Abstract
Epiphytic richness is continuously declining due to forest fragmentation, logging, burning, agriculture, and livestock. The rate of species loss caused by habitat degradation and loss is more pronounced in Central and South America. Considering the extreme difficulty and time required to identify the more inconspicuous species, rapid diversity assessment methods need to be extrapolated throughout the world. This study correlated lichen growth forms and total epiphytic abundance across 119 forests located in Europe and Central-South America. A total of 54 papers were selected from specific databases focused on lichens. Additionally, data from several unpublished ecological studies were included. Linear regression models showed that epiphytic lichen abundance was highly and positively correlated with the number of growth forms at all geographical levels considered (i.e., Central-South American and European forests, and the combination of both). Thus, the use of growth forms may provide an alternative and complementary way to evaluate epiphytic diversity because most growth forms have cosmopolitan distribution and are easily recognizable.
1. Introduction
Well-preserved forests harbor a high diversity of epiphytic lichens, including a high number of species extremely affected by forest logging and deforestation [1,2]. Although forest cover loss is slowing down, deforestation and forest degradation continue throughout some regions of the world, being especially critical in tropical regions. Here, forests are disappearing at alarming rates due to anthropogenic threats [3,4]. This scenario of rapid deforestation has caused the decline of numerous species [2] and the transformation of original landscapes into grasslands, croplands, and plantations with fast-growing species and secondary vegetation to satisfy human needs [5,6].
Species richness is an iconic and useful measure of biodiversity, which allows for easy analysis of the biodiversity loss. However, richness is difficult to quantify in lichens given the substantial effort required for sampling and identification [7]. In many cases, anatomical characters (e.g., cortex and medulla structure, spore size and shape), thin-layer chromatography analyses of secondary metabolites, or even genetic studies (i.e., barcoding) are needed to identify the species [7,8]. The high cost of identification, in terms of financial resources and time, could explain the absence of lichenological studies in many areas of the world.
The strong decline of lichen species due to forest disturbance and the lack of studies focused on lichen diversity have led to the development of rapid assessment methods based on multiple indicators [9,10] as valuable tools to propose efficient conservation actions. For instance, the abundance of lichen genera and macrolichens has been highly correlated with total species richness [7]. Other studies have evidenced a correlation either between a simplified morphospecies list and lichen diversity values based on total species [9], or between the species abundance of a single family [10] and the total epiphytic richness. However, the use of these proposed indicators is still very restrictive because of the wide taxonomic knowledge that is necessary to apply them, and because their use does not provide advantages in terms of the time and resources used for fieldwork.
One promising alternative is the use of growth forms as an indicator of lichen diversity. Lichen strategies related with growth forms depend on environmental conditions [11,12]. In this regard, previous studies have shown that the abundance of different growth forms is related to microclimatic factors associated with forest structure (canopy cover), such as humidity, light availability, or temperature [2,13]. Moreover, growth forms have been related to the physiology and activity of lichens, such as in the nutrient uptake, photosynthetic performance, or water-use strategy [14,15]. Recent studies have incorporated the use of growth forms for assessing the total species abundance in tropical montane rainforests [2] and in Mediterranean oak forests [16]. Since growth forms are easier to recognize than lichen species, the quantification of growth forms can contribute to the rapid evaluation of areas with high lichen diversity [16].
Despite the a priori usefulness of the proposed method to assess total species abundance, it has only been tested in Mediterranean monospecific oak (Quercus spp.) forests. Thus, our main goal was to investigate the feasibility of the method to predict epiphytic lichen abundance based on growth forms, covering a wide variety of forest types and a vast area of Europe and Central-South America. Our first hypothesis was that an increase of the total species abundance involves an increase in the number of growth forms. The second hypothesis was that this correlation between the number of growth forms and species abundance is present both at a global scale and in different forest types. However, the third hypothesis proposed lower correlation values between species abundance and growth forms for Central-South American forests due to their great heterogeneity and diversity.
2. Material and Methods
2.1. Literature Search and Selection
The study area comprised forests located in 13 countries in Europe and 12 countries in Central and South America (Table 1). We conducted a literature search in specific databases available from a website focused on recent literature on lichens (last access on 28 December 2018) (http://nhm2.uio.no/botanisk/lav/RLL/RLL.HTM). We used a combination of the following search strings: “beech, Fagus, oak, Quercus, conifer, Picea, Pinus, Abies” for Europe. For Central and South America, we used the name of the different countries, such as Ecuador, Bolivia, Cuba, (Table 1) due to the great diversity in the nomenclature of existing forests in these countries (e.g., Chaco, Yungas, Caatinga).
Table 1.
Summary of the reviewed studies according to the country (in alphabetical order). Altitude (Alt) and forest type are also included. * refers to four ecological unpublished studies from our own research projects.
No limitation on the year of publication was used. The search provided more than 500 papers. Fifty-four papers were retained after an accurate screening of titles and abstracts, based on satisfying the following criteria: (i) floristic or ecological studies and (ii) relevant information on lichen diversity for a certain type of forest. Additionally, papers were included from previous literature searches conducted by the authors, as well as from other papers recently accepted and available online. We also included data from four ecological unpublished studies from our own research projects (Table 1). Although forests used for grazing, hunting, farming, etc. are usually poorer in lichen species [17,18,19], they were included and considered since we were interested in detecting great differences in species richness in order to check our hypotheses.
The selected papers included a large variety of forests at different altitudes and latitudes: Mediterranean (Quercus spp.), temperate (Fagus spp.), coniferous (Abies alba, Picea abies, Pinus spp.), montane (Nothofagus spp.), semiarid lowland forests, lowland amazon forests, tropical montane rainforests, tropical dry forests, Atlantic rainforests, riparian forests, etc. (Table 1).
2.2. Data Analyses
All lichen species from the studied papers were classified according to their thallus growth form (including the ascoma type in the case of crustose species). For that purpose, we followed specific literature [2,14,16,80,81,82,83] and the Global Information System for lichenized and non-lichenized ascomycetes (www.lias.net).
