Novel Acid-Catalyzed Transformation of 1-Benzyl-3-Chloro-5-Hydroxy-4-[(4-Methylphenyl)Sulfanyl]-1,5-Dihydro-2H-Pyrrol-2-One
Abstract
1. Introduction
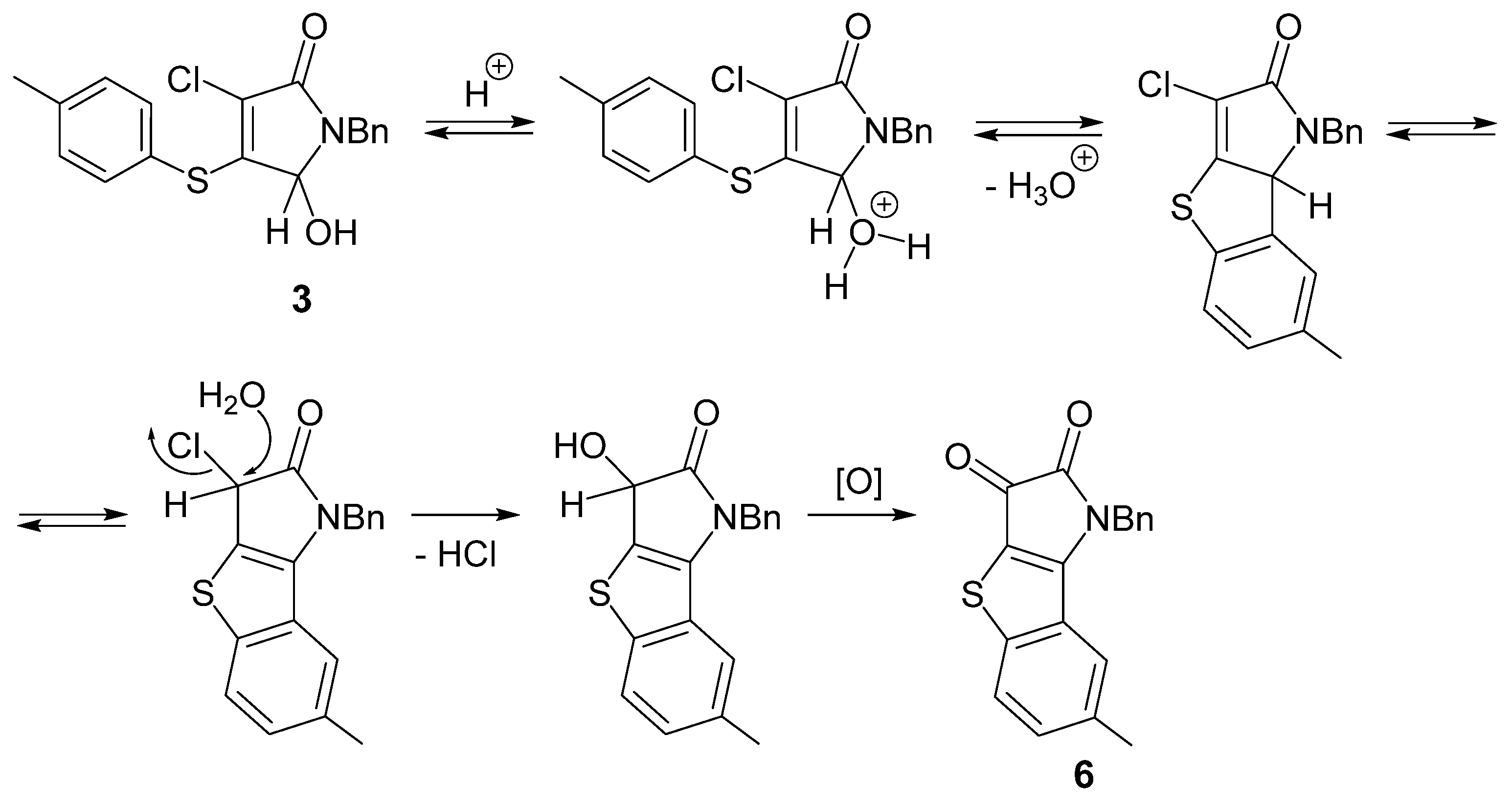
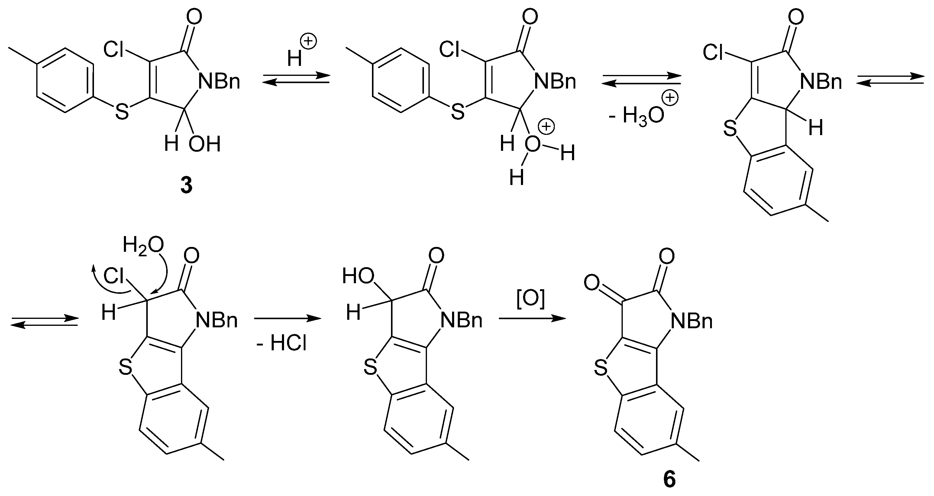
2. Results and Discussion
3. Materials and Methods
3.1. General Information
3.2. Synthesis
3.2.1. 1-Benzyl-3-Chloro-5-Hydroxy-4-[(4-Methylphenyl)Sulfanyl]-1,5-Dihydro-2H-Pyrrol-2-One (3)
3.2.2. Reaction of Pyrrolinone 3 with Ethanol in the Presence of Hydrochloric Acid
3.2.3. The Heating Under Reflux of Pyrrolinone 3 in Toluene in the Presence of Sulfuric Acid
4. Conclusions
Supplementary Materials
Author Contributions
Funding
Data Availability Statement
Conflicts of Interest
References
- Kerru, N.; Gummidi, L.; Maddila, S.; Gangu, K.K.; Jonnalagadda, S.B. A review on recent advances in nitrogen-containing molecules and their biological applications. Molecules 2020, 25, 1909. [Google Scholar] [CrossRef] [PubMed]
- Heravi, M.M.; Zadsirjan, V. Prescribed drugs containing nitrogen heterocycles: An overview. RSC Adv. 2020, 10, 44247–44311. [Google Scholar] [CrossRef] [PubMed]
- Kumar, A.; Singh, A.K.; Singh, H.; Vijayan, V.; Kumar, D.; Naik, J.; Thareja, S.; Yadav, J.P.; Pathak, P.; Grishina, M.; et al. Nitrogen containing heterocycles as anticancer agents: A medicinal chemistry perspective. Pharmaceuticals 2023, 16, 299. [Google Scholar] [CrossRef] [PubMed]
- Luo, W.; Liu, Y.; Qin, H.; Zhao, Z.; Wang, S.; He, W.; Tang, S.; Peng, J. Nitrogen-containing heterocyclic drug products approved by the FDA in 2023: Synthesis and biological activity. Eur. J. Med. Chem. 2024, 279, 116838. [Google Scholar] [CrossRef]
- Caruano, J.; Muccioli, G.G.; Robiette, R. Biologically active γ-lactams: Synthesis and natural sources. Org. Biomol. Chem. 2016, 14, 10134–10156. [Google Scholar] [CrossRef]
- López-Francés, A.; del Corte, X.; Serna-Burgos, Z.; Martínez de Marigorta, E.; Palacios, F.; Vicario, J. Exploring the synthetic potential of γ-lactam derivatives obtained from a multicomponent reaction—Applications as antiproliferative agents. Molecules 2022, 27, 3624. [Google Scholar] [CrossRef]
