Next Article in Journal
(Z)-8-Hydroxy-6-(2-hydroxyphenyl)-9-(4-methylbenzoyl)-2-(((E)-2-oxoindolin-3-ylidene)hydrazineylidene)-1-thia-3,6-diazaspiro[4.4]non-8-ene-4,7-dione
Previous Article in Journal
N-(3-Methoxyphenethyl)-2-propylpentanamide
 
 
Font Type:
Arial Georgia Verdana
Font Size:
Aa Aa Aa
Line Spacing:
Column Width:
Background:
Communication

Stepwise Orthogonal Protection of Calix[4]arene Triamine: A Facile Route to Asymmetric Structures

1
Department of Chemistry, M. V. Lomonosov Moscow State University, Lenin’s Hills 1, 119991 Moscow, Russia
2
State Research Institute for Chemistry and Technology of Organoelement Compounds, Sh. Entuziastov 38, 105118 Moscow, Russia
*
Author to whom correspondence should be addressed.
Molbank 2026, 2026(1), M2115; https://doi.org/10.3390/M2115
Submission received: 18 November 2025 / Revised: 14 December 2025 / Accepted: 22 December 2025 / Published: 24 December 2025
(This article belongs to the Section Organic Synthesis and Biosynthesis)

Abstract

A cone calix[4]arene having one tert-butyl group and three amino groups at the wide rim was bis-N-protected stepwise using sulfonylation with 4-nitrobenzylsulfonyl chloride, followed by acylation with di-tert-butyl dicarbonate. The selective sulfonylation was shown to prefer the amino group located in the proximal calixarene aromatic unit relative to the tert-butylated moiety, resulting in the formation of an inherently chiral calix[4]arene with a wide-rim substitution pattern of AABC type. Further acylation of one of the two remaining amino groups also proceeded selectively. It involved the calixarene aromatic unit adjacent to the sulfonylated moiety, as clearly demonstrated by 2D NMR data for the ABCD-substituted reaction product, which was obtained as a mixture of enantiomers. The mixture was acylated with (R)-mandelic acid succinimide ester, and the resulting diastereomers were separated by conventional column chromatography, thus demonstrating the applicability of the stepwise protection strategy for the further preparation of enantiopure calix[4]arene cores possessing inherent chirality due to four different substituents at their wide rims.

1. Introduction

The attachment of amino groups to the p-positions of the core aromatic units is widely used in calixarene chemistry [1], since it enables a variety of further chemical transformations of the macrocycles, leading to diverse receptor molecules and other multifunctional structures capable of sophisticated supramolecular interactions. Of the p-aminated calixarenes, the most exploited are the cone calix[4]arenes having amino groups in all four aromatic units of the core (at the wide rim of the macrocycle), and their modifications (e.g., acylation) allow the grafting of four identical functional units on a common platform, leading, for example, to efficient extractants for f-elements [2,3], dimeric capsules containing small organic molecules [4], or multiple catenanes of impressive topology [5]. These calix[4]arenes are easily available by exhaustive ipso-nitration of the pre-O-alkylated p-tert-butylcalixarene precursors followed by the nitro group reduction [6,7]. To obtain greater flexibility in functionalization, synthetic strategies have also been developed to introduce fewer than four amino groups to the wide rim of calix[4]arene cores, and most of them are based on partial nitration of macrocycles having [8,9] or not having [6] a specifically designed substitution pattern at the calixarene narrow rims. A reasonable alternative to these multistep syntheses may consist of the selective protection of multi-aminated calix[4]arenes, which enables sequential involvement of the amino groups in different chemical transformations. Still, known methods for selective reversible protection of the wide-rim multi-aminated calix[4]arenes are very limited (although more examples can be found in the literature for irreversible partial acylation of amino groups in, for instance, the wide-rim calix[4]arene diamines). Indeed, for the wide-rim calixarene tetraamines, selective protection of one, two proximal, or three amino groups using di-tert-butyl dicarbonate (Boc anhydride) has been reported [10,11], while protection of two distal amino groups has been achieved only by their selective tritylation [12]. Also, in a distal calix[4]arene diamine, one of the two amino groups has been successfully protected with a Boc moiety [13].
To expand the functionalization capabilities of p-aminated calix[4]arenes, herein we report their stepwise modification using protecting groups of two types—4-nitrophenylsulfonyl and tert-butoxycarbonyl groups—which can be further cleaved orthogonally, allowing the introduction of up to three different functional units to the wide rim of the calix[4]arene core through sequential transformations of the amino groups. The above protection sequence was implemented for a conformationally stable cone-shaped calix[4]arene triamine, for which examples of selective protection have not yet been published. Importantly, selective chemical modification of such triamines (which have reduced time-averaged Cs symmetry compared to tetraamines and distal diamines) can easily yield asymmetric multifunctional structures possessing inherent chirality [14,15], which is highly attractive given the growing interest in inherently chiral calixarenes in recent years [16,17,18].