In general, thallus morphology is related to specific environmental conditions such as light intensity, temperature, humidity, and wind. For example, fruticose species are well-adapted to enhance air humidity uptake, and they depend on precipitation or water harvesting from fog in high mountains. Fruticose species are further divided by thallus morphology (dorsiventral or cylindrical) and color (light or dark colored), the latter determined by the presence of usnic acids (e.g., Usnea, Ramalina, Evernia) or dark melanin (e.g., Bryoria). Both features are related to environmental conditions: thallus morphology is related to the capacity for water storage and loss, and thallus color is related to protection against solar radiation. For certain groups (e.g., crustose inconspicuous species) we prioritized a finer division based on ascoma type (e.g., with lirellae, perithecia, or rounded apothecia) over thallus functionality given the reduction in the thallus morphology. Because of the high diversity of crustose inconspicuous species in dry areas (e.g., up to 90% of the species in tropical dry forests), the analysis of these growth forms is essential to make this method applicable to all forest types around the world.
Overall, 31 different growth forms were considered (Table 2). It is important to mention that lichen growth forms are easy to recognize by non-specialists and without knowing the taxonomical identity of the species. Different ascoma types of crustose inconspicuous species are also easily recognized using a field magnifier. Additionally, images can be found for all the types of growth forms sampled (Table 2) on different websites: Consortium of North American Lichen Herbaria (lichenportal.org), Biodiversidad Virtual (biodiversidadvirtual.org), and Pictures of tropical lichens (tropicallichens.net).
Table 2.
List of growth forms of epiphytic lichens studied. A lichen species is included as an example of each growth form.
We used linear regression models to explore the potential of lichen growth form richness to predict epiphytic lichen richness. Previously, assumptions of the models were checked testing the normality of the residuals. Subsequently, residual graphs were analyzed to check the normality, linearity, and independence of the variables. We tested the use of growth form number as a species richness indicator at different levels: (1) all forests together, (2) forests of Europe and Central-South America independently, (3) each European forest type (Mediterranean, temperate, and coniferous), and (4) unmanaged and managed forests separately. Forest type was not analyzed for Central and South America due to their great variability and the high diversity of tree species in each forest type. All analyses were carried out using the R 3.3.3 environment (R Development Core Team, 2006).
3. Results
A total of 119 forests were considered, covering 25 countries (13 in Europe and 12 in Central-South America) (Table 1), and 43 of which were unmanaged or poorly managed. The number of species in each forest ranged from 263, found in a tropical montane rainforest (Ecuador) [48], to 15 species from a semi-arid lowland rainforest (Argentina) [20]. In Europe, beech forests showed the highest species richness (up to 123 species) [56], while pine forests in Sweden were the least diverse (10–20 species) [76]. In relation to growth forms, crustose inconspicuous species with apothecia, foliose narrow-lobed, and foliose broad-lobed were the most common lichen groups.
Linear regression models showed that the epiphytic lichen abundance was highly and positively correlated with the number of growth forms at all geographical levels considered (Figure 1, Figure 2 and Figure 3). R2 values obtained when all forests were considered together were similar to those obtained after dividing between European and Central-South American forests (Figure 1). When different forest types were considered in Europe, the highest correlation value was found in beech forests (Figure 2). Finally, the lowest correlation values were found in the managed forests (Figure 3B).
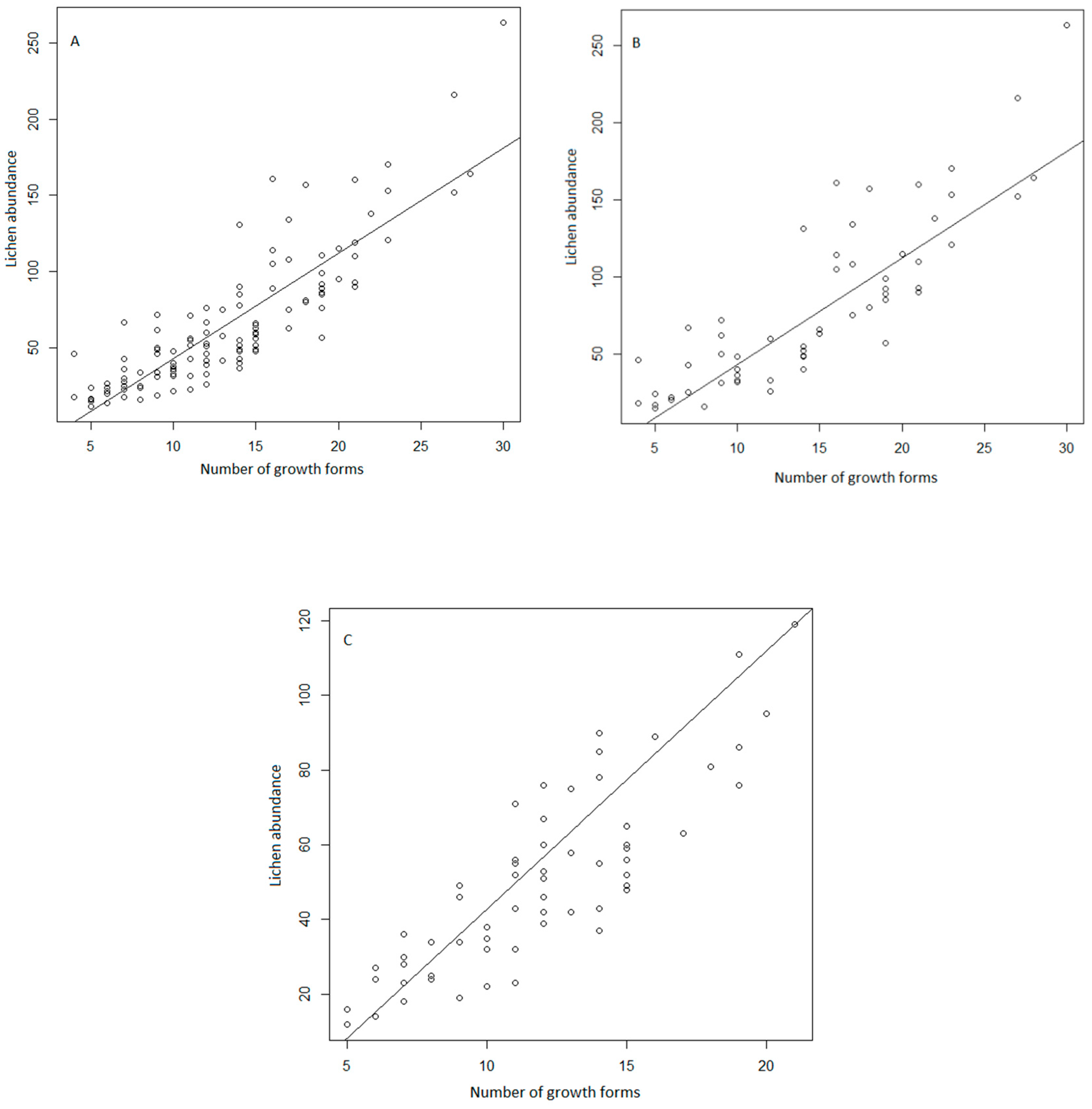
Figure 1.