- Pelkey, E.T.; Pelkey, S.J.; Greger, J.G. Reactions of 3-pyrrolin-2-ones. In Advances in Heterocyclic Chemistry; Scriven, E.F.V., Ramsden, C.A., Eds.; Academic Press: Cambridge, MA, USA, 2019; Volume 128, pp. 433–565. [Google Scholar] [CrossRef]
- Mardjan, M.I.D.; Parrain, J.-L.; Commeiras, L. Strategies to access γ-hydroxy-γ-butyrolactams. Synthesis 2018, 50, 1175–1198. [Google Scholar] [CrossRef]
- Aksenov, A.V.; Aksenov, D.A.; Kurenkov, I.A.; Leontiev, A.V.; Aksenov, N.A. A new, convenient way to fully substituted α,β-unsaturated γ-hydroxy butyrolactams. Int. J. Mol. Sci. 2023, 24, 10213. [Google Scholar] [CrossRef]
- Ryu, C.-K.; Choi, I.H.; Park, R.E. Synthesis of benzo[b]benzo[2,3-d]thiophen-6,9-diones via palladium(ii) acetate–mediated cyclization of 5-arylthiocyclohexa-2,5-diene-1,4-diones. Synth. Commun. 2006, 36, 3319–3328. [Google Scholar] [CrossRef]
- Mori, T.; Nishimura, T.; Yamamoto, T.; Doi, I.; Miyazaki, E.; Osaka, I.; Takimiya, K. Consecutive thiophene-annulation approach to π-extended thienoacene-based organic semiconductors with [1]benzothieno[3,2-b][1]benzothiophene (BTBT) substructure. J. Am. Chem. Soc. 2013, 135, 13900–13913. [Google Scholar] [CrossRef]
- Saravanan, P.; Anbarasan, P. Palladium catalyzed aryl(alkyl)thiolation of unactivated arenes. Org. Lett. 2014, 16, 848–851. [Google Scholar] [CrossRef] [PubMed]
- Inoue, S.; Shinamura, S.; Sadamitsu, Y.; Arai, S.; Horiuchi, S.; Yoneya, M.; Takimiya, K.; Hasegawa, T. Extended and modulated thienothiophenes for thermally durable and solution-processable organic semiconductors. Chem. Mater. 2018, 30, 5050–5060. [Google Scholar] [CrossRef]
- Zhang, J.; Zhuang, Y.; Ma, Y.; Yang, X.; Szostak, M. Palladium-catalyzed synthesis of benzothiophenes via cross-dehydrogenative coupling of 4-arylthiocoumarins and pyrones. Adv. Synth. Catal. 2019, 361, 5709–5714. [Google Scholar] [CrossRef]
- Ejaz, S.; Zubair, M.; Rizwan, K.; Karakaya, I.; Rasheed, T.; Rasool, N. An updated coverage on the synthesis of benzo[b]thiophenes via transition-metal catalyzed reactions: A review. Curr. Org. Chem. 2021, 50, 40–67. [Google Scholar] [CrossRef]
