Diversity Patterns and Community Structure of the Ground-Associated Macrofauna along the Beach-Inland Transition Zone of Small Tropical Islands
Abstract
1. Introduction
2. Materials and Methods
2.1. Study Site and Site Conditions
2.2. Sampling Preparation
2.3. Sampling Procedure
2.4. Statistical Analysis
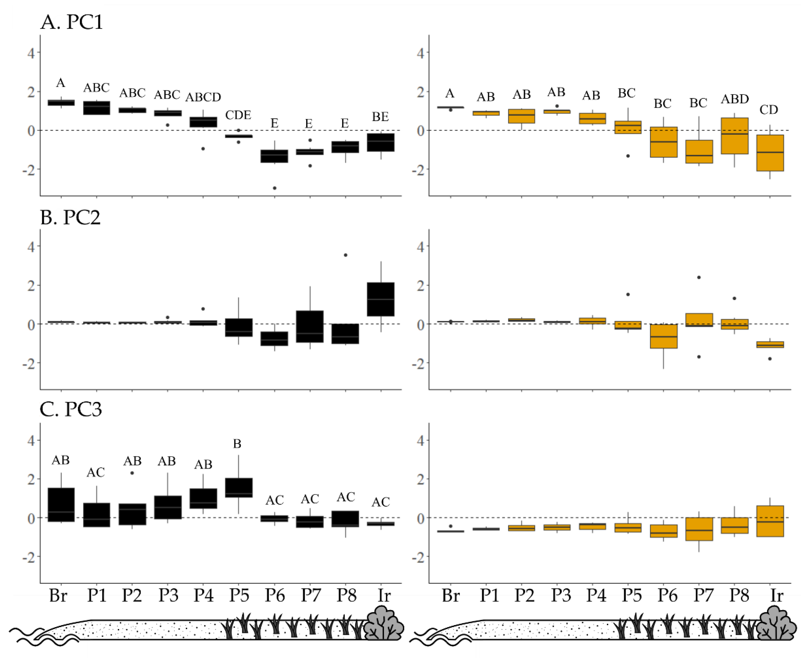
3. Results
4. Discussion
5. Conclusions
Supplementary Materials
Author Contributions
Funding
Institutional Review Board Statement
Data Availability Statement
Acknowledgments
Conflicts of Interest
References
- Sutherland, W.J.; Freckleton, R.P.; Godfray, H.C.J.; Beissinger, S.R.; Benton, T.; Cameron, D.D.; Carmel, Y.; Coomes, D.A.; Coulson, T.; Emmerson, M.C.; et al. Identification of 100 fundamental ecological questions. J. Ecol. 2013, 101, 58–67. [Google Scholar] [CrossRef]
- Willis, K.J.; Whittaker, R.J. Species diversity—Scale matters. Science 2002, 295, 1245–1248. [Google Scholar] [CrossRef]
- Rohde, K. Latitudinal gradients in species diversity and Rapoport’s rule revisited: A review of recent work and what can parasites teach us about the causes of the gradients? Ecography 1999, 22, 593–613. [Google Scholar] [CrossRef]
- Valdovinos, C.; Navarrete, S.A.; Marquet, P.A. Mollusk species diversity in the Southeastern Pacific: Why are there more species towards the pole? Ecography 2003, 26, 139–144. [Google Scholar] [CrossRef]
- Whittaker, R.J.; Willis, K.J.; Field, R. Scale and species richness: Towards a general, hierarchical theory of species diversity. J. Biogeogr. 2001, 28, 453–470. [Google Scholar] [CrossRef]
- Astorga, A.; Fernández, M.; Boschi, E.E.; Lagos, N. Two oceans, two taxa and one mode of development: Latitudinal diversity patterns of South American crabs and test for possible causal processes. Ecol. Lett. 2003, 6, 420–427. [Google Scholar] [CrossRef]
- Mittelbach, G.G.; Steiner, C.F.; Scheiner, S.M.; Gross, K.L.; Reynolds, H.L.; Waide, R.B.; Willig, M.R.; Dodson, S.I.; Gough, L. What is the observed relationship between species richness and productivity? Ecology 2001, 82, 2381–2396. [Google Scholar] [CrossRef]
- Terborgh, J.; Weske, J.S. The role of ecotones in the distribution of Andean birds. Ecology 1975, 56, 562–576. [Google Scholar] [CrossRef]
- Armonies, W.; Reise, K. Faunal diversity across a sandy shore. Mar. Ecol. Prog. Ser. 2000, 196, 49–57. [Google Scholar] [CrossRef]
- McLachlan, A.; Jaramillo, E.; Donn, T.E.; Wessels, F. Sandy beach macrofauna communities and their control by the physical environment: A geographical comparison. J. Coast. Res. 1993, 15, 27–38. [Google Scholar] [CrossRef]
- Kark, S. Ecotones and ecological gradients. In Ecological Systems: Selected Entries from the Encyclopedia of Sustainability Science and Technology; Leemans, R., Ed.; Springer Science & Business Media: New York, NY, USA, 2013; pp. 147–160. ISBN 9781441908513. [Google Scholar]
- Kark, S.; van Rensburg, B.J. Ecotones: Marginal or central areas of transition? Isr. J. Ecol. Evol. 2006, 52, 29–53. [Google Scholar] [CrossRef]
- Schilthuizen, M. Ecotone: Speciation-prone. Trends Ecol. Evol. 2000, 15, 130–131. [Google Scholar] [CrossRef]
- Kolasa, J.; Zalewski, M. Notes on ecotone attributes and functions. Importance Aquat. Ecotones Freshw. Fish 1995, 303, 1–7. [Google Scholar] [CrossRef]
- Angelstam, P. Predation on ground-nesting birds’ nests in relation to predator densities and habitat edge. Oikos 1986, 47, 365–373. [Google Scholar] [CrossRef]