Results of the linear models based on the number of growth forms (x-axis) and epiphytic species abundance (y-axis) for: (A) All forests together (y = 6.896x − 26.109, n = 119, R2 = 0.739), (B) Central-South American forests (y = 7.116x − 23.678, n = 58, R2 = 0.742), and (C) European forests (y = 5.297x − 12.543, n = 61, R2 = 0.713); p < 0.0001 in all cases.
Figure 2.
Results of the linear models based on the number of growth forms (x-axis) and epiphytic species abundance (y-axis) in European forests for: (A) Coniferous forests (y = 6.681x − 23.732, n = 22, R2 = 0.719), (B) Oak forests (y = 4.839x − 7.124, n = 22, R2 = 0.679), and (C) Beech forests (y = 6.597x − 34.437, n = 17, R2 = 0.827); p < 0.0001 in all cases.
Figure 3.
Results of the linear models based on the number of growth forms (x-axis) and epiphytic species abundance (y-axis) in: (A) Unmanaged forests (y = 7.291x − 27.868, n = 43, R2 = 0.695) and (B) Managed forests (y = 3.554x + 4.136, n = 76, R2 = 0.486), where p < 0.0001 in both cases.
4. Discussion
Our results consolidated the potential use of growth forms to assess epiphytic lichen abundance. The most notable result is that lichen growth forms could be used as a surrogate of species abundance in a wide range of forests both in Europe and Central-South America, where an increase in species abundance was always related to an increase in the number of growth forms. These results are similar to those previously obtained in a local study in central Spain developed in three types of oak forests (Quercus faginea, Q. ilex, Q. pyrenaica) [16].
An interesting and unexpected outcome was the relationship found between growth forms and lichen species richness for Central-South American forests, in spite of: (1) the great heterogeneity of forest types, ranging from dry coastal forests to montane tropical rainforests; (2) the large differences in forest structure, including multi-strata forests (tropical montane or Amazonian forests) to mono- or bi-stratified forests such as temperate (Nothofagus spp.) or dry forests; and (3) the great diversity of tree species present within a forest (Atlantic, dry, or montane rainforests), when compared against nearly monospecific forests (Nothofagus spp.).
The correlation between the number of growth forms and epiphytic abundance was also high for European forests, despite the variability produced by differences in the physical and chemical characteristics of the bark (e.g., pH, roughness) of the different tree species (Abies, Picea, Pinus, Fagus, Quercus). The highest correlation was detected in beech forests, whereas in oak forests this correlation was lower, probably as a consequence of the high number of Quercus species considered (10 species), including perennial, deciduous, and marcescent species. These species differed in bark roughness, with thick and very rough barks (Quercus suber, Q. pyrenaica) or with thin bark cracks (Quercus ilex). Furthermore, Quercus species in Europe extend along a wide distributional area covering a high climatic variability, from southern Mediterranean to northern temperate forests [84].
Lichens are firmly dependent on environmental conditions and very sensitive to anthropogenic disturbances [17,85,86,87], meaning that they are excellent indicators of environmental changes [2,12]. Besides, they have some easily detectable traits such as growth form [12,87,88] that are related with ecosystem functioning and whose diversity depends on environmental factors [2,87,88,89,90]. Our results showed that unmanaged forests harbored a higher number of epiphytic species and also a high diversity of growth forms. In this sense, different studies have already underlined that mature and unmanaged forests harbored a higher number of epiphytic lichen species, whereas in disturbed forests, epiphytic lichens progressively decreased [1,91,92]. Moreover, lichen species loss in response to environmental changes produced by forest disturbances is clearly correlated with the loss of functional strategies [2,11,12]. It is also important to note that the prediction of total diversity based on the number of growth forms was lower in the managed forests.
Thallus morphology is optimized for the uptake and loss of water [14], and therefore the environmental conditions of a specific location will affect the presence of different morphological types [16]. Sunny morpho-groups such as crustose inconspicuous, foliose narrow-lobed, and foliose broad-lobed are adapted to live in open forests, under high radiation and water stress environmental conditions [3,12,16,93]. Although they appear more frequently in managed forests, species developing these growth forms are also frequent in unmanaged and mature forests [92], specifically in forest clearings or in the most exposed branches of trees. However, species of shaded morpho-groups (e.g., crustose ecorticate, squamulose, squamulose-foliose, large foliose, foliose gelatinous, filamentous) were frequent in more dense and well-preserved forests, and were almost absent in open and managed woodlands [3,11,16,82,93,94]. The higher humidity inside forests benefits the colonization of the species with higher moisture requirements [16,82]. For example, gelatinous lichens (Collema, Leptogium) develop a thin upper cortex that favors an immediate hydration in a very short time [95,96], and they may suffer photoinhibition due to excessive radiation in more open forests [11,95]. Crustose ecorticate species are more frequent inside tropical forests [48,82]. They are well-adapted to remove water excess in two different ways: (1) the medullae hyphae create a hydrophobic layer, and (2) the draining channels of the prothallus exude the water after rain events [82].
