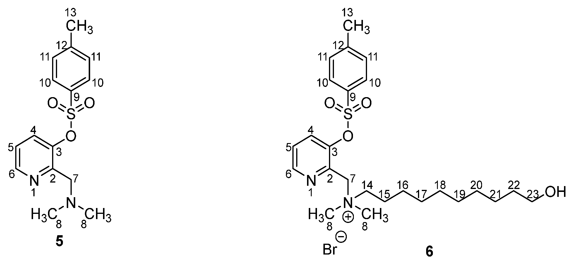
Linear Synthesis of 10-Hydroxy-N,N-dimethyl-N-((3-(tosyloxy)pyridin-2-yl)methyl)decan-1-aminium Bromide
Abstract
1. Introduction
2. Results
3. Materials and Methods
4. Conclusions
Supplementary Materials
Author Contributions
Funding
Data Availability Statement
Conflicts of Interest
References
- Wang, Y.; He, Y.; Zhu, S. Nickel-Catalyzed Migratory Cross-Coupling Reactions: New Opportunities for Selective C–H Functionalization. Acc. Chem. Res. 2023, 56, 3475–3491. [Google Scholar] [CrossRef]
- Thowfik, S.; Afsina, C.M.A.; Anilkumar, G. Ruthenium-Catalyzed Hydroarylation Reactions as the Strategy Towards the Synthesis of Alkylated Arenes and Substituted Alkenes. RSC Adv. 2023, 13, 6246–6263. [Google Scholar] [CrossRef]
- Ouzounthanasis, K.A.; Rizos, S.R.; Koumbis, A.E. Julia-Kocienski Olefination in the Synthesis of Trisubstituted Alkenes: Recent Progress. Eur. J. Org. Chem. 2023, 26, e202300626. [Google Scholar] [CrossRef]
- Hoveyda, A.H.; Qin, C.; Sui, X.Z.; Liu, Q.; Li, X.; Nikbakht, A. Taking Olefin Metathesis to the Limit: Stereocontrolled Synthesis of Trisubstituted Alkenes. Acc. Chem. Res. 2023, 56, 2426–2446. [Google Scholar] [CrossRef] [PubMed]
- Edlová, T.; Čubiňák, M.; Tobrman, T. Cross-Coupling Reactions of Double or Triple Electrophilic Templates for Alkene Synthesis. Synthesis 2021, 53, 255–266. [Google Scholar]
- Reiser, O. Palladium-Catalyzed Coupling Reactions for the Stereoselective Synthesis of Tri- and Tetrasubstituted Alkenes. Angew. Chem. Int. Ed. 2006, 45, 2838–2840. [Google Scholar] [CrossRef] [PubMed]
- Tobrman, T.; Mrkobrada, S. Palladium-Catalyzed Cross-Coupling Reactions of Borylated Alkenes for the Stereoselective Synthesis of Tetrasubstituted Double Bond. Organics 2022, 3, 210–239. [Google Scholar] [CrossRef]
- Biagiotti, G.; Perini, I.; Richichi, B.; Cicchi, S. Novel Synthetic Approach to Heteroatom Doped Polycyclic Aromatic Hydrocarbons: Optimizing the Bottom-up Approach to Atomically Precise Doped Nanographenes. Molecules 2021, 26, 6306. [Google Scholar] [CrossRef]
- Li, Q.; Zhang, Y.; Xie, Z.; Zhen, Y.; Hu, W.; Dong, H. Polycyclic Aromatic Hydrocarbon-Based Organic Semiconductors: Ring-Closing Synthesis and Optoelectronic Properties. J. Mater. Chem. C 2022, 10, 2411–2430. [Google Scholar] [CrossRef]
- Javahershenas, R.; Nikzat, S. Recent Advances in the Multicomponent Synthesis of Heterocycles Using Tetronic Acid. RSC Adv. 2023, 13, 16619–16629. [Google Scholar] [CrossRef]
- Borissov, A.; Maurya, Y.K.; Moshniaha, L.; Wong, W.-S.; Żyła-Karwowska, M.; Stępień, M. Recent Advances in Heterocyclic Nanographenes and Other Polycyclic Heteroaromatic Compounds. Chem. Rev. 2022, 122, 565–788. [Google Scholar] [CrossRef] [PubMed]
- La, D.D.; Bhosale, S.V.; Jones, L.A.; Bhosale, S.V. Tetraphenylethylene-Based Aie-Active Probes for Sensing Applications. ACS Appl. Mater. Interfaces 2018, 10, 12189–12216. [Google Scholar] [CrossRef]
- Li, M.-Y.; Zhai, S.; Nong, X.-M.; Gu, A.; Li, J.; Lin, G.-Q.; Liu, Y. Trisubstituted Alkenes Featuring Aryl Groups: Stereoselective Synthetic Strategies and Applications. Sci. China Chem. 2023, 66, 1261–1287. [Google Scholar] [CrossRef]
- Yan, D.; Wu, Q.; Wang, D.; Tang, B.Z. Innovative Synthetic Procedures for Luminogens Showing Aggregation-Induced Emission. Angew. Chem. Int. Ed. 2021, 60, 15724–15742. [Google Scholar] [CrossRef] [PubMed]
- Tobrman, T.; Hron, V. Trisubstituted Alkenes as Valuable Building Blocks. Molecules 2025, 30, 3370. [Google Scholar] [CrossRef]
- Yılmaz, S.; Akbaba, Y.; Özgeriş, B.; Köse, L.P.; Göksu, S.; Gülçin, İ.; Alwasel, S.H.; Supuran, C.T. Synthesis and Inhibitory Properties of Some Carbamates on Carbonic Anhydrase and Acetylcholine Esterase. J. Enzyme Inhib. Med. Chem. 2016, 31, 1484–1491. [Google Scholar] [CrossRef]
- Opcw Conference of the States Parties 2019: Decision: Changes to Schedule 1 of the Annex on Chemicals to the Chemical Weapons Convention, C-24/Dec.5. Available online: https://www.opcw.org/sites/default/files/documents/2019/11/c24dec05%28e%29.pdf (accessed on 7 October 2025).
