Characterization of Tanzanian Avocado Using Morphological Traits
Abstract
1. Introduction
2. Materials and Methods
2.1. Sites and Sampling
2.2. Morphological Trait Measurements
2.3. Data Analysis
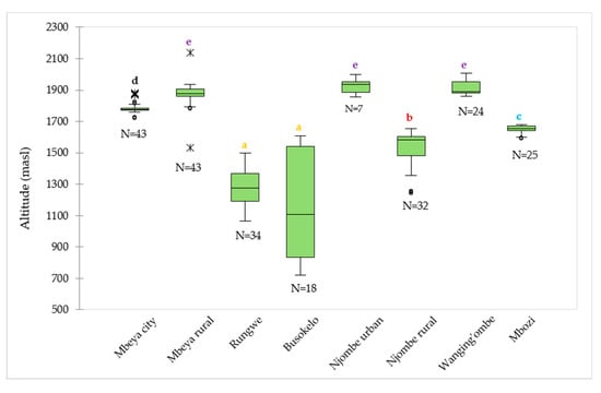
3. Results
3.1. Altitude of the Sampling Sites
3.2. Tree Trunk and Twig Characteristics
3.3. Leaf Characteristics
3.4. Fruit Characteristics
3.5. Seed Characteristics
3.6. Principal Coordinate Analysis (PCoA) and Hierarchical Cluster Analysis
4. Discussion
5. Conclusions
Author Contributions
Funding
Acknowledgments
Conflicts of Interest
References
- Dreher, M.L.; Davenport, A.J. Hass avocado composition and potential health effects. Crit. Rev. Food Sci. Nutr. 2013, 53, 738–750. [Google Scholar] [CrossRef] [PubMed]
- Paz-Vega, R. Avocado production, marketing and consumption: A global perspective. In Plenary Talks, Proceedings of the VIII World Avocado Congress, Lima, Peru, September 2015. Available online: http://www.avocadosource.com/WAC8/Section_01/Section_01_Abstracts_English.pdf (accessed on 16 September 2019).
- Morton, J. Avocado. In Fruits of Warm Climates; Julia F. Morton: Miami, FL, USA, 1987; pp. 91–102. [Google Scholar]
- Abraham, J.D.; Abraham, J.; Takrama, J.F. Morphological characteristics of avocado (Persea americana Mill.) in Ghana. Afr. J. Plant Sci. 2018, 12, 88–97. [Google Scholar] [CrossRef]
- Bergh, B. The origin, nature, and genetic improvement of the avocado. The biennial conference of the Australian Avocado Growers’ Federation, Gold Coast, Australia, 28th September–October, 1992. Calif. Avocado Soc. Yearb. 1992, 76, 61–75. [Google Scholar]
- Ashworth, V.E.; Chen, H.; Clegg, M.T. Persea. In Wild Crop Relatives: Genomic and Breeding Resources Tropical and Subtropical Fruits; Kole, C., Ed.; Springer: Berlin-Heidelberg, Germany, 2011; pp. 173–189. [Google Scholar]
- Storey, W.B.; Bergh, B.O.; Zentmyer, G.A. The origin, indigenous range, and dissemination of the avocado. Calif. Avocado Soc. Yearb. 1986, 70, 127–133. [Google Scholar]
- Popenoe, W. The avocado (pp. 305–310). In Central American Fruit Culture; Ceiba: Tegucigalpa, Honduras, 1952; pp. 269–367. [Google Scholar]
- Purseglove, J.W. Tropical Crops, Dicotyledons; Wiley: New York, NY, USA, 1968; pp. 192–198. [Google Scholar]
- Ghosh, S.P. Avocado production in India. In Avocado Production in Asia and the Pacific; FAO/RAP Publication: Bangkok, Thailand, 2000; pp. 24–30. [Google Scholar]
- Mwakalinga, H.A. A Report on Avocado Value Chain Mapping in Siha and Njombe Districts. 2014. Available online: https://info.undp.org/docs/pdc/Documents/TZA/Report%20-%20Final%20Report%20Avocado%20July%2025%202014.pdf (accessed on 22 August 2018).
- International Plant Genetic Resources Institute (IPGRI). Descriptors for Avocado (Persea spp.); International Plant Genetic Resources Institute: Rome, Italy, 1995; p. 52. [Google Scholar]
- Royal Horticultural Society. RHS Large Colour Chart, 6th ed.; Royal Horticultural Society: London, UK, 2015. [Google Scholar]
- Addinsoft. The XLSTAT-Base Solution, Essential Data Analysis Tools for Excel, Boston, USA, 2018. Available online: https://www.xlstat.com/en/solutions/base (accessed on 16 September 2019).