As we have already pointed out, previous studies have shown that under stressful conditions the number of species in a specific community should drop. In parallel, the number of functional traits and their variability should also diminish (i.e., functional convergence), at least when environmental filters control the community assembly [97,98,99]. This positive relationship between species abundance and growth forms diversity may be because a higher number of lichen species could represent a wider range of traits values as a consequence of functional complementarity [100]. In this way, the best well-preserved forests that harbor higher species abundance also harbor a greater diversity of growth forms.
Growth forms are easily recognizable by non-specialists using only a small field magnifier. However, a small likelihood for error (e.g., non-detection or mis-identification of growth forms) may exist, especially in forests with high diversity of epiphytic species and a large number of growth forms. In this case, a direct effect on the number of predictable species may occur because of the linear relationship among growth forms and species abundance. Here, we estimated an average error of 5% when a growth form was not detected. This percentage was calculated based on the case of underestimating a total of seven species per unmanaged forests (higher abundance of epiphytic species), which constitutes an insignificant error. Based on all the results obtained, this proposal provides a valid method for estimating the total lichen richness, especially in South American forests (e.g., tropical rain forests), which show the highest world rates of forest alteration [101].
In conclusion, lichen growth forms may be used to infer total species abundance considering a wide variety of forest types and at a global scale. The use of growth forms will provide an important step for forest conservation, and a promising alternative and complement to evaluate the epiphytic diversity because most growth forms have a cosmopolitan distribution and are easily recognizable in the field.
Author Contributions
Conceptualization, G.A.; methodology, G.A., I.M. and Á.B.; formal analysis, G.A. and M.P; investigation, G.A.; resources, G.A., P.H. and C.R.; data curation, G.A., P.H. and C.R.; writing—original draft preparation, G.A. and I.M.; writing—review and editing, G.A., I.M., P.H. and M.P.; project administration, I.M.; funding acquisition, I.M. and M.P.
Funding
This research was supported by the Ministry of Economy and Competitiveness (projects EPIDIVERSITY CGL2013-47010-P and NOTHODIVERSITY CGL2016-80562-P).
Conflicts of Interest
The authors declare no conflict of interest.
References
- Aragón, G.; Martínez, I.; Izquierdo, P.; Belinchón, R.; Escudero, A. Effects of forest management on epiphytic lichen diversity in Mediterranean forests. Appl. Veg. Sci. 2010, 13, 183–194. [Google Scholar] [CrossRef]
- Benítez, A.; Aragón, G.; González, Y.; Prieto, M. Functional traits of epiphytic lichens in response to forest disturbance and as predictors of total richness and diversity. Ecol. Ind. 2018, 86, 18–26. [Google Scholar] [CrossRef]
- Myers, N.; Mittermeier, R.A.; Mittermeier, C.G.; Da Fonseca, G.A.; Kent, J. Biodiversity hotspots for conservation priorities. Nature 2000, 403, 853–858. [Google Scholar] [CrossRef] [PubMed]
- Gibson, L.; Lee, T.M.; Koh, L.P.; Brook, B.W.; Gardner, T.A.; Barlow, J.; Peres, C.A.; Bradshaw, C.J.; Laurance, W.F.; Lovejoy, T.E.; et al. Primary forests are irreplaceable for sustaining tropical biodiversity. Nature 2011, 478, 378–381. [Google Scholar] [CrossRef] [PubMed]
- Chazdon, R.L. Beyond deforestation: Restoring forests and ecosystem services on degraded lands. Science 2008, 320, 1458–1460. [Google Scholar] [CrossRef] [PubMed]
- Gibbs, H.K.; Ruesch, A.S.; Achard, F.; Clayton, M.K.; Holmgren, P.; Ramankutty, N.; Foley, J.A. Tropical forests were the primary sources of new agricultural land in the 1980s and 1990s. Proc. Natl. Acad. Sci. USA 2010, 107, 16732–16737. [Google Scholar] [CrossRef] [PubMed]
- Bergamini, A.; Scheidegger, C.; Stofer, S.; Carvalho, P.; Davey, S.; Dietrich, M.; Dubs, F.; Farkas, E.; Groner, U.; Kärkkäinen, K.; et al. Performance of macrolichens and lichen genera as indicators of lichen species richness and composition. Conserv. Biol. 2005, 19, 1051–1062. [Google Scholar] [CrossRef]
- Kelly, L.J.; Hollingsworth, P.M.; Coppins, B.J.; Ellis, C.J.; Harrold, P.; Tosh, J.; Yahr, R. DNA barcoding of lichenized fungi demonstrates high identification success in a floristic context. New Phytol. 2011, 191, 288–300. [Google Scholar] [CrossRef] [PubMed]
- Giordani, P.; Brunialti, G.; Benesperi, R.; Rizzi, G.; Frati, L.; Modenesi, P. Rapid biodiversity assessment in lichen diversity surveys: Implications for quality assurance. J. Environ. Monit. 2009, 11, 730–735. [Google Scholar] [CrossRef] [PubMed]