- Takuto, F.; Keiichi, Y.; Maiko, I.; Naohito, M. Compound, Material for Organic Electroluminescent Device, Organic Electroluminescent Device, and Electronic Apparatus. Patent JP2024143397, 11 October 2024. [Google Scholar]
- Gerasimova, D.P.; Zakharychev, D.V.; Saifina, A.F.; Fayzullin, R.R.; Kurbangalieva, A.R.; Lodochnikova, O.A. Homochiral versus heterochiral crystallization of 3-pyrrolin-2-one thioether results in the score 2:1 in favor of homochirality. Cryst. Growth Des. 2022, 22, 7273–7284. [Google Scholar] [CrossRef]
- Gerasimova, D.P.; Saifina, A.F.; Zakharychev, D.V.; Fayzullin, R.R.; Kurbangalieva, A.R.; Lodochnikova, O.A. The second example of doubly enantiophobic behavior during crystallization: A detailed crystallographic, thermochemical and spectroscopic study. CrystEngComm 2021, 23, 3907–3918. [Google Scholar] [CrossRef]
- Kosolapova, L.S.; Kurbangalieva, A.R.; Valiev, M.F.; Lodochnikova, O.A.; Berdnikov, E.A.; Chmutova, G.A. Synthesis and structure of the products of the reactions of 3-chloro-5-methoxy-4-[(4-methylphenyl)sulfanyl]-2(5H)-furanone with N,N-binucleophilic agents. Rus. Chem. Bull. Int. Ed. 2013, 62, 456–463. [Google Scholar] [CrossRef]
- Lodochnikova, O.A.; Kosolapova, L.S.; Saifina, A.F.; Gubaidullin, A.T.; Fayzullin, R.R.; Khamatgalimov, A.R.; Litvinov, I.A.; Kurbangalieva, A.R. Structural aspects of partial solid solution formation: Two crystalline modifications of a chiral derivative of 1,5-dihydro-2H-pyrrol-2-one under consideration. CrystEngComm 2017, 19, 7277–7286. [Google Scholar] [CrossRef]
- Lodochnikova, O.A.; Samigullina, A.I.; Zaripova, A.R.; Fayzullin, R.R.; Vandyukova, I.I.; Potapova, L.N.; Kurbangalieva, A.R. “Doubly enantiophobic” behavior during crystallization of racemic 1,5-dihydro-2H-pyrrol-2-one thioether. CrystEngComm 2018, 20, 3218–3227. [Google Scholar] [CrossRef]
- Kosolapova, L.S.; Kurbangalieva, A.R.; Kozyakov, D.A.; Lodochnikova, O.A.; Berdnikov, E.A.; Chmutova, G.A. 5-Methoxy-3,4-di[(4-methylphenyl)sulfanyl]-2(5H)-furanone in the reactions with nitrogen-containing nucleophiles. Butlerov. Commun. 2013, 36, 1–11. [Google Scholar]