- Urban, M.; Dropa, T.; Zelenková, M.; Dymák, M.; Pitschmann, V. Detection of Novichok and V-Group Nerve Agents by Chemosensors Containing Nile Blue Chromophore. Chemosensors 2025, 13, 77. [Google Scholar] [CrossRef]
- Zhuang, Q.; Franjesevic, A.J.; Corrigan, T.S.; Coldren, W.H.; Dicken, R.; Sillart, S.; DeYong, A.; Yoshino, N.; Smith, J.; Fabry, S.; et al. Demonstration of in Vitro Resurrection of Aged Acetylcholinesterase after Exposure to Organophosphorus Chemical Nerve Agents. J. Med. Chem. 2018, 61, 7034–7042. [Google Scholar] [CrossRef]
- Gui, Y.-Y.; Liao, L.-L.; Sun, L.; Zhang, Z.; Ye, J.-H.; Shen, G.; Lu, Z.-P.; Zhou, W.-J.; Yu, D.-G. Coupling of C(Sp3)–H Bonds with C(Sp2)–O Electrophiles: Mild, General and Selective. Chem. Commun. 2017, 53, 1192–1195. [Google Scholar] [CrossRef]
- Ogata, T.; Hartwig, J.F. Palladium-Catalyzed Amination of Aryl and Heteroaryl Tosylates at Room Temperature. J. Am. Chem. Soc. 2008, 130, 13848–13849. [Google Scholar] [CrossRef]
- Yang, J.; Liu, S.; Zheng, J.-F.; Zhou, J. Room-Temperature Suzuki–Miyaura Coupling of Heteroaryl Chlorides and Tosylates. Eur. J. Org. Chem. 2012, 2012, 6248–6259. [Google Scholar] [CrossRef]
- Yi, Z.; Aschenaki, Y.; Daley, R.; Davick, S.; Schnaith, A.; Wander, R.; Kalyani, D. Palladium Catalyzed Arylation and Benzylation of Nitroarenes Using Aryl Sulfonates and Benzyl Acetates. J. Org. Chem. 2017, 82, 6946–6957. [Google Scholar] [CrossRef]
- Lei, X.; Jalla, A.; Shama, M.A.A.; Stafford, J.M.; Cao, B. Chromatography-Free and Eco-Friendly Synthesis of Aryl Tosylates and Mesylates. Synthesis 2015, 47, 2578–2585. [Google Scholar] [CrossRef]
- Tadros, J.; Dankers, C.; Jurisinec, A.; Menti-Platten, M.; Aldrich-Wright, J.R.; Gordon, C.P. A Comparison of Immobilised Triphenylphosphine and 1-Hydroxybenzotriazole as Mediators of Catch-and-Release Acylation under Flow Conditions. Chem. Asian J. 2022, 17, e202101308. [Google Scholar] [CrossRef]



Disclaimer/Publisher’s Note: The statements, opinions and data contained in all publications are solely those of the individual author(s) and contributor(s) and not of MDPI and/or the editor(s). MDPI and/or the editor(s) disclaim responsibility for any injury to people or property resulting from any ideas, methods, instructions or products referred to in the content. |
© 2025 by the authors. Licensee MDPI, Basel, Switzerland. This article is an open access article distributed under the terms and conditions of the Creative Commons Attribution (CC BY) license (https://creativecommons.org/licenses/by/4.0/).
Share and Cite
Hron, V.; Urban, M.; Tobrman, T. Linear Synthesis of 10-Hydroxy-N,N-dimethyl-N-((3-(tosyloxy)pyridin-2-yl)methyl)decan-1-aminium Bromide. Molbank 2025, 2025, M2112. https://doi.org/10.3390/M2112
Hron V, Urban M, Tobrman T. Linear Synthesis of 10-Hydroxy-N,N-dimethyl-N-((3-(tosyloxy)pyridin-2-yl)methyl)decan-1-aminium Bromide. Molbank. 2025; 2025(4):M2112. https://doi.org/10.3390/M2112
Chicago/Turabian StyleHron, Václav, Martin Urban, and Tomáš Tobrman. 2025. "Linear Synthesis of 10-Hydroxy-N,N-dimethyl-N-((3-(tosyloxy)pyridin-2-yl)methyl)decan-1-aminium Bromide" Molbank 2025, no. 4: M2112. https://doi.org/10.3390/M2112
APA StyleHron, V., Urban, M., & Tobrman, T. (2025). Linear Synthesis of 10-Hydroxy-N,N-dimethyl-N-((3-(tosyloxy)pyridin-2-yl)methyl)decan-1-aminium Bromide. Molbank, 2025(4), M2112. https://doi.org/10.3390/M2112