- Aragón, G.; Belinchón, R.; Martínez, I.; Prieto, M. Estimating epiphytic lichen richness by simple families in Mediterranean forests. For. Ecol. Manag. 2013, 310, 187–193. [Google Scholar] [CrossRef]
- Kranner, I.; Beckett, R.; Hochman, A.; Nash, T., III. Desiccation-Tolerance in Lichens: A Review. Bryologist 2008, 111, 576–593. [Google Scholar] [CrossRef]
- Giordani, P.; Brunialti, G.; Bacaro, G.; Nascimbene, J. Functional traits of epiphytic lichens as potential indicators of environmental conditions in forest ecosystems. Ecol. Ind. 2012, 18, 413–420. [Google Scholar] [CrossRef]
- Pinho, P.; Bergamini, A.; Carvalho, P.; Branquinho, C.; Stofer, S.; Scheidegger, C.; Maguas, C. Lichen functional groups as ecological indicators of the effects of land-use in Mediterranean ecosystems. Ecol. Ind. 2012, 15, 36–42. [Google Scholar] [CrossRef]
- Büdel, B.; Scheidegger, C. Thallus morphology and anatomy. In Lichen Biology, 2nd ed.; Nash, T.H., III, Ed.; Cambridge University Press: Cambridge, UK, 2008; pp. 40–68. [Google Scholar]
- Asplund, J.; Wardle, D.A. How lichens impact on terrestrial community and ecosystem properties. Biol. Rev. 2016, 92, 1720–1738. [Google Scholar] [CrossRef]
- Aragón, G.; Belinchón, R.; Martínez, I.; Prieto, M. A survey method for assessing the richness of epiphytic lichens using growth forms. Ecol. Ind. 2016, 62, 101–105. [Google Scholar] [CrossRef]
- Aragón, G.; López, R.; Martínez, I. Effects of Mediterranean dehesa management on epiphytic lichens. Sci. Total Environ. 2010, 409, 116–122. [Google Scholar] [CrossRef] [PubMed]
- Friedel, A.; Oheimb, G.V.; Dengler, J.; Härdtle, W. Species diversity and species composition of epiphytic bryophytes and lichens—A comparison of managed and unmanaged beech forests in NE Germany. Feddes Repert. 2006, 117, 172–185. [Google Scholar] [CrossRef]
- Nascimbene, J.; Marini, L. Oak forests exploitation and black locust invasion caused severe shifts in epiphytic lichen communities in northern Italy. Sci. Tot. Environ. 2010, 408, 5506–5512. [Google Scholar] [CrossRef]
- Estrabou, C.; Stiefkens, L.; Hadid, M.; Rodríguez, J.; Pérez, A. Estudio comparativo de la comunidad liquénica en cuatro ecosistemas de la provincia de Córdoba. Bol. Soc. Argent. Bot. 2005, 40, 3–12. [Google Scholar]
- Quiroga, G.; Estrabou, C.; Rodríguez, J.M. Lichen community response to different management situations in Cerro Colorado protected forest (Córdoba, Argentina). Lazaroa 2008, 29, 131–138. [Google Scholar]
- García, R.; Rosato, V. Nuevas citas de líquenes para la Reserva Natural de Punta Lara, provincia de Buenos Aires, Argentina. Rev. Mus. Argent. Cienc. Nat. 2013, 15, 169–174. [Google Scholar] [CrossRef]
- Flakus, A. Contribution to the knowledge of the lichen biota of Bolivia. 2. Pol. Bot. J. 2008, 53, 145–153. [Google Scholar]
- Flakus, A.; Oset, M.; Jablonska, A.; Rodríguez, P.; Kurka, M. Contribution to the knowledge of the lichen biota of Bolivia. 3. Pol. Bot. J. 2011, 56, 159–183. [Google Scholar]
- Flakus, A.; Etayo, J.; Schiefelbein, U.; Ahti, T.; Jablonska, A.; Oset, M.; Bach, K.; Rodríguez, P.; Kukwa, M. Contribution to the knowledge of the lichen biota of Bolivia. 4. Pol. Bot. J. 2012, 57, 427–461. [Google Scholar]
- Flakus, A.; Sipman, H.J.M.; Bach, K.; Rodríguez, P.; Knudsen, K.; Ahti, T.; Schiefelbein, U.; Palice, Z.; Jablonska, A.; Oset, M.; et al. Contribution to the knowledge of the lichen biota of Bolivia. 5. Pol. Bot. J. 2013, 58, 697–733. [Google Scholar] [CrossRef]
- Flakus, A.; Sipman, H.J.M.; Rodríguez, P.; Schiefelbein, U.; Jablonska, A.; Oset, M.; Kukwa, M. Contribution to the knowledge of the lichen biota of Bolivia. 6. Pol. Bot. J. 2014, 59, 63–83. [Google Scholar] [CrossRef]
- Flakus, A.; Sipman, H.J.M.; Rodríguez, P.; Jablonska, A.; Oset, M.; Meneses, R.I.; Kukwa, M. Contribution to the knowledge of the lichen biota of Bolivia. 7. Pol. Bot. J. 2015, 60, 81–98. [Google Scholar] [CrossRef]
- Flakus, A.; Oset, M.; Rykaczewski, M.; Schiefelbein, U.; Kukwa, M. Contribution to the knowledge of the lichen biota of Bolivia. 8. Pol. Bot. J. 2016, 61, 107–126. [Google Scholar] [CrossRef]
- Silva-Cáceres, M.E.; Aptroot, A. Lichens from the Brazilian Amazon, with special reference to the genus Astrothelium. Bryologist 2017, 120, 166–182. [Google Scholar] [CrossRef]
- Silva-Cáceres, M.E.; Mota, N.; Alves, L.; de Almeida Pereira, T.; Aptroot, A. New records to Brazil and Southern Hemisphere f corticolous and saxicolous lichens from the semiarid region in Ceará State. Iheringia 2017, 72, 239–245. [Google Scholar] [CrossRef]
- Barrero, A.; Anjos, A.; de Sousa, L.; Aptroot, A.; Lücking, R.; Monique, V.; Silva-Cáceres, M.E. Epiphytic micdrolichens as indicators of phytosociological differentiation between Caatinga and Brejos Altitude. Acta Bot. Braslilica 2015, 29, 457–466. [Google Scholar] [CrossRef]
- Koch, N.M.; de Azevedo, S.M.; Lucheta, F.; Müller, S.C. Functional diversity and traits assembly patterns of lichens as indicators of succesional stages in a tropical rainforest. Ecol. Ind. 2013, 34, 22–30. [Google Scholar] [CrossRef]