2. Results and Discussion

The cone-shaped calix[4]arene 1 [19], containing three amino groups and one tert-butyl group at the wide rim, accompanied by four n-propyl groups at the narrow rim to prevent conformational inversion of the macrocycle, was used as the starting compound. Treatment of this triamine with 4-nitrobenzenesulfonyl chloride (NosCl) can yield five different products, in which one (compounds 2 and 3), two (compounds 4 and 5), and all three amino groups (compound 6) of the macrocycle are sulfonylated (Scheme 1). Of them, calixarenes 2, 4, and 6 possess the same Cs symmetry as triamine 1, having, respectively, one Nos group located in the distal aromatic unit of the calixarene relative to the tert-butyl one, two Nos groups located proximally to the tert-butyl group, or three Nos groups in the molecule. Another two potential sulfonylation products containing one Nos group near the tert-butyl group (compound 3) or two adjacent Nos groups (compound 5) are asymmetric, and thus they should form as racemic mixtures of the enantiomers (P)-3/(M)-3 and (P)-5/(M)-5, respectively, due to the inherent chirality phenomenon.
These features facilitate the interpretation of the 1H NMR spectra of the reaction mixtures, since Cs symmetric and asymmetric reaction products can be easily differentiated by simply counting the signals from the calixarene aromatic protons (two singlets and two doublets from Cs symmetric products and eight doublets from asymmetric products), while integration of the signals provides the necessary information on the number of Nos groups attached to the calixarene core in each case.
To reveal whether calixarene triamine 1 could be selectively sulfonylated, it was first reacted with 2 equivalents of NosCl, yielding a mixture containing all five reaction products as well as some unreacted calixarene 1. Notably, symmetrical bis- and tris-sulfonylated calixarenes 4 and 6 clearly dominated among the reaction products, and the third most populated product was the asymmetric sulfonamide 3 having a single modified amino group, although these compounds could not be isolated in pure form from the mixture. This may indicate a preferential sulfonylation of the amino groups located proximally rather than distally to the tert-butylated aromatic unit of the calixarene, which is also statistically expected for the chemical transformation of one of the three amino groups in calixarene 1 (since two amino groups are located proximally, and only one amino group is located distally to the tert-butylated aromatic unit of the macrocycle). To confirm this, the reaction was carried out using 1 equivalent of NosCl to achieve higher selectivity by suppressing the formation of bis- and tris-sulfonylated products. Under these conditions, a conversion of the starting calixarene of ~80% was achieved, yielding a mixture containing up to 55 mol. % of asymmetric monosulfonylated calix[4]arene 3. From this mixture, calixarene 3 (designated rac-3 because it is a racemic mixture of calixarenes (P)-3 and (M)-3) was successfully isolated by column chromatography, providing an overall yield in the synthesis of 35% (Scheme 1). As noted above, the asymmetric calixarene 3 can be easily distinguished from the symmetric isomer 2 by its 1H NMR spectrum, which contains eight doublets of aromatic protons of the calixarene and four pairs of doublets from four different ArCH2Ar groups of the calixarene, clearly indicating the asymmetry of the cone-shaped macrocycle. For the NMR spectra of compound 3, see the Materials and Methods section and Figures S1 and S2.
In addition to the sulfide-cleavable Nos group, a tert-butoxycarbonyl (Boc) protection (which can be removed orthogonally with trifluoroacetic acid) was introduced into calix[4]arene 3, still having two free amino groups in its structure. For this purpose, compound 3 was treated with 1 equivalent of Boc2O, resulting in a mixture containing ~10 mol % of unreacted calixarene 3, ~10 mol % of exhaustively acylated product 9, and a single monoacylated product, which clearly predominated (Scheme 2). Notably, in the 1H NMR spectrum of the reaction mixture, only trace signals were detected of what could be an isomeric monoacylated calixarene. From this mixture, the major product having two of the three amino groups protected with different moieties was isolated in 63% yield. Both NMR spectra and ESI-MS data clearly showed that the obtained compound was asymmetric and contained one Nos and one Boc fragment, leaving one of the amino groups unreacted. However, the exact structure of the compound could not be determined from these data, since they corresponded to one of two possible acylation products having a Boc group attached to an amino group located near the tert-butylated (compound 7) or Nos-containing (compound 8) aromatic unit of the macrocycle.
To overcome this and establish the exact structure of the monoacylation product, a set of 2D NMR spectra of the obtained compound was acquired, including 1H,13C-heteronuclear correlations HSQC (Heteronuclear Single Quantum Coherence) and HMBC (Heteronuclear Multiple Bond Correlation), as well as 1H,1H-homonuclear correlations COSY (COrrelation SpectroscopY) and NOESY (Nuclear Overhauser Effect Spectroscopy). Using these correlations, all signals in the 1H and 13C NMR spectra were assigned to the calixarene core and substituents (the data are provided in the Materials and Methods section, see Figure 1 for the atom numbering). Key information needed to determine the exact structure of the monoacylated product was obtained from NOESY data. Thus, the intensive NOEs between the pairs of aromatic protons of calixarene H4–H24, H6–H10, H12–H16 and H18–H22 identified the sequence of adjacent aromatic units of the calixarene core, the NOEs between the protons of the tert-butoxy group H50 and the amide proton H47 allowed to clearly distinguish the signal of the latter from the signal of the sulfonamide proton (which appeared to be extremely broadened and had no identifiable signal in the 1H NMR spectrum), and, finally, the strong NOEs between the amide proton H47 and the aromatic protons of calixarene H10 and H12 indicated the exact position of the Boc groups in the calixarene core (Figure 1). The obtained data clearly confirmed that the monoacylated product has the structure of calixarene 8, in which the Nos and Boc groups are located in two adjacent aromatic units of the calixarene.
