenetic bootstrap. Mol. Biol. Evol. 2013, 30, 1188–1195. [Google Scholar] [CrossRef]
- Kumar, S.; Stecher, G.; Tamura, K. MEGA7: Molecular Evolutionary Genetics Analysis Version 7.0 for Bigger Datasets. Mol. Biol. Evol. 2016, 33, 1870–1874. [Google Scholar] [CrossRef] [Green Version]
- Ogilvie, H.A.; Bouckaert, R.R.; Drummond, A. StarBEAST2 brings faster species tree inference and accurate estimates of substitution rates. Mol. Biol. Evol. 2017, 34, 2101–2114. [Google Scholar] [CrossRef]
- Bouckaert, R.; Vaughan, T.; Barido-Sottani, J.; Duchene, S.; Fourment, M.; Gavryushkina, A.; Heled, J.; Jones, G.; Kuhnert, D.; de Maio, N.; et al. BEAST 2.5: An advanced Ssftware platform for Bayesian evolutionary analysis. PLoS Comput. Biol. 2019, 15, e1006650. [Google Scholar] [CrossRef] [Green Version]
- Bouckaert, R.; Heled, J. DensiTree 2: Seeing trees through the forest. BioRxiv 2014, 012401. [Google Scholar] [CrossRef] [Green Version]
- Sambrook, J.; Russell, W.D. (Eds.) Protocol 1: DNA isolation from mammalian tissue. In Molecular Cloning: A Laboratory Manual; Cold Spring Harbor Laboratory Press: New York, NY, USA, 2001; pp. 623–627. [Google Scholar]
- Marçais, G.; Kingsford, C. A fast, lock-free approach for efficient parallel counting of occurrences of k-mers. Bioinformatics 2011, 27, 764–770. [Google Scholar] [CrossRef] [Green Version]
- Vurture, G.W.; Sedlazeck, F.; Nattestad, M.; Underwood, C.; Fang, H.; Gurtowski, J.; Schatz, M.C. GenomeScope: Fast reference-free genome profiling from short reads. Bioinformatic 2017, 33, 2202–2204. [Google Scholar] [CrossRef] [Green Version]
- Bolger, A.M.; Lohse, M.; Usadel, B. Trimmomatic: A flexible trimmer for Illumina sequence data. Bioinformatic 2014, 30, 2114–2120. [Google Scholar] [CrossRef] [PubMed] [Green Version]
- Wood, D.E.; Lu, J.; Langmead, B. Improved metagenomic analysis with Kraken 2. Genome Biol. 2019, 20, 1–13. [Google Scholar] [CrossRef] [Green Version]
- Bankevich, A.; Nurk, S.; Antipov, D.; Gurevich, A.A.; Dvorkin, M.; Kulikov, A.S.; Lesin, V.M.; Nikolenko, S.I.; Pham, S.; Prjibelski, A.D.; et al. SPAdes: A new genome assembly algorithm and its applications to single-cell sequencing. J. Comput. Biol. 2012, 19, 455–4777. [Google Scholar] [CrossRef] [Green Version]
- Langmead, B.; Salzberg, S. Fast gapped-read alignment with Bowtie 2. Nat. Methods 2012, 9, 357–359. [Google Scholar] [CrossRef] [Green Version]
- Li, H.; Handsaker, R.; Wysoker, A.; Fennell, T.; Ruan, J.; Homer, N.; Marth, G.; Abecasis, G.; Durbin, R. The Sequence Alignment/Map format and SAMtools. Bioinformatics 2009, 25, 2078–2079. [Google Scholar] [CrossRef] [Green Version]