- Käffer, M.I.; Dantas, R.V.; de Azevedo Martins, S.M. Characterization of the epiphytic lichen vegetation in a riparian forest in southern Brazil. Plant Ecol. Evol. 2016, 149, 92–100. [Google Scholar] [CrossRef]
- Silva-Cáceres, M.E.; Lücking, R.; Rambold, G. Phorophyte specificity and environmental parameters versus stocasticity as determinants for species composition of corticolous crustose lichen communities in the Atlantic rain forests of northeastern Brazil. Mycol. Prog. 2007, 6, 117–136. [Google Scholar] [CrossRef]
- Silva-Cáceres, M.E. Corticolous Crustose and Microfoliose Lichens of Northeastern Brazil; Libri botanici; IHW-Verlag: Eching, Postfach, 2007; Volume 22, pp. 1–168. ISBN 9783930167685. [Google Scholar]
- Rubio, C.; Saavedra, M.; Cuéllar, M.; Díaz, R.; Quilhot, W. Epiphytic lichens of Conguillío National Park, southern Chile. Gayana Bot. 2013, 70, 66–81. [Google Scholar] [CrossRef]
- Gatica, A.; Pereira, I.; Vallejos, O. Líquenes epífitos: Una herramienta para estudiar la continuidad ecológica en Isla Mocha, Chile. Gayana Bot. 2011, 68, 226–235. [Google Scholar] [CrossRef]
- Pereira, I. Micobiota liquenizada del Parque Katalapi, X Región, Chile. Gayana Bot. 2007, 64, 192–200. [Google Scholar] [CrossRef]
- Quilhot, W.; Cuellar, M.; Díaz, R.; Riquelme, F.; Rubio, C. Estudio preliminar de la flora liquénica de Isla Mocha, sur de Chile. Gayana Bot. 2010, 67, 206–212. [Google Scholar] [CrossRef]
- Pereira, I.; Müller, F.; Moya, M. Influence of Nothofagus bark pH on the lichen and bryophytes richness, Central Chile. Gayana Bot. 2014, 71, 120–130. [Google Scholar] [CrossRef]
- Wolf, J.H.D. Epiphyte communities of tropical montane rain forests in the northern Andes I. Lower montane communities. Phytocoenologia 1993, 22, 1–52. [Google Scholar] [CrossRef]
- Soto, E.; Bolaños, A.C. Diversidad de líquenes corticolas en el bosque subandino de la finca Zíngara (Cali, valle del Cauca). Rev. Cienc. 2010, 14, 35–44. [Google Scholar]
- Ramírez-Morán, N.A.; León-Gómez, M.; Lücking, R. Uso de biotipos de líquenes como bioindicadores de perturbación en fragmentos de bosque altoandino (Reserva Biológica “Encenillo”, Colombia). Caldasia 2016, 38, 31–52. [Google Scholar] [CrossRef]
- Holz, I.; Gradstein, S.R. Cryptogamic epiphytes in primary and recovering upper montane oak forests of Costa Rica—Species richness, community composition and ecology. Plant Ecol. 2005, 178, 89–109. [Google Scholar] [CrossRef]
- Rosabal, D.; Burgaz, A.R.; Reyes, O.J. Diversidad y distribución vertical de líquenes corticícolas en la pluvisilva montana de la Gran Piedra, Cuba. Bot. Compl. 2012, 36, 19–30. [Google Scholar] [CrossRef]
- Rosabal, D.; Aragón, G. Líquenes epífitos en el matorral costero de la Reserva Ecológica Siboney-Juticí (cuba). Bot. Compl. 2010, 34, 21–25. [Google Scholar]
- Benítez, A.; Prieto, M.; Aragon, G. Large trees and dense canopies: Key factors for maintaining high epiphytic diversity on trunk bases (bryophytes and lichens) in tropical montane forests. Forestry 2015, 88, 521–527. [Google Scholar] [CrossRef]
- Benítez, A.R.; Aragón, G.; Prieto, M. Lichen Diversity in Tropical Dry Forests Is Highly Influenced by Host Tree Traits (doc. ined). Chapter 4. Ph.D. Thesis, University Rey Juan Carlos, Móstoles, Spain, 2016. [Google Scholar]
- Nöske, N.M.; Sipman, H.J.M. Cryptogams of the Reserva Biológica San Francisco Province Zamora-Chinchipe, Southern Ecuador. II. Lichens. Cryptogam. Mycol. 2004, 25, 91–100. [Google Scholar]
- Pérez-Pérez, R.E.; Miramontes-Rojas, N.; Aguilar-Rosales, J.; Quiroz-Castelán, H. Macrolíquenes cortícolas de dos especies de coníferas del Parque Nacional lagunas de Zempoala. Acta Univ. 2008, 18, 33–39. [Google Scholar]
- Etayo, J.; Aptroot, A. Líquenes epífitos y hongos liquenícolas de Bahía Honda (Veraguas, Panamá). In Estudios Sobre la Biodiversidad de la Región de Bahía Honda (Veraguas, Panamá); Ibáñez, A., Castroviejo, S., Eds.; CSIC: Madrid, Spain, 2005; pp. 63–94. ISBN 978-84-00-08405-9. [Google Scholar]
- Ramos, D. Lista de especies de líquenes y hongos liquenícolas del Perú. Glalia 2014, 6, 1–49. [Google Scholar]
- Lugo, G. Preliminary inventory of corticolous lichens of the Sierra de San Luis, Venezuela. Rev. Biodivers. Neotrop. 2013, 3, 98–105. [Google Scholar] [CrossRef]
- Marcano, V.; Molares, A.; Sipman, H.; Calderón, L. A first checklist of the lichen-forming fungi of the Venezuelan Andes. Trop. Bryol. 1996, 12, 193–235. [Google Scholar] [CrossRef]
- Aragón, G.; Martínez, I.; Burgaz, A.R.; Belinchón, R.; Prieto, M.; Otálora, M.A.G.; Garcia, A.; Lopez, R.; de Paz, G.A. Inventariación de la diversidad liquénica del Parque Nacional de los Picos de Europa. In Proyectos de Investigación en Parques Nacionales, 2003–2006; Ramírez, L., Asensio, B., Eds.; Organismo Autónomo Parques Nacionales: Madrid, Spain, 2007; pp. 79–106. ISBN 978-84-8014-722-4. [Google Scholar]