- Minitab Statistical Software [Computer Software], Version 18.1; Minitab Inc.: State College, PA, USA, 2017.
- Rdocumentation. Daisy. Available online: https://www.rdocumentation.org/packages/cluster/versions/2.1.0/topics/daisy (accessed on 16 September 2019).
- Boc, A.; Diallo, A.B.; Makarenkov, V. T-REX: A web server for inferring, validating and visualizing phylogenetic trees and networks. Nucleic Acids Res. 2012, 40, W573–W579. [Google Scholar] [CrossRef] [PubMed]
- Saitou, N.; Nei, M. The neighbor-joining method: A new method for reconstructing phylogenetic trees. Mol. Biol. Evol. 1987, 4, 406–425. [Google Scholar] [CrossRef] [PubMed]
- Letunic, I.; Bork, P. Interactive Tree of Life (iTOL) v4: Recent updates and new developments. Nucleic Acids Res. 2019, 47, W256–W259. [Google Scholar] [CrossRef] [PubMed]
- Ward, J.H. Hierarchical Grouping to Optimize an Objective Function. J. Amer. Statist. Assoc. 1963, 58, 236–244. [Google Scholar] [CrossRef]
- Barrett, D.M.; Beaulieu, J.C.; Shewfelt, R. Color, Flavor, Texture, and Nutritional Quality of Fresh-Cut Fruits and Vegetables: Desirable Levels, Instrumental and Sensory Measurement, and the Effects of Processing. Crit. Rev. Food Sci. Nutr. 2010, 50, 369–389. [Google Scholar] [CrossRef] [PubMed]
- Shewfelt, R.L. ‘Fruit and vegetable quality’. In Fruit and Vegetable Quality: An Integrated View; Shewfelt, R.L., Bruckner, B., Eds.; CRC Press: Lancaster, PA, USA, 2000; pp. 144–157. [Google Scholar] [CrossRef]
- Ismadi, R.S.H.; Hafifah, I.F. Exploration and morphological characterization of vegetative part of avocado at Bebesan subdistrict central Aceh district, Indonesia. In Proceedings of MICoMS 2017 (Emerald Reach Proceedings Series, Vol. 1); Emerald Publishing Limited: Bingley, UK; pp. 69–73. [CrossRef]
- Nkansah, G.O.; Ofosu-Budu, K.G.; Ayarna, A.W. Genetic diversity among local and introduced avocado germplasm based on morpho-agronomic traits. Int. J. Plant Breed Genet. 2013, 7, 76–91. [Google Scholar] [CrossRef][Green Version]
- Ehleringer, J.; Björkman, O.; Mooney, H.A. Leaf Pubescence: Effects on Absorptance and Photosynthesis in a Desert Shrub. Science 1976, 192, 376–377. [Google Scholar] [CrossRef] [PubMed]
- Answers. What are the Advantages of Having a Network of Vein in a Leaf? 2013. Available online: https://www.answers.com/Q/What_are_the_advantages_of_having_a_network_of_vein_in_a_leaf (accessed on 12 January 2020).
- Wolpert, S. Being Small Has Its Advantages, If You Are A Leaf. 2011. Available online: https://phys.org/news/2011-07-small-advantages-leaf.html (accessed on 12 January 2020).
- UCAVO. Avocado Varieties, Variety List. Undated. Available online: http://www.ucavo.ucr.edu/AvocadoVarieties/VarietyFrame.html#Anchor-47857 (accessed on 15 March 2019).
- Florida Department of Agriculture and Consumer Services. Florida Avocado Varieties. Undated. Available online: https://www.ams.usda.gov/sites/default/files/media/FloridaAvocadoVarieties.pdf (accessed on 15 March 2019).
- Avocadosource. Variety Database Search Results for Russell. Undated. Available online: http://www.avocadosource.com/AvocadoVarieties/QueryDB.asp (accessed on 8 March 2019).
- Lahav, E.; Gazit, S. World listing of avocado cultivars according to flowering type. Fruits 1994, 49, 299–313. [Google Scholar]
- TFNet. Avocado – Common Varieties. International Tropical Fruits Network. 2016. Available online: http://www.itfnet.org/v1/2016/05/avocado-common-varities/ (accessed on 8 March 2019).