- Reino, L.; Beja, P.; Osborne, P.E.; Morgado, R.; Fabião, A.; Rotenberry, J.T. Distance to edges, edge contrast and landscape fragmentation: Interactions affecting farmland birds around forest plantations. Biol. Conserv. 2009, 142, 824–838. [Google Scholar] [CrossRef]
- Peyras, M.; Vespa, N.I.; Bellocq, M.I.; Zurita, G.A. Quantifying edge effects: The role of habitat contrast and species specialization. J. Insect Conserv. 2013, 17, 807–820. [Google Scholar] [CrossRef]
- Yekwayo, I.; Pryke, J.S.; Roets, F.; Samways, M.J. Responses of ground living arthropods to landscape contrast and context in a forest-grassland mosaic. Biodivers. Conserv. 2017, 26, 631–651. [Google Scholar] [CrossRef]
- Gillis, J.R. Not continents in miniature: Islands as ecotones. Isl. Stud. J. 2014, 9, 155–166. [Google Scholar]
- McLachlan, A. Coastal beach ecosystems. Encycl. Biodivers. 2001, 1, 741–751. [Google Scholar] [CrossRef]
- Fenu, G.; Carboni, M.; Acosta, A.T.R.; Bacchetta, G. Environmental factors influencing coastal vegetation pattern: New insights from the Mediterranean basin. Folia Geobot. 2013, 48, 493–508. [Google Scholar] [CrossRef]
- Torca, M.; Campos, J.A.; Herrera, M. Changes in plant diversity patterns along dune zonation in south Atlantic European coasts. Estuar. Coast. Shelf Sci. 2019, 218, 39–47. [Google Scholar] [CrossRef]
- Fenu, G.; Cogoni, D.; Ferrara, C.; Pinna, M.S.; Bacchetta, G. Relationships between coastal sand dune properties and plant community distribution: The case of Is Arenas (Sardinia). Plant Biosyst. 2012, 146, 586–602. [Google Scholar] [CrossRef]
- Paetzold, A.; Lee, M.; Post, D.M. Marine resource flows to terrestrial arthropod predators on a temperate island: The role of subsidies between systems of similar productivity. Oecologia 2008, 157, 653–659. [Google Scholar] [CrossRef] [PubMed]
- Ince, R.; Hyndes, G.A.; Lavery, P.S.; Vanderklift, M.A. Marine macrophytes directly enhance abundances of sandy beach fauna through provision of food and habitat. Estuar. Coast. Shelf Sci. 2007, 74, 77–86. [Google Scholar] [CrossRef]
- Polis, G.A.; Hurd, S.D. Linking marine and terrestrial food webs: Allochthonous input from the ocean supports high secondary productivity on small islands and coastal land communities. Am. Nat. 1996, 147, 396–423. [Google Scholar] [CrossRef]
- Steibl, S.; Laforsch, C. Compartmentalized organization of ecological niche occupation in insular invertebrate communities. Ecol. Evol. 2021, 11, 471–480. [Google Scholar] [CrossRef]
- Oksanen, J. Multivariate analysis of ecological communities in R: Vegan tutorial. R Package Version 2011, 1, 1–43. [Google Scholar] [CrossRef]
- Team, R.C. R: A Language and Environment for Statistical Computing; R Foundation for Statistical Computing: Vienna, Austria, 2018. [Google Scholar]
- Li, D. hillR: Taxonomic, functional, and phylogenetic diversity and similarity through Hill Numbers. J. Open Source Softw. 2018, 3, 1041. [Google Scholar] [CrossRef]
- Chao, A.; Gotelli, N.J.; Hsieh, T.C.; Sander, E.L.; Ma, K.H.; Colwell, R.K.; Ellison, A.M. Rarefaction and extrapolation with Hill numbers: A framework for sampling and estimation in species diversity studies. Ecol. Monogr. 2014, 84, 45–67. [Google Scholar] [CrossRef]
- McArdle, S.B.; McLachlan, A. Sand beach ecology: Swash features relevant to the macrofauna. J. Coast. Res. 1992, 8, 398–407. [Google Scholar]
- Defeo, O.; McLachlan, A. Patterns, processes and regulatory mechanisms in sandy beach macrofauna: A multi-scale analysis. Mar. Ecol. Prog. Ser. 2005, 295, 1–20. [Google Scholar] [CrossRef]