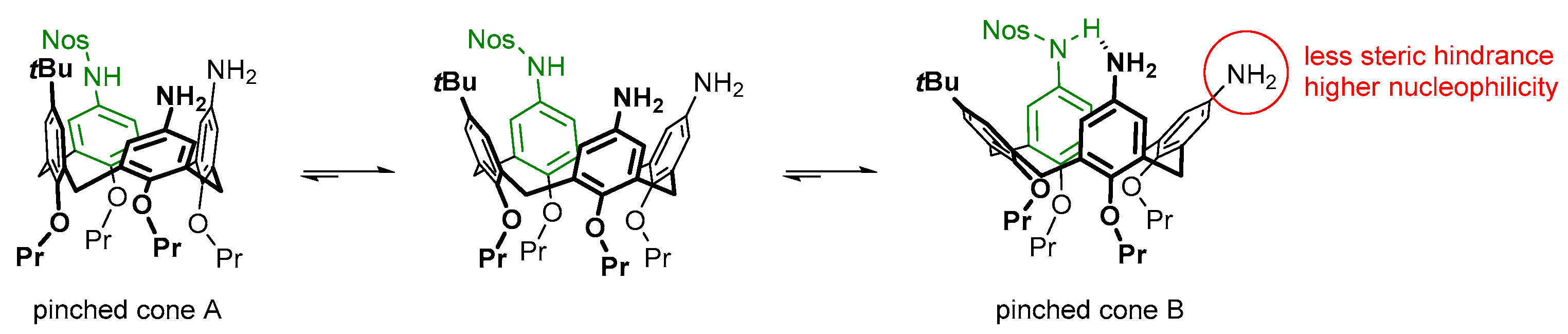
The obtained data show that the reaction between Nos-protected calixarene 3 and 1 equivalent of Boc2O proceeds selectively and leads mainly to monoacylated calixarene 8, rather than to its isomer 7, and thus the amino group of compound 3 located near the Nos-containing aromatic unit of calixarene is involved in the reaction much more readily than the other one. This difference between the amino groups in calixarene 3 can be explained by their different steric accessibility and nucleophilicity due to the non-equivalence of the two pinched cone structures arising from residual conformational motions of the calixarene core in compound 3 (Figure 2). Indeed, the sulfonamide group NH is acidic. Therefore, it can form a hydrogen bond with one of the amino groups of the same molecule if such an interaction is structurally possible. Of the two free amino groups in calixarene 3, the one located proximally to the sulfonylated aromatic unit of the macrocycle can not be reached by the above NH group. In contrast, the second amino group, located in the distal aromatic unit of the macrocycle, can come into close contact with the sulfonamide group due to interconversions of the calixarene core between the two pinched cone conformers A and B (Figure 2). As a result, the distal amino group may accept a hydrogen bond and has reduced nucleophilicity. In the pinched cone conformer B, thus stabilized, the proximal amino group appears pushed out of the calixarene cavity and turns out to be more accessible for interactions with the bulky Boc2O molecule. These conclusions are not in contradiction with the sulfonylation selectivity observed in the first transformation step, where the reaction between the parent calixarene triamine 1 and 2 equivalents of NosCl yielded the symmetrical bis(sulfonamide) 4 among the major reaction products, suggesting that its formation occurs via distal sulfonylation of the intermediate calixarene 3 (see Scheme 1). In this case, a much more electrophilic reagent (NosCl) was used, which exhibits high activity in reactions with both activated and deactivated amino groups of calixarene 3, while having a smaller size compared to Boc2O, allowing the reaction to proceed statistically rather than selectively.
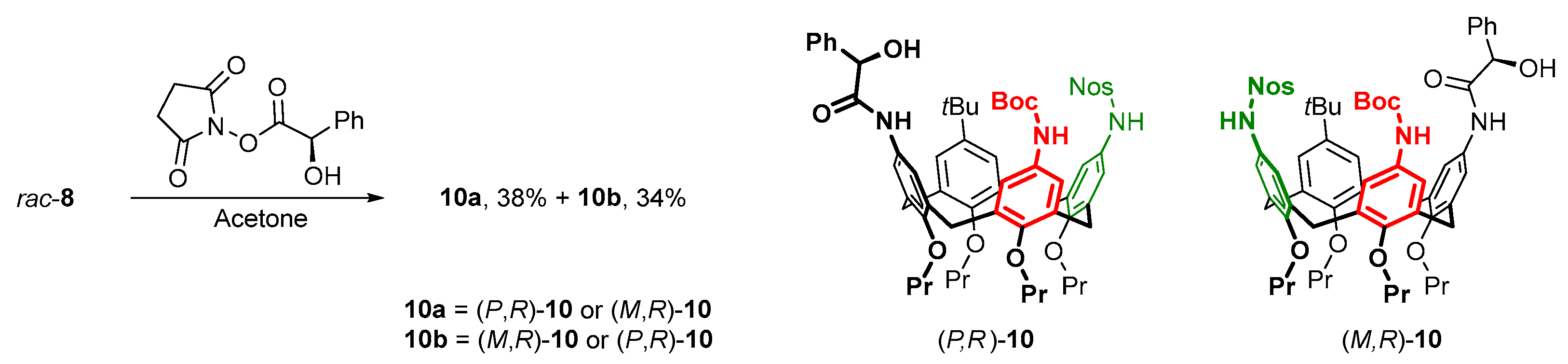
Thus, the asymmetric calix[4]arene 8 contains a sequence of a free amino group and amino groups protected by Boc- and Nos-moieties, arranged at the wide rim of a cone-shaped macrocycle. This compound appears to be a good precursor for the preparation of multifunctional structures possessing inherent chirality by threefold modification with three different electrophiles, alternating with two amino group deprotection steps. However, calixarene 8 was actually obtained as a racemic mixture of the enantiomers (P)-8 and (M)-8, which must be separated during further transformations if optically pure products are required. To reveal whether such separation of the inherently chiral (P)- and (M)-calixarene cores could be achieved using chiral auxiliaries, an (R)-mandelic acid residue was introduced into the free amino group of calixarene rac-8. To avoid self-condensation of mandelic acid, its in situ prepared succinimide ester was used for acylation, resulting in a mixture of two diastereomers (P,R)-10 and (M,R)-10. The mixture was successfully separated using conventional column chromatography on silica to obtain two pure compounds, denoted as 10a and 10b, in 38% and 34% yield, respectively (Scheme 3).
The difference in the NMR spectra of the obtained compounds turned out to be significantly greater than expected for two diastereomers. Indeed, the 1H NMR spectrum of compound 10a obtained from its solution in CDCl3 was clear and contained the expected set of sharp signals from the asymmetric calix[4]arene substituted at the wide rim with tert-butyl groups, a Nos-protected amino group, a Boc-protected amino group, and amino groups acylated with mandelic acid (Figure 3a, for the full spectrum see Figure S9). In contrast, the 1H NMR spectrum of diastereomer 10b measured in this solvent was extremely broadened (Figure 3b, for the full spectrum see Figure S11) and could be only partially interpreted. When polar DMSO-d6 was used as the solvent, the 1H NMR spectrum of compound 10b became much better resolved and interpretable, although some residual broadening was still present, and, in particular, the doublets from the aromatic protons of the calixarene core appeared as broadened signals (see Figure S12). Broadening of the signals was also observed in the 13C NMR spectrum of compound 10b dissolved in DMSO-d6, which prevented the interpretation of the spectrum (see Figure S13 for the 13C NMR spectrum of compound 10b).
The drastic difference in the spectral patterns observed for solutions of calixarenes 10a and 10b in CDCl3 indicates a slow conformational exchange and/or the coexistence of several multicalixarene aggregates due to intra- and intermolecular hydrogen bonds broken by DMSO-d6, which is characteristic of compound 10b, but not of 10a, which has exactly the same set of functional groups arranged differently at the wide rim of the macrocycle. Due to the above broadening of the spectral pattern, no NMR experiments based on the nuclear Overhauser effect (NOESY or ROESY) can be performed to access the conformational/aggregation behavior of calixarene 10b in more detail. More importantly, due to the broadening, NMR methods failed to determine the stereoconfiguration of the inherently chiral calixarene core in compounds 10a and 10b relative to the (R)-mandelic acid moieties in the absence of fully assigned 1H and 13C spectra and NOESY/ROESY data for both diastereomers obtained under similar conditions.
Attempts to grow single crystals of compounds 10a and 10b using X-ray crystallography to determine their exact structure also failed. Therefore, it was not possible to correlate the structures of these calixarenes with those of the diastereomers (P,R)-10 and (M,R)-10. Nevertheless, the successful separation of diastereomers 10a and 10b clearly demonstrates that the inherently chiral calixarene cores containing protected amino groups at the wide rim can be resolved using chiral auxiliaries. Thus, this approach can be implemented for the further preparation of enantiopure multifunctional calixarenes starting from orthogonally protected calixarene triamine 8.