- Popenoe, W. Manual of Tropical and Subtropical Fruits; Hafner Press: New York, NY, USA, 1974. [Google Scholar]
- Crane, J.H.; Balerdi, C.F.; Maguire, I. Avocado Growing in the Florida Home Landscape. University of Florida, 2016. Available online: https://edis.ifas.ufl.edu/mg213 (accessed on 16 September 2019).















| Region | District | n | Vernacular Name * |
|---|---|---|---|
| Mbeya | Mbeya city | 43 | Takapela (Safwa, singular), amatakapela(Safwa, plural), imatakapela (Nyakyusa) |
| Mbeya rural | 43 | Takapela (Nyakyusa, Ndali), katapela, kasokela (Nyakyusa) | |
| Rungwe | 34 | Itakapela (Ndali, Nyakyusa), kasokela (Nyakyusa), katapela (Ndali), takapela (Nyakyusa, Ndali), parachichi (Swahili) | |
| Busokelo | 18 | Katapela (Bena), kasokela (nyakyusa) | |
| Songwe | Mbozi | 25 | Itakapela (Safwa), takapela |
| Njombe | Njombe rural | 32 | Lidong’o (Bena, singular), madong’o (Bena, plural), katapela, |
| Njombe urban | 7 | Parachichi | |
| Wanging’ombe | 24 | Parachichi | |
| Total sampled trees | 226 | ||
| Organ | Character | Variants of the Character |
|---|---|---|
| Overall tree | Trunk surface | smooth, rough, very rough |
| Colour of young twig * | yellow (yellow-orange group 14A), green (green group 141A), red (greyed-orange group 166A), other | |
| Surface of young twig | glabrous, pubescent | |
| Leaf shape | ovate, narrowly obovate, obovate, oval, roundish, cordiform, lanceolate, oblong, oblong-lanceolate, other | |
| Pubescence of underside of the leaf | sparse, intermediate, dense | |
| Number of primary veins | ||
| Primary leaf vein divergence [°] a | ||
| Fruit | Fruit shape | oblate, spheroid, high spheroid, ellipsoid, narrowly obovate, obovate, pyriform, clavate, rhomboidal, other |
| Pedicel shape | cylindrical, conical, rounded, other | |
| Colour of ripe fruit peel | light green (green group 142A), green (green group 141B), dark green (green group 135A), yellow (yellow-green group 154A), red (orange-red group 30C), purple (purple group 79C), black (black group 202A), speckled, other | |
| Fruit peel thickness ** | 1 mm, 2 mm, 3 mm | |
| Flesh texture | watery, buttery, pastose (doughy), granular, other | |
| Seed | Seed shape | oblate, spheroid, ellipsoid, ovate, broadly ovate, cordiform, base flattened apex rounded, base flattened apex conical, other |
| Cotyledon surface | smooth, intermediate, rough |
| At the District Level | At an Altitude Range Level | ||||
|---|---|---|---|---|---|
| District | Number of Primary Leaf Veins | Leaf Vein Divergence | Altitude (masl) | Number of Primary Leaf Veins | Leaf Vein Divergence |
| Mbeya city | 12.85 | 8.05 | 719–1200 | 13.29 | 10.76 |
| Mbeya rural | 17.99 | 8.46 | 1201–1600 | 13.71 | 10.41 |
| Rungwe | 15.58 | 12.44 | 1601–1800 | 13.95 | 9.16 |
| Busokelo | 17.35 | 7.93 | 1801–1900 | 9.44 | 9.11 |
| Njombe urban | 9.93 | 12.35 | 1901–2136 | 13.16 | 9.80 |
| Njombe rural | 12.42 | 15.86 | |||
| Wanging’ombe | 15.71 | 9.29 | |||
| Mbozi | 12.83 | 10.28 | |||
| Shape | Cultivar | Parentage |
|---|---|---|
| The high spheroid shape | ‘Gordo’, ‘Harvest’, ‘HX73’ and ‘JJ12’ UCAVO [28] | the Guatemalan race UCAVO [28] |
| ‘SS23’ and ‘T181’ cultivars UCAVO [28] | hybrids UCAVO [28] | |
| ‘Brooks late’ (Florida Department of agriculture and consumer services [29] | ||