- Aragón, G.; Martínez, I.; Belinchón, R. Aportación al conocimiento de los líquenes epífitos de Pinus halepensis, P. nigra y P. sylvestris en la Península Ibérica. Bot. Compl. 2006, 30, 61–70. [Google Scholar]
- Aragón, G.; Rico, V.J.; Belinchón, R. Lichen diversity from Cazorla, Segura and Las Villas Biosphere Reserve (SE Spain). Nova Hedwigia 2006, 82, 31–50. [Google Scholar] [CrossRef]
- Fos, S. Líquenes epífitos de los alcornocales ibéricos. Correlaciones bioclimáticas, anatómicas y densimétricas con el corcho de reproducción. Guineana 1998, 4, 1–507. [Google Scholar]
- Aragón, G.; Martínez, I. Contribución al conocimiento de los líquenes epifíticos de la Sierra de Alcaraz (Albacete, España). Cryptogam. Mycol. 1999, 20, 57–70. [Google Scholar] [CrossRef]
- Aragón, G.; Martínez, I. Contribución al conocimiento de los líquenes epifíticos de los Montes de Toledo (Toledo, España). Cryptogam. Bryol. Lichenol. 1997, 18, 63–75. [Google Scholar]
- Lohmus, P.; Lohmus, A. Snags, and their lichen flora in old Estonian peatland forets. Ann. Bot. Fennici 2001, 38, 265–280. [Google Scholar]
- Marmor, L.; Torra, T.; Saag, T.; Leppik, E.; Randlane, T. Lichens on Picea abies and Pinus sylvestris—From the bottom to the top. Lichenologist 2013, 45, 51–63. [Google Scholar] [CrossRef]
- Kivistö, L.; Kuusinen, M. Edge effects on the epiphytic lichen flora of Picea abies in middle boreal Finland. Lichenologist 2000, 32, 387–398. [Google Scholar] [CrossRef]
- Bricaud, O.; Roux, C. Deux associations lichéniques corticoles nouvelles, mésoméditerranéennes, sciaphiles: Le Ramonio-Striguletum mediterraneae et le Striguletum affinis. Lichenologist 1994, 26, 113–134. [Google Scholar] [CrossRef]
- Muggia, L.; Kati, V.; Rohrer, A.; Hallet, J.; Mayrhofer, H. Species diversity of lichens in the sacred groves of Epirus (Greece). Herzogia 2018, 31, 231–244. [Google Scholar] [CrossRef]
- Christensen, S.N. Lichens associated with Pinus nigra on Mt. Trapezitsa, Epirus, NW Greece. Acta Bot. Fennica 1994, 150, 11–20. [Google Scholar]
- Pirintsos, S.A.; Diamantopoulos, J.; Stamou, G.P. Analysis of the vertical distribution of epiphytic lichens on Pinus nigra (Mount Olympos, Greece) along an altitudinal gradient. Vegetatio 1993, 109, 63–70. [Google Scholar] [CrossRef]
- Király, I.; Nascimbene, J.; Tinya, F.; Ódor, P. Factors influencing epiphytic bryophyte and lichen species at different spatial scales in managed temperate forests. Biodivers. Conserv. 2013, 22, 209–223. [Google Scholar] [CrossRef]
- Loppi, S.; Pirintsos, S.A.; Olivieri, N.; Pacioni, G. Distribution of epiphytic lichens on Quercus pubescens along an altitudinal gradient on the Adriatic side of Central Italy. Stud. Geobot. 1999, 17, 85–90. [Google Scholar]
- Brunialti, G.; Frati, L.; Loppi, S. Fragmentation of mediterranean oak forests affects the diversity of epiphytic lichens. Nova Hedwig. 2012, 96, 265–278. [Google Scholar] [CrossRef]
- Loppi, S.; Pritintsos, S.A.; de Dominicis, V. Analysis of the distribution of epiphytic lichens on Quercus pubescens along an altitudinal gradient in a mediterranean area (Tuscany, ventral Italy). Isr. J. Plant Sci. 1997, 45, 53–58. [Google Scholar] [CrossRef]
- Nascimbene, J.; Nimis, P.L.; Dainese, M. Epiphytic lichen conservation in the Italian Alps: The role of forest type. Fungal Ecol. 2014, 11, 164–172. [Google Scholar] [CrossRef]
- Kubiak, D. Lichens of read oak Quercus rubra in the forest environment in the Olsztyn Lake District (NE Poland). Acta Mycol. 2006, 41, 319–328. [Google Scholar] [CrossRef]
- Fritz, O.; Heilmann-Clausen, J. Rot holes create key microhabitats for epiphytic lichens and bryophytes on beech (Fagus sylvatica). Biol. Conserv. 2010, 143, 1008–1016. [Google Scholar] [CrossRef]
- Bäcklund, A.; Jönsson, M.; Strengbom, J.; Frisch, A.; Thor, G. A pine is a pine and a spruce is a spruce—The effect of tree species and stand age on epihytic lichen communities. PLoS ONE 2016, 11, e0147004. [Google Scholar] [CrossRef]
- Özturk, Ş.; Oran, S.; Güvenç, Ş.; Dalkiran, N. Analysis of the distribution of epiphytic lichens in the oriental beech (Fagus orientalis Lipsky) forests along an altitudinal gradient in Uludag mountain, Bursa—Turkey. Pak. J. Bot. 2010, 42, 2661–2670. [Google Scholar]
- Güvenc, S.; Öztürk, S. Difference in epiphytic lichen communities on Quercus cerris from urban and rural areas in Bursa (Turkey). Pak. J. Bot. 2017, 49, 631–637. [Google Scholar]
- Dymytrova, L.; Nadyeina, O.; Naumovych, A.; Keller, C.; Scheidegger, C. Primeval Beech Forests of Ukrainian Carpathians are Sanctuaries for Rare and Endangered Epiphytic Lichens. Herzogia 2013, 26, 73–89. [Google Scholar] [CrossRef]
- Nimis, P.L.; Martellos, S. ITALIC-The Information System on Italian Lichens. 4.0. University of Trieste, Dept. of Biology, IN4.0/1. 2008. Available online: http://dbiodbs.univ.trieste.it/ (accessed on 26 November 2018).