3. Materials and Methods

Column chromatography was performed on silica gel 60 (0.063–0.200 mm). Commercial reagents were used as received. Calixarene 1 [19] was prepared by a catalytic reduction of the available tris-nitrated calixarene precursor [6] similar to that described for the lower-rim n-pentylated analogue [20].
1H and 13C NMR spectra were acquired on Bruker Avance 400 and Avance 600 spectrometers (Bruker, Billerica, MA, USA) at room temperature. High-resolution ESI mass spectra were obtained from a Sciex TripleTOF 5600+ spectrometer (AB Sciex, Singapore).

3.1. Nos-Protected Calix[4]arene rac-3

To a solution of calixarene 1 (1.24 g, 1.79 mmol) in dry dichloromethane (15 mL), pyridine (0.14 mL, 1.79 mmol) and 4-nitrobenzenesulfonyl chloride (0.40 g, 1.79 mmol) were added, and the mixture was stirred at room temperature for 24 h. Saturated aqueous NaHCO3 was added, the organic phase was separated, washed with water and brine, dried, and the solvent was evaporated under reduced pressure. The residue was purified by column chromatography (silica, gradient from n-hexane/ethyl acetate 5:1 to n-hexane/ethyl acetate 5:2). Yield 0.54 g (35%), pale yellow solid. M.p. 158–160 °C. 1H NMR (400 MHz, CDCl3): δ = 9.72 (bs, 1H; SO2NH), 8.31–8.26 (m, 2H; ArHNos), 7.82–7.78 (m, 2H; ArHNos), 7.03 (d, 1H, 4JHH = 2.4 Hz; ArH), 6.92 (d, 1H, 4JHH = 2.4 Hz; ArH), 6.45 (d, 1H, 4JHH = 2.7 Hz; ArH), 6.29 (d, 1H, 4JHH = 2.7 Hz; ArH), 5.63 (d, 1H, 4JHH = 2.5 Hz; ArH), 5.60 (d, 1H, 4JHH = 2.8 Hz; ArH), 5.46 (d, 1H, 4JHH = 2.5 Hz; ArH), 5.42 (d, 1H, 4JHH = 2.8 Hz; ArH), 4.34 (d, 1H, 2JHH = 13.7 Hz; ArCH2Ar), 4.33 (d, 1H, 2JHH = 13.5 Hz; ArCH2Ar), 4.26 (d, 2H, 2JHH = 13.6 Hz; ArCH2Ar), 3.94–3.71 (m, 4H; OCH2), 3.65–3.59 (m, 2H; OCH2), 3.57–3.51 (m, 2H; OCH2), 2.99 (d, 1H, 2JHH = 13.9 Hz; ArCH2Ar), 2.98 (d, 1H, 2JHH = 13.5 Hz; ArCH2Ar), 2.88 (d, 1H, 2JHH = 13.6 Hz; ArCH2Ar), 2.87 (d, 1H, 2JHH = 13.7 Hz; ArCH2Ar), 1.89–1.73 (m, 8H; OCH2CH2), 1.31 (s, 9H; C(CH3)3), 1.08 (t, 3H, 3JHH = 7.4 Hz; CH3), 1.05 (t, 3H, 3JHH = 7.4 Hz; CH3), 0.80 (t, 3H, 3JHH = 7.4 Hz; CH3), 0.79 (t, 3H, 3JHH = 7.4 Hz; CH3) ppm. 13C NMR (100 MHz, CDCl3): δ = 155.70, 155.31, 150.77, 149.94, 149.49, 147.80, 144.40, 140.41, 137.68, 137.57, 137.47, 136.03, 136.00, 134.96, 134.82, 134.59, 134.36, 128.48 (CAr), 128.21, 128.14, 128.10, 125.79, 125.70, 123.86, 115.88, 115.82, 115.51, 115.39 (CHAr), 76.78, 76.45, 76.33, 76.16 (OCH2CH2), 33.95 (C(CH3)3), 31.61 (C(CH3)3), 31.23, 30.98, 30.97 (ArCH2Ar), 23.43, 23.41, 22.84, 22.65 (CH2CH3), 10.84, 10.80, 9.68, 9.62 (CH3) ppm. HRMS ESI-MS: m/z: 879.4359 [M + H]+ for C50H63N4O8S (879.4361).