| The pyriform | ‘Alles’, ‘Alto’, ‘Artic’, ‘Baird’, ‘Bernard’, ‘Bishop’, ‘Brodia’ and ‘Hass’ [30]. | The Guatemalan race [30] |
| ‘Bradford’, ‘Carmen’, ‘Clifton’ and ‘Zutano’ [30] | the Mexican race [30] | |
| ‘Avila’] and ‘Baskerville’ [30] | The West Indian race [30] | |
| ‘Decem’ [30] (hybrid) [30] | a ‘Fuerte’* seedling [30,31] | |
| ‘Diamond’(hybrid) [30] | an open-pollinated seedling of ‘Fuerte’ [30] | |
| The rhomboidal shape | ‘LL1’ cultivar UCAVO [28] | the Guatemalan race UCAVO [28] |
| ‘P78’ UCAVO [28] | the hybrid UCAVO [28] | |
| The ellipsoid shape | ‘GEM’ [28] | the Guatemalan race cultivar [28] |
| ‘Fuchs – 20’ [30], | a West Indian cultivar [30] | |
| ‘Beebe’ and ‘Frazer’ (hybrid cultivars) [28] | ||
| The narrowly obovate | ‘Ettinger’ [28] | the Mexican race [28] |
| ‘Kona’, ‘Gil’, ‘H287’ and ‘Sharwil’ [28] | hybrid cultivars [28] | |
| The clavate shape | ‘Russell’ [30] and in the hybrid ‘Avis’ [28] | West Indian race [30] |
| ‘Avis’ [28] | the hybrid [28] | |
| The obovate shape | ‘Harris’, ‘Hickson’ and ‘Blair’ [30] | Guatemalan race [30] |
| ‘Auburndale’ and ‘Bitte’ [30] | West Indian race cultivars [30] | |
| ‘Herman’ [30] | Hybrid cultivars (Guatemalan × West Indian) [30] | |
| ‘Kilgore special’ [30] | comes from (Guatemalan × Mexican) × a probable Guatemalan [30] | |
| The spheroid shape | ‘Booth 7’ [29] | A Guatemalan × West Indian hybrid [3] |
| The oblate shape | ‘Thille’ [30] | an open-pollinated seedling of ‘Hass’ [30] |
| The necked long-elliptical with cleft at stylar end shape | ‘Pinkerton’ [32] | a Mexican × Guatemalan hybrid [32] |
| The pear-shaped at apex with long neck shape | ‘Russel’ [30] | the West Indian race [3] |
| The pear shape | matches with the cultivar ‘232’ [29] | |
| The long-necked pear shape | ‘K-5’ [29] | |
| ‘Hall’ [29] | a West Indian × Guatemalan hybrid [3] | |
| The elliptical, cleft at stylar end shape | ‘Miguel’ [29] | West Indian [29] |
| ‘Monroe Florida’ [29] | a West Indian × Guatemalan hybrid [31] | |
| ‘Leona’ [29] | has Guatemalan parentage [30] |
© 2020 by the authors. Licensee MDPI, Basel, Switzerland. This article is an open access article distributed under the terms and conditions of the Creative Commons Attribution (CC BY) license (http://creativecommons.org/licenses/by/4.0/).
Share and Cite
Juma, I.; Nyomora, A.; Hovmalm, H.P.; Fatih, M.; Geleta, M.; Carlsson, A.S.; Ortiz, R.O. Characterization of Tanzanian Avocado Using Morphological Traits. Diversity 2020, 12, 64. https://doi.org/10.3390/d12020064
Juma I, Nyomora A, Hovmalm HP, Fatih M, Geleta M, Carlsson AS, Ortiz RO. Characterization of Tanzanian Avocado Using Morphological Traits. Diversity. 2020; 12(2):64. https://doi.org/10.3390/d12020064
Chicago/Turabian StyleJuma, Ibrahim, Agnes Nyomora, Helena Persson Hovmalm, Moneim Fatih, Mulatu Geleta, Anders S. Carlsson, and Rodomiro Octavio Ortiz. 2020. "Characterization of Tanzanian Avocado Using Morphological Traits" Diversity 12, no. 2: 64. https://doi.org/10.3390/d12020064
APA StyleJuma, I., Nyomora, A., Hovmalm, H. P., Fatih, M., Geleta, M., Carlsson, A. S., & Ortiz, R. O. (2020). Characterization of Tanzanian Avocado Using Morphological Traits. Diversity, 12(2), 64. https://doi.org/10.3390/d12020064