- Li, H. A statistical framework for SNP calling, mutation discovery, association mapping and population genetical parameter estimation from sequencing data. Bioinformatics 2011, 27, 2987–2993. [Google Scholar] [CrossRef] [Green Version]
- Dierckxsens, N.; Mardulyn, P.; Smits, G. NOVOPlasty: De novoassembly of organelle genomes from whole genome data. Nucleic Acids Res. 2016, 45, e18. [Google Scholar] [CrossRef] [PubMed] [Green Version]
- Altschul, S.F.; Gish, W.; Miller, W.; Myers, E.W.; Lipman, D.J. Basic local alignment search tool. J. Mol. Biol. 1990, 215, 403–410. [Google Scholar] [CrossRef]
- Walker, B.J.; Abeel, T.; Shea, T.; Priest, M.; Abouelliel, A.; Sakthikumar, S.; Cuomo, C.; Zeng, Q.; Wortman, J.; Young, S.K.; et al. Pilon: An integrated tool for comprehensive microbial variant detection and genome assembly improvement. PLoS ONE 2014, 9, e112963. [Google Scholar] [CrossRef] [PubMed]
- Donath, A.; Jühling, F.; Al-Arab, M.; Bernhart, S.H.; Reinhardt, F.; Stadler, P.F.; Middendorf, M.; Bernt, M. Improved annotation of protein-coding genes boundaries in metazoan mitochondrial genomes. Nucleic Acids Res. 2019, 47, 10543–10552. [Google Scholar] [CrossRef] [PubMed]
- Emerson, S.B.; Inger, R.F.; Iskandar, D. Molecular systematics and biogeography of the fanged frogs of Southeast Asia. Mol. Phylogenetics Evol. 2000, 16, 131–142. [Google Scholar] [CrossRef] [PubMed]
- IUCN. IUCN Red List Categories and Criteria, Version 3. 1. Second Edition. Available online: https://portals.ucn.org/library/node/10315 (accessed on 17 November 2018).
- Simao, F.A.; Waterhouse, R.M.; Ioannidis, P.; Kriventseva, E.V.; Zdobnov, E.M. BUSCO: Assessing genome assembly and annotation completeness with single-copy orthologs. Bioinformatics 2015, 31, 3210–3212. [Google Scholar] [CrossRef] [PubMed] [Green Version]
- Stuart, B.L.; Som, H.E.; Neang, T.; Hoang, H.D.; Le, D.T.T.; Dau, V.Q.; Potter, K.; Rowley, J.J.L. Integrative taxonomic analysis reveals a new species of Leptobrachium (Anura: Megophryidae) from north-eastern Cambodia and central Vietnam. J. Nat. Hist. 2020, 54, 225–255. [Google Scholar] [CrossRef]
- Ziegler, T. Die Amphibien Und Reptilien Eines Tieflandfeuchtwald-Schutzgebietes in Vietnam; Natur und Tier-Verlag: Münster, Germany, 2002. [Google Scholar]
- Vineeth, K.K.; Radhakrishna, U.K.; Godwin, R.D.; Anwesha, S.; Rajashekhar, K.P.; Aravind, N.A. A new species of Microhyla Tschudi, 1838 (Anura: Microhylidae) from West Coast of India: An integrative taxonomic approach. Zootaxa 2018, 4420, 151–179. [Google Scholar] [CrossRef]
- Priti, H.; Roshmi, R.S.; Ramya, B.; Sudhira, H.S.; Ravikanth, G.; Aravind, N.A.; Gururaja, K.V. Integrative taxonomic approach for describing a new cryptic species of Bush Frog (Raorchestes: Anura: Rhacophoridae) from the Western Ghats, India. PLoS ONE 2016, 11, e0149382. [Google Scholar] [CrossRef] [Green Version]



