3.2. Nos-Boc-Protected Calix[4]arene rac-8

To a solution of calixarene 3 (0.54 g, 0.61 mmol) in dry dichloromethane (10 mL), di-tert-butyl dicarbonate (0.13 g, 0.61 mmol) was added, and the mixture was stirred at room temperature for 24 h. The solvent was evaporated under reduced pressure, and the residue was purified by column chromatography (silica, n-hexane/ethyl acetate 5:1). Yield 0.37 g (63%), pale yellow solid. M.p. 157–159 °C. 1H NMR (600 MHz, CDCl3): δ = 8.27–8.23 (m, 2H; ArHNos45), 7.80–7.77 (m, 2H; ArHNos44), 7.29 (bs, 1H; ArH12), 7.03 (d, 1H, 4JHH = 2.4 Hz; ArH22), 6.90 (d, 1H, 4JHH = 2.4 Hz; ArH24), 6.81 (d, 1H, 4JHH = 2.6 Hz; ArH10), 6.44 (s, 1H; CONH47), 5.65 (d, 1H, 4JHH = 2.3 Hz; ArH6), 5.57 (d, 1H, 4JHH = 2.8 Hz; ArH16), 5.43 (d, 1H, 4JHH = 2.3 Hz; ArH4), 5.41 (d, 1H, 4JHH = 2.8 Hz; ArH18), 4.35 (d, 1H, 2JHH = 13.7 Hz; ArCH2Ar2ax), 4.33 (d, 1H, 2JHH = 13.5 Hz; ArCH2Ar20ax), 4.32 (d, 1H, 2JHH = 13.7 Hz; ArCH2Ar8ax), 4.31 (d, 1H, 2JHH = 13.7 Hz; ArCH2Ar14ax), 3.93–3.84 (m, 4H; OCH232), 3.88–3.80 (m, 2H; OCH238), 3.65–3.81 (m, 2H; OCH235), 3.57–3.53 (m, 2H; OCH229), 3.00 (d, 1H, 2JHH = 13.7 Hz; ArCH2Ar14eq), 2.99 (d, 1H, 2JHH = 13.5 Hz; ArCH2Ar20eq), 2.98 (d, 1H, 2JHH = 13.7 Hz; ArCH2Ar8eq), 2.98 (d, 1H, 2JHH = 13.7 Hz; ArCH2Ar2eq), 1.87–1.75 (m, 8H; OCH2CH230, 33, 36, 39), 1.57 (s, 9H; OC(CH3)350), 1.30 (s, 9H; C(CH3)342), 1.08 (t, 3H, 3JHH = 7.4 Hz; CH331), 1.06 (t, 3H, 3JHH = 7.4 Hz; CH337), 0.81 (t, 3H, 3JHH = 7.4 Hz; CH334), 0.80 (t, 3H, 3JHH = 7.4 Hz; CH340) ppm. 13C NMR (150 MHz, CDCl3): δ = 155.71 (25), 155.40 (26), 153.83 (27), 153.05 (48), 150.00 (28), 149.55 (43), 147.79 (46), 144.52 (23), 137.77 (17), 137.36 (9), 137.30 (13), 136.05 (1), 135.98 (21), 135.01 (3), 134.67 (7), 134.63 (15), 134.24 (19), 132.16 (11), 128.59 (6), 128.56 (5), 128.17 (44), 128.12 (4), 125.81 (24), 125.78 (22), 123.78 (45), 119.22 (12), 119.16 (10), 115.62 (18), 115.55 (16), 80.28 (49), 76.85 (29), 76.56 (35), 76.34 (38), 76.25 (32), 33.96 (41), 31.61 (42), 31.27 (20), 31.26 (2), 31.06 (14), 31.04 (8), 28.44 (50), 23.45 (36), 23.43 (30), 22.89 (33), 22.73 (39), 10.83 (37), 10.79 (31), 9.69 (40), 9.66 (34) ppm. HRMS ESI-MS: m/z: 979.4880 [M + H]+ for C55H71N4O10S (979.4885).