- Rivas-Plata, E.; Lücking, R.; Sipman, H.J.; Mangold, A.; Kalb, K.; Lumbsch, H.T. A world-wide key to the thelotremoid Graphidaceae, excluding the Ocellularia-Myriotrema-Stegobolus clade. Lichenologist 2010, 42, 139–185. [Google Scholar] [CrossRef]
- Lakatos, M.; Rascher, U.; Büdel, B. Functional characteristics of corticolouslichens in the understory of a tropical lowland rain forest. New Phytol. 2006, 172, 679–695. [Google Scholar] [CrossRef]
- Smith, C.W.; Aptroot, A.; Coppins, B.J.; Fletcher, A.; Gilbert, O.L.; James, P.W.; Wolseley, P.A. The Lichens of Great Britain and Ireland; British Lichen Society: London, UK, 2009. [Google Scholar]
- San Miguel-Ayanz, J.; de Rigo, D.; Caudullo, G.; Houston, T.D.; Mauri, A. European Atlas of Forest Tree Species; European Commission: Luxembourg, 2016. [Google Scholar]
- Nimis, P.L.; Scheidegger, C.; Wolseley, P.A. Monitoring with Lichens: Monitoring Lichens; Kluwer Academic Published in Association with the NATO Scientific Affairs Division; Springer: Dordrecht, The Netherlands; London, UK, 2002. [Google Scholar]
- Svoboda, D.; Peksa, O.; Veselà, J. Epiphytic lichen diversity in central European oak forests: Assessment of the effects of natural environmental factors and human influences. Environ. Pollut. 2010, 158, 812–819. [Google Scholar] [CrossRef]
- Matos, P.; Pinho, P.; Aragón, G.; Martínez, I.; Nunes, A.; Soares, A.M.V.M.; Branquinho, C. Lichen traits responding to aridity. J. Ecol. 2015, 103, 451–458. [Google Scholar] [CrossRef]
- Prieto, M.; Martínez, I.; Aragón, G.; Verdú, M. Phylogenetic and functional structure of lichen communities under contrasting environmental conditions. J. Veg. Sci. 2017, 28, 871–881. [Google Scholar] [CrossRef]
- Ellis, C.J. Lichen epiphyte diversity: A species, community and trait-based review. Perspect. Plant Ecol. Evol. Syst. 2012, 14, 131–152. [Google Scholar] [CrossRef]
- Concostrina-Zubiri, L.; Pescador, D.S.; Martínez, I.; Escudero, A. Climate and small-scale factors determine functional diversity shifts of biological soil crusts in Iberian drylands. Biodiv. Conserv. 2014, 23, 1757–1770. [Google Scholar] [CrossRef]
- Newmaster, S.G.; Bell, F.W. The effects of silvicultural disturbances on cryptogam diversity in the boreal-mixed wood forests. Can. J. For. Res. 2002, 32, 38–51. [Google Scholar] [CrossRef]
- Benítez, A.; Prieto, M.; González, Y.; Aragón, G. Effects of tropical montane forest disturbance on epiphytic macrolichens. Sci. Total Environ. 2012, 441, 169–175. [Google Scholar] [CrossRef] [PubMed]
- Marini, L.; Nascimbene, J.; Nimis, P.L. Large-scale patterns of epiphytic lichen species richness: Photobiont-dependent response to climate and forest structure. Sci. Total Environ. 2011, 409, 4381–4386. [Google Scholar] [CrossRef]
- Li, S.; Liu, W.Y.; Li, D.W. Bole epiphytic lichens as potential indicators of environmental change in subtropical forest ecosystems in Southwest China. Ecol. Indic. 2013, 29, 93–104. [Google Scholar] [CrossRef]
- Nash, T.H. Lichen Biology; Cambridge University Press: New York, NY, USA, 2008. [Google Scholar]
- Sillett, S.C.; Antoine, M.E. Lichens and bryophytes in forest canopies. In Forest Canopies; Lowman, M.D., Inker, H.B., Eds.; Elsevier Academic Press: Oxford, UK, 2004; pp. 151–174. ISBN 9780080491349. [Google Scholar]
- Keddy, P.A. Assembly and response rules: Two goals for predictive community ecology. J. Veg. Sci. 1992, 3, 157–164. [Google Scholar] [CrossRef]
- Weiher, E.; Clarke, G.D.P.; Keddy, P.A. Community assembly rules, morphological dispersion, and the coexistence of plant species. OIKOS 1998, 81, 309–322. [Google Scholar] [CrossRef]
- Grime, J.P. Trait convergence and trait divergence in herbaceous plant communities: Mechanisms and consequences. J. Veg. Sci. 2006, 17, 255–260. [Google Scholar] [CrossRef]
- Petchey, O.L.; Gaston, K.J. Functional diversity (FD), species richness and community composition. Ecol. Lett. 2002, 5, 402–411. [Google Scholar] [CrossRef]
- FAO. El Estado de los Bosques del Mundo. Los Bosques y la Agricultura: Desafíos y Oportunidades; FAO: Rome, Italy, 2016; 36p, ISBN 9789253092086. [Google Scholar]
© 2019 by the authors. Licensee MDPI, Basel, Switzerland. This article is an open access article distributed under the terms and conditions of the Creative Commons Attribution (CC BY) license (http://creativecommons.org/licenses/by/4.0/).