| Clade_3 | Clade_1 | |
|---|---|---|
| Clade_3 | ||
| Clade_1 | 2.4% | |
| Clade_2 | 2.5% | 1.9% |
| Taxon ID | Call Duration (sec) | Dom. Freq (Hz) | Gap Duration (sec) | Notes Per Call | Notes/s | Freq 5% (Hz) | Freq 95% (Hz) | |
|---|---|---|---|---|---|---|---|---|
| SMF 104084_0170 (n = 12 calls) ZMKU 1552 (n = 3 calls) | L. doriae, Clade 3, near Mawlamyine L. doriae, Clade 3, Thailand, Mae Hong Son Province | 1.25–2.24 (1.74 ± 0.32) 6.75–7.71 (7.16 ± 0.40) | 775–1033 (947 ± 80.6) 840–1055 (902 ± 51.7) | 2.29–8.43 (4.39 ± 1.94) 32.2 | 15–26 (20.6 ± 3.6) 79–90 (83.7 ± 4.64) | 11.6–12.1 (11.8 ± 0.15) 11.7–11.7 (11.7 ± 0.02) | 302–517 (398 ± 68) 345–431 (367 ± 19) | 1292–1507 (1385 ± 52) 1335–1486 (1414 ± 53) |
| SMF 104090_0185 (n = 10 calls) | L. cf. doriae, Clade 1, Bago | 2.09–3.27 (2.72 ± 0.32) | 861–991 (945 ± 30.6) | 5.11–10.82 (7.42 ± 2.44) | 5–9 (7.1 ± 1.0) | 4.2–4.6 (4.4 ± 0.14) | 431–495 (458 ± 19) | 1271–1335 (1302 ± 19) |
| SMF 106039_418 (n = 5 calls) | L. cf. doriae, Clade 1, Bago Yoma | 2.62–3.32 (2.99 ± 0.24) | 732–818 (772 ± 21.2) | 49.25–72.67 (59.64 ± 9.74) | 7–8 (7.2 ± 0.4) | 3.6–4.1 (3.9 ± 0.19) | 345–388 (367 ± 22) | 1163–1206 (1201 ± 13) |
| L. bagoensis ♂ 4 ♀ 4 | L. doriae ♂ 3 ♀ 3 | L. bagoyoma ♂ 2 ♀ 2 | L. limborgi ♂ 1 ♀ 2 | ||
|---|---|---|---|---|---|
| SVL | males | 32.40–48.50 (42.25 ± 7.387) | 47.40–54.50 (50.83 ± 3.556) | 29.3–30.8 (30.05 ± 1.06) | 31.20 |
| females | 29.80–39.70 (35.73 ± 4.631) | 37.50–42.10 (36.57 ± 2.335) | 23.2–26.8 (25.00 ± 2.55) | 26.9–27.4 (27.15 ± 0.35) | |
| SHL/SVL | males | 0.529–0.586 (0.553 ± 0.024) | 0.534–0.560 (0.549 ± 0.013) | 0.471–0.515 (0.493 ± 0.031) | 0.526 |
| females | 0.554–0.580 (0.566 ± 0.010) | 0.560–0.568 (0.563 ± 0.004) | 0.522–0.522 (0.522 ± 0.0) | 0.494–0.533 (0.513 ± 0.027) | |
| FL/SVL | males | 0.459–0.509 (0.488 ± 0.021) | 0.449–0.490 (0.465 ± 0.021) | 0.393–0.468 (0.430 ± 0.053) | 0.490 |
| females | 0.487–0.501 (0.495 ± 0.007) | 0.496–0.517 (0.505 ± 0.010) | 0.470–0.487 (0.480 ± 0.009) | 0.446–0.493 (0.469 ± 0.033) | |
| HL/SVL | males | 0.370–0.440 (0.412 ± 0.030) | 0.430–0.470 (0.453 ± 0.020) | 0.390–0.400 (0.395 ± 0.007) | 0.350 |
| females | 0.360–0.400 (0.375 ± 0.019) | 0.370–0.380 (0.373 ± 0.005) | 0.330–0.340 (0.335 ± 0.007) | 0.310–0.370 (0.340 ± 0.042) | |
| HW / SVL | males | 0.330–0.400 (0.380 ± 0.033) | 0.390–0.450 (0.420 ± 0.030) | 0.880–1.030 (0.955 ± 0.106) | 0.350 |
| females | 0.320–0.350 (0.332 ± 0.015) | 0.340–0.350 (0.343 ± 0.005) | 0.880–0.910 (0.895 ± 0.021) | 0.300–0.330 (0.315 ± 0.021) | |