3.3. Diastereomers (P,R)-10 and (M,R)-10

To a cooled (0–5 °C) solution of (R)-mandelic acid (0.15 g, 0.98 mmol) and N-hydroxysuccinimide (0.11 g, 0.98 mmol) in dry acetone (4 mL), a solution of N,N′-dicyclohexylcarbodiimide (0.20 g, 0.98 mmol) in dry acetone (4 mL) was added dropwise while stirring. The mixture was stirred while cooling for 2 h, and then a solution of calixarene rac-8 (0.32 g, 0.33 mmol) in dry acetone (4 mL) was added. The mixture was stirred at room temperature for 24 h. The precipitate formed was separated by filtration, washed with acetone, and discarded. The combined filtrates were evaporated under reduced pressure, and the residue was dissolved in dichloromethane. The solution was washed with water and brine, dried, and the solvent was evaporated. The residue was subjected to column chromatography (silica, n-hexane/ethyl acetate 8:1) and fractions containing calixarenes 10a and 10b were eluted successively, from which pure compounds were obtained upon recrystallization from n-hexane. Compound 10a: Yield 0.138 g (38%), pale yellow solid. M.p. 165–167 °C. 1H NMR (400 MHz, CDCl3): δ = 8.25–8.20 (m, 2H; ArHNos), 7.93 (s, 1H; SO2NH), 7.79–7.73 (m, 2H; ArHNos), 7.47–7.42 (m, 2H; ArHPh), 7.37–7.29 (m, 3H; ArHPh), 7.20 (bs, 1H; ArH), 7.05 (d, 1H, 4JHH = 2.3 Hz; ArH), 7.04 (d, 1H, 4JHH = 2.3 Hz; ArH), 6.91 (s, 1H; CONH), 6.85 (d, 1H, 4JHH = 2.3 Hz; ArH), 6.61 (d, 1H, 4JHH = 2.5 Hz; ArH), 6.49 (s, 1H; CONH), 6.05 (d, 1H, 4JHH = 2.5 Hz; ArH), 5.84 (d, 1H, 4JHH = 2.5 Hz; ArH), 5.28 (d, 1H, 4JHH = 2.4 Hz; ArH), 5.23 (d, 1H, 3JHH = 4.1 Hz; CH(OH)), 4.35 (d, 2H, 2JHH = 13.1 Hz; ArCH2Ar), 4.34 (d, 1H, 2JHH = 13.6 Hz; ArCH2Ar), 4.33 (d, 1H, 2JHH = 13.5 Hz; ArCH2Ar), 3.98–3.81 (m, 4H; OCH2), 3.67 (d, 1H, 3JHH = 4.1 Hz; CH(OH)), 3.64–3.58 (m, 2H; OCH2), 3.57–3.51 (m, 2H; OCH2), 3.05 (bd, 2H; ArCH2Ar), 3.02 (d, 1H, 2JHH = 13.1 Hz; ArCH2Ar), 2.91 (d, 1H, 2JHH = 13.6 Hz, ArCH2Ar), 1.93–1.75 (m, 8H; OCH2CH2), 1.56 (s, 9H; OC(CH3)3), 1.30 (s, 9H; C(CH3)3), 1.07 (t, 3H, 3JHH = 7.4 Hz; CH3), 1.04 (t, 3H, 3JHH = 7.4 Hz; CH3), 0.83 (t, 3H, 3JHH = 7.4 Hz; CH3), 0.81 (t, 3H, 3JHH = 7.4 Hz; CH3) ppm. 13C NMR (100 MHz, CDCl3): δ = 171.47 (C=O), 155.28, 154.35, 153.51 (CAr), 153.26 (C=O), 152.80, 149.73, 145.52, 144.90, 138.72, 137.13, 136.84, 135.50, 135.41, 134.77, 134.76, 134.01, 133.75, 132.25, 130.43, 128.63 (CAr), 128.49, 128.31, 128.16, 126.30, 126.06, 125.82, 124.45, 123.90, 123.26, 120.69, 119.88 (CHAr), 77.12 (OC(CH3)3), 77.00, 76.73, 76.43, 76.34 (OCH2), 74.53 (CH(OH)), 34.03 (C(CH3)3), 31.57 (C(CH3)3), 31.15, 31.07, 30.99 (ArCH2Ar), 28.43 (OC(CH3)3), 23.41, 23.38, 22.94, 22.67 (CH2CH3), 10.77, 10.73, 9.73, 9.70 (CH3) ppm. HRMS ESI-MS: m/z: 1135.5075 [M + Na]+ for C63H76N4NaO12S (1135.5073). Compound 10b: Yield 0.123 g (34%), pale yellow solid. M.p. 152–154 °C. 1H NMR (400 MHz, CDCl3): δ = 8.29–8.01 (bs, 3H; NH + ArHNos), 7.57 (bs, 2H; ArHNos), 7.36–7.28 (bs, 6H; ArHPh + ArH), 7.23–7.13 (bs, 4H; NH + ArH), 6.82 (bs, 1H; ArH), 6.31 (bs, 1H; ArH), 6.43 (bs, 1H; ArH), 5.96 (bs, 1H; ArH), 5.37 (bs, 1H; ArH), 4.95 (bs, 1H; CH(OH)), 4.48–4.27 (m, 5H; ArCH2Ar + CH(OH)), 4.02–3.80 (m, 4H; OCH2), 3.68–3.51 (m, 4H; OCH2), 3.18 (d, 1H, 2JHH = 13.6 Hz; ArCH2Ar), 3.11 (d, 1H, 2JHH = 13.6 Hz; ArCH2Ar), 3.00 (d, 1H, 2JHH = 13.9 Hz; ArCH2Ar), 2.98 (d, 1H, 2JHH = 13.3 Hz; ArCH2Ar), 1.97–1.76 (m, 8H; OCH2CH2), 1.43 (s, 9H; OC(CH3)3), 1.41 (bs, 9H; C(CH3)3), 1.09 (t, 3H, 3JHH = 7.4 Hz; CH3), 1.05 (t, 3H, 3JHH = 7.4 Hz; CH3), 0.85 (t, 3H, 3JHH = 7.4 Hz; CH3), 0.80 (t, 3H; 3JHH = 7.4 Hz; CH3) ppm. 1H NMR (400 MHz, DMSO-d6): δ = 10.13 (s, 1H; CONH), 9.54 (s, 1H; CONH), 8.68 (bs, 1H; SO2NH); 8.37–8.32 (m, 2H; ArHNos), 8.00–7.94 (m, 2H; ArHNos), 7.48–7.43 (m, 2H; ArHPh), 7.34–7.23 (m, 4H; ArH + ArHPh), 7.13 (bs, 1H; ArH), 6.73 (bs, 1H; ArH), 6.68 (bs, 1H; ArH), 6.56 (bd, 1H; ArH), 6.40 (bs, 1H; ArH), 6.27 (d, 1H, 3JHH = 5.0 Hz; CH(OH)), 6.18 (bs, 1H; ArH), 5.04 (d, 1H, 3JHH = 5.0 Hz; CH(OH)), 4.28 (d, 1H, 2JHH = 12.7 Hz; ArCH2Ar), 4.25 (d, 1H, 2JHH = 12.9 Hz; ArCH2Ar), 4.23 (d, 1H, 2JHH = 12.9 Hz; ArCH2Ar), 4.22 (d, 1H, 2JHH = 13.1 Hz; ArCH2Ar), 3.88–3.73 (m, 4H; OCH2), 3.71–3.54 (m, 4H; OCH2), 3.05 (d, 1H, 2JHH = 13.1 Hz; ArCH2Ar), 2.99 (d, 2H, 2JHH = 12.9 Hz; ArCH2Ar), 2.98 (d, 1H, 2JHH = 12.9 Hz; ArCH2Ar), 1.91–1.75 (m, 8H; OCH2CH2), 1.40 (s, 9H; OC(CH3)3), 1.00 (t, 3H, 3JHH = 7.5 Hz; CH3), 0.97 (t, 3H, 3JHH = 7.5 Hz; CH3), 0.88 (t, 3H, 3JHH = 7.5 Hz; CH3), 0.87 (t, 3H, 3JHH = 7.5 Hz; CH3), 0.73 (bs, 9H; C(CH3)3) ppm. HRMS ESI-MS: m/z: 1135.5072 [M + Na]+ for C63H76N4NaO12S (1135.5073).

4. Conclusions

We have shown that stepwise protection of two of the three amino groups arranged at the wide rim of the calix[4]arene core can be achieved by sulfonylation of the calixarene triamine with NosCl, followed by acylation with Boc2O, leading to the inherently chiral structures. Orthogonal protecting moieties target two adjacent amino groups, while the third remaining free amino group can be used for further derivatization of the core, including enantiomer discrimination through insertion of an auxiliary chiral unit into the structure. Since the Boc protecting group is labile under acidic conditions, where the thiolate-cleavable Nos group is retained, the obtained orthogonally protected calix[4]arene triamine can be readily transformed into a series of multifunctional derivatives containing up to three different functional groups at the wide rim of the macrocycle, which possesses inherent chirality.