- Woodroffe, C.D. Reef-island topography and the vulnerability of atolls to sea-level rise. Glob. Planet. Chang. 2008, 62, 77–96. [Google Scholar] [CrossRef]
- Colombini, I.; Chelazzi, L. Influence of marine allochthonous input on sandy beach communities. Oceanogr. Mar. Biol. Annu. Rev. 2003, 41, 115–159. [Google Scholar]
- Harrison, S.J.; Morrison, P. Temperatures in a sandy beach under strong solar heating: Patara beach, Turkey. Estuar. Coast. Shelf Sci. 1993, 37, 89–97. [Google Scholar] [CrossRef]
- Dugan, J.E.; Hubbard, D.M.; McCrary, M.D.; Pierson, M.O. The response of macrofauna communities and shorebirds to macrophyte wrack subsidies on exposed sandy beaches of southern California. Estuar. Coast. Shelf Sci. 2003, 58, 25–40. [Google Scholar] [CrossRef]
- Feagin, R.A.; Furman, M.; Salgado, K.; Martinez, M.L.; Innocenti, R.A.; Eubanks, K.; Figlus, J.; Huff, T.P.; Sigren, J.; Silva, R. The role of beach and sand dune vegetation in mediating wave run up erosion. Estuar. Coast. Shelf Sci. 2019, 219, 97–106. [Google Scholar] [CrossRef]
- Barboza, F.R.; Gómez, J.; Lercari, D.; Defeo, O. Disentangling diversity patterns in sandy beaches along environmental gradients. PLoS ONE 2012, 7, e40468. [Google Scholar] [CrossRef]
- Scapini, F. Behaviour of mobile macrofauna is a key factor in beach ecology as response to rapid environmental changes. Estuar. Coast. Shelf Sci. 2014, 150, 36–44. [Google Scholar] [CrossRef]
- Page, H.M.; Willason, S.W. Distribution patterns of terrestrial hermit crabs at Enewetak Atoll, Marshall Islands. Pac. Sci. 1982, 36, 107–117. [Google Scholar]
- Hamasaki, K.; Fujikawa, S.; Sanda, T.; Tsuru, T.; Kitada, S. Distributions of land hermit crabs (Decapoda: Coenobitidae) on the coast of the tidal lagoon, Nagura Amparu, on Ishigakijima Island, Japan. Biogeography 2017, 19, 142–149. [Google Scholar]
- Barnes, R.S.K.; Smith, D.J.; Barnes, D.K.A.; Gerlach, J. Variation in the distribution of supralittoral vegetation around an atoll cay: Desroches (Amirante Islands, Seychelles). Atoll Res. Bull. 2008, 565, 1–6. [Google Scholar] [CrossRef][Green Version]
- Steibl, S.; Laforsch, C. Daytime activity and habitat preferences of two sympatric hermit crab species (Decapoda: Anomura: Coenobita). Estuar. Coast. Shelf Sci. 2019, 231, 106482. [Google Scholar] [CrossRef]
- Romanuk, T.N.; Levings, C.D. Associations between arthropods and the supralittoral ecotone: Dependence of aquatic and terrestrial taxa on riparian vegetation. Environ. Entomol. 2003, 32, 1343–1353. [Google Scholar] [CrossRef]
- Colombini, I.; Brilli, M.; Fallaci, M.; Gagnarli, E.; Chelazzi, L. Food webs of a sandy beach macroinvertebrate community using stable isotopes analysis. Acta Oecol. 2011, 37, 422–432. [Google Scholar] [CrossRef]
- Uetz, G.W. Habitat structure and spider foraging. In Habitat Structure: The Physical Arrangements of Objects in Space; Bell, S.S., McCoy, E.D., Mushinsky, H.R., Eds.; Springer: Dordrecht, The Netherlands, 1991; pp. 325–348. [Google Scholar]
- Almquist, S. Thermal tolerances and preferences of some dune-living spiders. Oikos 1970, 21, 230–235. [Google Scholar] [CrossRef]
- Lowrie, D.C. The ecological succession of spiders of the Chicago Area Dunes. Ecology 1948, 29, 334–351. [Google Scholar] [CrossRef]
- Almquist, S. Spider associations in coastal sand dunes. Oikos 1973, 24, 444–457. [Google Scholar] [CrossRef]
- MacArthur, R.H.; Wilson, E.O. The Theory of Island Biogeography; Princeton University Press: Princeton, NJ, USA, 1967. [Google Scholar]