| HW/HL | males | 0.900–0.940 (0.920 ± 0.023) | 0.910–0.960 (0.930 ± 0.026) | 0.880–1.03 (0.955 ± 0.106) | 1.020 |
| females | 0.800–0.940 (0.892 ± 0.063) | 0.890–0.950 (0.916 ± 0.030) | 0.880–0.910 (0.895 ± 0.021) | 0.890–0.960 (0.925 ± 0.049) | |
| IOD/SVL | males | 0.102–0.120 (0.114 ± 0.008) | 0.118–0.134 (0.126 ± 0.008) | 0.104–0.109 (0.106 ± 0.003) | 0.119 |
| females | 0.095–0.101 (0.097 ± 0.002) | 0.093–0.105 (0.099 ± 0.006) | 0.101–0.108 (0.104 ± 0.004) | 0.104–0.109 (0.106 ± 0.003) | |
| TYD / SVL | males | 0.680–0.860 (0.075 ± 0.007) | 0.089–0.109 (0.101 ± 0.010) | 0.071–0.075 (0.073 ± 0.002) | 0.064 |
| females | 0.058–0.064 (0.060 ± 0.002) | 0.056–0.061 (0.058 ± 0.002) | 0.073–0.075 (0.074 ± 0.001) | 0.077–0.082 (0.079 ± 0.003) | |
| EYD/SVL | males | 0.099–0.114 (0.103 ± 0.007) | 0.094–0.105 (0.098 ± 0.005) | 0.104–0.119 (0.111 ± 0.010) | 0.131 |
| females | 0.101–0.117 (0.107 ± 0.008) | 0.096–0.115 (0.105 ± 0.009) | 0.091–0.127 (0.109 ± 0.025) | 0.126–0.128 (0.127 ± 0.001) | |
| NED/SVL | males | 0.090–0.103 (0.095 ± 0.005) | 0.093–0.105 (0.097 ± 0.006) | 0.065–0.075 (0.070 ± 0.007) | 0.071 |
| females | 0.081–0.093 (0.089 ± 0.005) | 0.087–0.096 (0.092 ± 0.004) | 0.075–0.095 (0.085 ± 0.014) | 0.078–0.080 (0.079 ± 0.001) | |
| TYD/EYD | males | 0.649–0.854 (0.734 ± 0.089) | 0.910–0.960 (0.930 ± 0.026) | 0.629–0.688 (0.658 ± 0.041) | 0.488 |
| females | 0.500–0.641 (0.574 ± 0.057) | 0.890–0.950 (0.916 ± 0.030) | 0.588–0.810 (0.699 ± 0.157) | 0.600–0.647 (0.623 ± 0.033) |
| Cl_4 | Cl_8 | Cl_3 | Hasch. | Cl_1 | Cl_7 | Cl_5 | Cl_6 | Cl_2 | |
|---|---|---|---|---|---|---|---|---|---|
| Cl_4 | |||||||||
| Cl_8 | 3.2% | ||||||||
| Cl_3 | 1.8% | 3.1% | |||||||
| hasch. | 5.5% | 5.6% | 5.3% | ||||||
| Cl_1 | 4.8% | 4.7% | 4.7% | 5.6% | |||||
| Cl_7 | 2.2% | 3.0% | 2.1% | 4.7% | 4.5% | ||||
| Cl_5 | 3.4% | 3.7% | 3.4% | 5.7% | 4.8% | 3.1% | |||
| Cl_6 | 3.0% | 3.5% | 2.8% | 5.4% | 4.9% | 2.8% | 3.7% | ||
| Cl_2 | 4.3% | 4.5% | 4.0% | 5.7% | 4.2% | 4.4% | 4.5% | 4.4% | |
| Cl_9 | 4.3% | 4.4% | 3.8% | 4.3% | 3.5% | 3.5% | 3.9% | 3.9% | 2.9% |
| Taxon ID | Call Duration (sec) | Dom. Freq (Hz) | Gap Duration (sec) | Number of Notes Per Call | Note Duration (sec) | Freq 5% (Hz) | Freq 95% (Hz) | |
|---|---|---|---|---|---|---|---|---|
| GK-7209_0446 (n = 5 calls) | L. limborgi, Clade 7, Leiktho | 1.13–1.58 (1.23 ± 0.18) | 1335–1528 (1417 ± 29.2) | 15.8–56.5 (33.3 ± 16.28) | 3–4 (3.2 ± 0.40) | 0.241–0.329 (0.274 ± 0.027) | 904–1033 (986 ± 36.7) | 1895–1981 (1951 ± 20.0) |
| GK-7209_0447 (n = 4 calls) | L. limborgi, Clade 7, Leiktho | 1.57–2.87 (2.48 ± 0.53) | 1550–1637 (1589 ± 24.1) | 27.4–37.0 (32.2 ± 3.94) | 3–5 (4.5 ± 0.87) | 0.293–0.419 (0.336 ± 0.039) | 1098–1163 (1120 ± 18.9) | 2046–2132 (2099 ± 24.8) |