Supplementary Materials

The following supporting information are available online. Figure S1: 1H NMR spectrum of compound 3; Figure S2: 13C NMR (APT) spectrum of compound 3; Figure S3: 1H NMR spectrum of compound 8; Figure S4: 13C NMR spectrum of compound 8; Figure S5: 1H,1H COSY spectrum of compound 8; Figure S6: 1H,1H NOESY spectrum of compound 8; Figure S7: 1H,13C HSQC spectrum of compound 8; Figure S8: 1H,13C HMBC spectrum of compound 8; Figure S9: 1H NMR spectrum of compound 10a; Figure S10: 13C NMR (APT) spectrum of compound 10a; Figures S11 and S12: 1H NMR spectra of compound 10b; Figure S13: 13C NMR (APT) spectrum of compound 10b.

Author Contributions

Conceptualization, I.A. and I.V.; methodology, I.A. and I.V.; investigation, I.A., A.G. and D.C.; resources, D.C. and A.G.; data curation, I.A., D.C. and V.K.; validation, I.V. and A.G.; writing—original draft preparation, I.A. and I.V.; writing—review and editing, A.G. and V.K.; supervision, I.V. and V.K.; project administration, I.V.; funding acquisition, I.V. All authors have read and agreed to the published version of the manuscript.

Funding

The study was supported by the Russian Science Foundation (Grant No. 24-23-00158).

Data Availability Statement

Data is contained within the article.

Acknowledgments

2D NMR studies were performed at the Center of Shared Equipment of GNIIChTEOS.

Conflicts of Interest

The authors declare no conflicts of interest.