- Whittaker, R.J.; Triantis, K.A.; Ladle, R.J. A general dynamic theory of oceanic island biogeography. J. Biogeogr. 2008, 35, 977–994. [Google Scholar] [CrossRef]
- Thaman, R.R. Atolls—The “biodiversity cool spots” vs “hot spots”: A critical new focus for research and conservation. Micronesica 2008, 40, 33–61. [Google Scholar]
- Kench, P.S.; McLean, R.F.; Nichol, S.L. New model of reef-island evolution: Maldives, Indian Ocean. Geology 2005, 33, 145–148. [Google Scholar] [CrossRef]
- Kench, P.S.; Ford, M.R.; Owen, S.D. Patterns of island change and persistence offer alternate adaptation pathways for atoll nations. Nat. Commun. 2018, 9, 605. [Google Scholar] [CrossRef] [PubMed]
- Delcourt, P.A.; Delcourt, H.R. Ecotone dynamics in space and time. In Landscape Boundaries; Hansen, A.J., di Castri, F., Eds.; Springer: Berlin/Heidelberg, Germany, 1992; pp. 19–54. [Google Scholar]
- Losos, J.B.; Ricklefs, R.E. Adaptation and diversification on islands. Nature 2009, 457, 830–836. [Google Scholar] [CrossRef] [PubMed]
- Barboza, F.R.; Defeo, O. Global diversity patterns in sandy beach macrofauna: A biogeographic analysis. Sci. Rep. 2015, 5, 14515. [Google Scholar] [CrossRef]
- Martínez, M.L.; Intralawan, A.; Vázquez, G.; Pérez-Maqueo, O.; Sutton, P.; Landgrave, R. The coasts of our world: Ecological, economic and social importance. Ecol. Econ. 2007, 63, 254–272. [Google Scholar] [CrossRef]




| Environmental Parameters | PC1 | PC2 | PC3 |
|---|---|---|---|
| Explained variance | 26.86% | 22.29% | 20.92% |
| Temperature | −0.701 | −0.133 | 0.410 |
| Marine detritus | 0.261 | 0.022 | 0.904 |
| Terrestrial detritus | −0.605 | 0.368 | 0.128 |
| Grass/ herb coverage | −0.576 | −0.608 | −0.160 |
| Shrub coverage | −0.288 | 0.769 | −0.122 |
Publisher’s Note: MDPI stays neutral with regard to jurisdictional claims in published maps and institutional affiliations. |
© 2021 by the authors. Licensee MDPI, Basel, Switzerland. This article is an open access article distributed under the terms and conditions of the Creative Commons Attribution (CC BY) license (https://creativecommons.org/licenses/by/4.0/).
Share and Cite
Steibl, S.; Sigl, R.; Bräumer, P.E.; Clauß, V.; Goddemeier, S.; Hamisch, S.; Lücker, D.; Reiprich, L.; Stegmann, L.; Voigt, N.; et al. Diversity Patterns and Community Structure of the Ground-Associated Macrofauna along the Beach-Inland Transition Zone of Small Tropical Islands. Diversity 2021, 13, 377. https://doi.org/10.3390/d13080377
Steibl S, Sigl R, Bräumer PE, Clauß V, Goddemeier S, Hamisch S, Lücker D, Reiprich L, Stegmann L, Voigt N, et al. Diversity Patterns and Community Structure of the Ground-Associated Macrofauna along the Beach-Inland Transition Zone of Small Tropical Islands. Diversity. 2021; 13(8):377. https://doi.org/10.3390/d13080377
Chicago/Turabian StyleSteibl, Sebastian, Robert Sigl, Paul E. Bräumer, Victoria Clauß, Simon Goddemeier, Stephan Hamisch, Darleen Lücker, Lisa Reiprich, Lucas Stegmann, Nora Voigt, and et al. 2021. "Diversity Patterns and Community Structure of the Ground-Associated Macrofauna along the Beach-Inland Transition Zone of Small Tropical Islands" Diversity 13, no. 8: 377. https://doi.org/10.3390/d13080377
APA StyleSteibl, S., Sigl, R., Bräumer, P. E., Clauß, V., Goddemeier, S., Hamisch, S., Lücker, D., Reiprich, L., Stegmann, L., Voigt, N., & Laforsch, C. (2021). Diversity Patterns and Community Structure of the Ground-Associated Macrofauna along the Beach-Inland Transition Zone of Small Tropical Islands. Diversity, 13(8), 377. https://doi.org/10.3390/d13080377