| GK-7110_0438 (n = 7 calls) | L. cf. limborgi, Clade 6, Bago Yoma | 0.222–0.249 (0.235 ± 0.009) | 1141–1464 (1307 ± 94.0) | 21.5–64.6 (32.3 ± 3.3) | 1 | 0.222–0.249 (0.235 ± 0.009) | 753–797 (781 ± 15.0) | 1830–1938 (1889 ± 45.6) |
| GK-7110_0439 (n = 9 calls) | L. cf. limborgi, Clade 6, Bago Yoma | 0.218–0.252 (0.231 ± 0.010) | 1335–1615 (1428 ± 78.6) | 11.3–21.3 (16.1 ± 3.3) | 1 | 0.218–0.252 (0.231 ± 0.010) | 818–861 (846 ± 14.3) | 1960–2046 (2007 ± 30.1) |
| SMF 104090 | SMF 106034 | |
|---|---|---|
| Raw read pairs (Illumina) | 302,829,670 | 278,081,641 |
| Read length | 150 | 150 |
| Total bases | 90,848,901,000 | 83,424,492,300 |
| Survived Reads (%) | 93.5 | 92.3 |
| Heterozygosity (%) | 0.78 | 0.78 |
| Assembled Nuclear Genome | 1,941,736,683 | 2,099,953,831 |
| Number of Scaffolds | 647,264 | 691,036 |
| Scaffold N50 | 4270 | 4236 |
| Largest Scaffold | 42,771 | 42,830 |
| Smallest Scaffold | 500 | 500 |
| GC% | 34.74 | 42.54 |
| Circular Mito-Genome | 17,480 bp | 17,604 bp |
Publisher’s Note: MDPI stays neutral with regard to jurisdictional claims in published maps and institutional affiliations. |
© 2021 by the authors. Licensee MDPI, Basel, Switzerland. This article is an open access article distributed under the terms and conditions of the Creative Commons Attribution (CC BY) license (https://creativecommons.org/licenses/by/4.0/).
Share and Cite
Köhler, G.; Zwitzers, B.; Than, N.L.; Gupta, D.K.; Janke, A.; Pauls, S.U.; Thammachoti, P. Bioacoustics Reveal Hidden Diversity in Frogs: Two New Species of the Genus Limnonectes from Myanmar (Amphibia, Anura, Dicroglossidae). Diversity 2021, 13, 399. https://doi.org/10.3390/d13090399
Köhler G, Zwitzers B, Than NL, Gupta DK, Janke A, Pauls SU, Thammachoti P. Bioacoustics Reveal Hidden Diversity in Frogs: Two New Species of the Genus Limnonectes from Myanmar (Amphibia, Anura, Dicroglossidae). Diversity. 2021; 13(9):399. https://doi.org/10.3390/d13090399
Chicago/Turabian StyleKöhler, Gunther, Britta Zwitzers, Ni Lar Than, Deepak Kumar Gupta, Axel Janke, Steffen U. Pauls, and Panupong Thammachoti. 2021. "Bioacoustics Reveal Hidden Diversity in Frogs: Two New Species of the Genus Limnonectes from Myanmar (Amphibia, Anura, Dicroglossidae)" Diversity 13, no. 9: 399. https://doi.org/10.3390/d13090399
APA StyleKöhler, G., Zwitzers, B., Than, N. L., Gupta, D. K., Janke, A., Pauls, S. U., & Thammachoti, P. (2021). Bioacoustics Reveal Hidden Diversity in Frogs: Two New Species of the Genus Limnonectes from Myanmar (Amphibia, Anura, Dicroglossidae). Diversity, 13(9), 399. https://doi.org/10.3390/d13090399