References

  1. Neri, P.; Sessler, J.L.; Wang, M.-X. (Eds.) Calixarenes and Beyond; Springer International Publishing: Cham, Switzerland, 2016. [Google Scholar] [CrossRef]
  2. Arduini, A.; Böhmer, V.; Delmau, L.; Desreux, J.-F.; Dozol, J.-F.; Carrera, M.A.G.; Lambert, B.; Musigmann, C.; Pochini, A.; Shivanyuk, A.; et al. Rigidified Calixarenes Bearing Four Carbamoylmethylphosphineoxide or Carbamoylmethylphosphoryl Functions at the Wide Rim. Chem.—Eur. J. 2000, 6, 2135–2144. [Google Scholar] [CrossRef] [PubMed]
  3. Delmau, L.H.; Simon, N.; Dozol, J.-F.; Eymard, S.; Tournois, B.; Schwing-Weill, M.-J.; Arnaud-Neu, F.; Böhmer, V.; Grüttner, C.; Musigmann, C.; et al. ‘CMPO-substituted’ calix[4]arenes, extractants with selectivity among trivalent lanthanides and between trivalent actinides and lanthanides. Chem. Commun. 1998, 1627–1628. [Google Scholar] [CrossRef]
  4. Rudzevich, V.; Rudzevich, Y.; Böhmer, V. Dimerization and Self-Sorting of Tetraurea Calix[4]arenes. Synlett 2009, 12, 1887–1904. [Google Scholar] [CrossRef]
  5. Bogdan, A.; Rudzevich, Y.; Vysotsky, M.O.; Böhmer, V. Topologically novel multiple rotaxanes and catenanes based on tetraurea calix[4]arenes. Chem. Commun. 2006, 2941–2952. [Google Scholar] [CrossRef] [PubMed]
  6. Verboom, W.; Durie, A.; Egberink, R.J.M.; Asfari, Z.; Reinhoudt, D.N. Ipso nitration of p-tert-butylcalix[4]arenes. J. Org. Chem. 1992, 57, 1313–1316. [Google Scholar] [CrossRef]
  7. Jakobi, R.A.; Böhmer, V.; Grüttner, C.; Kraft, D.; Vogt, W. Long-chain alkyl ethers of p-nitro and p-aminocalixarenes. New J. Chem. 1996, 20, 493–501. [Google Scholar]
  8. Nam, K.C.; Kim, D.S. Selective Nitration of Calix[4]arene. Bull. Korean Chem. Soc. 1994, 15, 284–286. [Google Scholar] [CrossRef]
  9. Mogck, O.; Böhmer, V.; Ferguson, G.; Vogt, W. Selective ipso-nitration of tert-butylcalix[4]arene 1,3-diethers: X-ray structure of an unexpected side product. J. Chem. Soc. Perkin Trans. 1 1996, 1711–1715. [Google Scholar] [CrossRef]
  10. Saadioui, M.; Shivanyuk, A.; Böhmer, V.; Vogt, W. Selective N-Protection of a Tetraamino Calix[4]arene Tetraether. J. Org. Chem. 1999, 64, 3774–3777. [Google Scholar] [CrossRef] [PubMed]
  11. Zadmard, R.; Taghvaei-Ganjali, S.; Gorji, B.; Schrader, T. Calixarene Dimers as Host Molecules for Biologically Important Di- and Oligophosphates. Chem.—Asian J. 2009, 4, 1458–1464. [Google Scholar] [CrossRef] [PubMed]
  12. Rudzevich, Y.; Rudzevich, V.; Schollmeyer, D.; Böhmer, V. First Protection of a Wide-Rim Tetraamino Calix[4]arene in Opposite Positions. Org. Lett. 2007, 9, 957–960. [Google Scholar] [CrossRef] [PubMed]
  13. Prins, L.J.; Jolliffe, K.A.; Hulst, R.; Timmerman, P.; Reinhoudt, D.N. Control of Structural Isomerism in Noncovalent Hydrogen-Bonded Assemblies Using Peripheral Chiral Information. J. Am. Chem. Soc. 2000, 122, 3617–3627. [Google Scholar] [CrossRef]
  14. Arnott, G.E. Inherently Chiral Calixarenes: Synthesis and Applications. Chem.—Eur. J. 2018, 24, 1744–1754. [Google Scholar] [CrossRef] [PubMed]
  15. Li, S.-Y.; Xu, Y.-W.; Liu, J.-M.; Su, C.-Y. Inherently Chiral Calixarenes: Synthesis, Optical Resolution, Chiral Recognition and Asymmetric Catalysis. Int. J. Mol. Sci. 2011, 12, 429–455. [Google Scholar] [CrossRef] [PubMed]
  16. Dočekal, V.; Lóška, L.; Kurčina, A.; Císařová, I.; Veselý, J. Desymmetric esterification catalysed by bifunctional chiral N-heterocyclic carbenes provides access to inherently chiral calix[4]arenes. Nat. Commun. 2025, 16, 4443. [Google Scholar] [CrossRef] [PubMed]
  17. Yuan, M.; Xie, W.; Yu, S.; Liu, T.; Yang, X. Catalytic enantioselective synthesis of inherently chiral calix[4]arenes via organocatalyzed aromatic amination enabled desymmetrization. Nat. Commun. 2025, 16, 3943. [Google Scholar] [CrossRef] [PubMed]
  18. Qian, P.-F.; Zhou, G.; Hu, J.-H.; Wang, B.-J.; Jiang, A.-L.; Zhou, T.; Yuan, W.-K.; Yao, Q.-J.; Chen, J.-H.; Kong, K.-X.; et al. Asymmetric Synthesis of Chiral Calix[4]arenes with Both Inherent and Axial Chirality via Cobalt-Catalyzed Enantioselective Intermolecular C−H Annulation. Angew. Chem. Int. Ed. 2024, 63, e202412459. [Google Scholar] [CrossRef] [PubMed]
  19. Alekseev, I.; Shugaev, I.; Gorbunov, A.; Cheshkov, D.; Tarasenko, E.; Kudryashova, E.; Bezzubov, S.; Kovalev, V.; Vatsouro, I. Accessing inherently chiral multifunctional structures by desymmetrization of a wide-rim calix[4]arene triamine. Org. Chem. Front. 2026, advance article. [Google Scholar] [CrossRef]
  20. Arnaud-Neu, F.; Barboso, S.; Böhmer, V.; Brisach, F.; Delmau, L.; Dozol, J.-F.; Mogck, O.; Paulus, E.F.; Saadioui, M.; Shivanyuk, A. Synthesis and Extraction Behaviour of Calix[4]arenes Partially Substituted at the Wide Rim by Carbamoylmethylphosphine Oxide (CMPO) Functions. Aust. J. Chem. 2003, 56, 1113–1119. [Google Scholar] [CrossRef]
Scheme 1. Structures of all possible sulfonylation products of calix[4]arene triamine 1 and the synthesis of selectively sulfonylated calixarene 3.
Scheme 1. Structures of all possible sulfonylation products of calix[4]arene triamine 1 and the synthesis of selectively sulfonylated calixarene 3.
Molbank 2026 m2115 sch001
Scheme 2. Acylation of calixarene rac-3 with Boc2O.
Scheme 2. Acylation of calixarene rac-3 with Boc2O.
Molbank 2026 m2115 sch002
Figure 1. Planar structures of monoacylated calixarenes 7 and 8 with numbered atoms; key NOEs identifying the sequence of aromatic units of the calixarene (green arrows) and the position of the Boc group (red arrows), data obtained from the NOESY spectrum acquired from a solution of the monoacylated product in CDCl3 (600 MHz, phase-sensitive NOESY sequence, tmix 0.8 s).
Figure 1. Planar structures of monoacylated calixarenes 7 and 8 with numbered atoms; key NOEs identifying the sequence of aromatic units of the calixarene (green arrows) and the position of the Boc group (red arrows), data obtained from the NOESY spectrum acquired from a solution of the monoacylated product in CDCl3 (600 MHz, phase-sensitive NOESY sequence, tmix 0.8 s).
Molbank 2026 m2115 g001
Figure 2. Interconversions between two pinched cone conformers of calixarene 3.
Figure 2. Interconversions between two pinched cone conformers of calixarene 3.
Molbank 2026 m2115 g002
Scheme 3. Conversion of the calixarene rac-8 into separable diastereomers 10a and 10b and the structures of compounds (P,R)-10 and (M,R)-10.
Scheme 3. Conversion of the calixarene rac-8 into separable diastereomers 10a and 10b and the structures of compounds (P,R)-10 and (M,R)-10.
Molbank 2026 m2115 sch003
Figure 3. Representative parts of the 1H NMR spectra of compounds 10a (a) and 10b (b), obtained for their solutions in CDCl3, 400 MHz.
Figure 3. Representative parts of the 1H NMR spectra of compounds 10a (a) and 10b (b), obtained for their solutions in CDCl3, 400 MHz.
Molbank 2026 m2115 g003
Disclaimer/Publisher’s Note: The statements, opinions and data contained in all publications are solely those of the individual author(s) and contributor(s) and not of MDPI and/or the editor(s). MDPI and/or the editor(s) disclaim responsibility for any injury to people or property resulting from any ideas, methods, instructions or products referred to in the content.

Share and Cite

MDPI and ACS Style

Alekseev, I.; Cheshkov, D.; Gorbunov, A.; Kovalev, V.; Vatsouro, I. Stepwise Orthogonal Protection of Calix[4]arene Triamine: A Facile Route to Asymmetric Structures. Molbank 2026, 2026, M2115. https://doi.org/10.3390/M2115

AMA Style

Alekseev I, Cheshkov D, Gorbunov A, Kovalev V, Vatsouro I. Stepwise Orthogonal Protection of Calix[4]arene Triamine: A Facile Route to Asymmetric Structures. Molbank. 2026; 2026(1):M2115. https://doi.org/10.3390/M2115

Chicago/Turabian Style

Alekseev, Ivan, Dmitry Cheshkov, Alexander Gorbunov, Vladimir Kovalev, and Ivan Vatsouro. 2026. "Stepwise Orthogonal Protection of Calix[4]arene Triamine: A Facile Route to Asymmetric Structures" Molbank 2026, no. 1: M2115. https://doi.org/10.3390/M2115

APA Style

Alekseev, I., Cheshkov, D., Gorbunov, A., Kovalev, V., & Vatsouro, I. (2026). Stepwise Orthogonal Protection of Calix[4]arene Triamine: A Facile Route to Asymmetric Structures. Molbank, 2026(1), M2115. https://doi.org/10.3390/M2115

Note that from the first issue of 2016, this journal uses article numbers instead of page numbers. See further details here.

Article Metrics

Back to TopTop