- Mowry, D.T. Mucochloric acid. II. Reactions of the aldehyde group. J. Am. Chem. Soc. 1953, 75, 1909–1910. [Google Scholar] [CrossRef]
- Nanson, L.; Blouin, N.; Mitchell, W. Organic Semiconducting Compounds. Patent WO2015139802, 24 September 2015. [Google Scholar]
- Mok, Y.; Kim, Y.; Moon, Y.; Park, J.-J.; Choi, Y.; Kim, D.-Y. Quinoidal small molecule containing ring-extended termini for organic field-effect transistors. ACS Omega 2021, 6, 27305–27314. [Google Scholar] [CrossRef] [PubMed]
- Hasegawa, T.; Ashizawa, M.; Matsumoto, H. Design and structure–property relationship of benzothienoisoindigo in organic field effect transistors. RSC Adv. 2015, 5, 61035–61043. [Google Scholar] [CrossRef]
- Yoo, D.; Kohara, A.; Ashizawa, M.; Kawamoto, T.; Masunaga, H.; Ohta, N.; Matsumoto, H.; Mori, T. Bulky phenylalkyl substitutions to bisthienoisatins and thienoisoindigos. Cryst. Growth Des. 2020, 20, 3293–3303. [Google Scholar] [CrossRef]
- Krause, L.; Herbst-Irmer, R.; Sheldrick, G.M.; Stalke, D. Comparison of silver and molybdenum microfocus X-ray sources for single-crystal structure determination. J. Appl. Crystallogr. 2015, 48, 3–10. [Google Scholar] [CrossRef]
- Dolomanov, O.V.; Bourhis, L.J.; Gildea, R.J.; Howard, J.A.K.; Puschmann, H. OLEX2: A complete structure solution, refinement and analysis program. J. Appl. Crystallogr. 2009, 42, 339–341. [Google Scholar] [CrossRef]
- Sheldrick, G.M. SHELXT—Integrated space-group and crystal-structure determination. Acta Crystallogr. A Found. Adv. 2015, 71, 3–8. [Google Scholar] [CrossRef]
- Sheldrick, G.M. Crystal structure refinement with SHELXL. Acta Crystallogr. C Struct. Chem. 2015, 71, 3–8. [Google Scholar] [CrossRef]
- Farrugia, L.J. WinGX and ORTEP for Windows: An update. J. Appl. Crystallogr. 2012, 45, 849–854. [Google Scholar] [CrossRef]




Disclaimer/Publisher’s Note: The statements, opinions and data contained in all publications are solely those of the individual author(s) and contributor(s) and not of MDPI and/or the editor(s). MDPI and/or the editor(s) disclaim responsibility for any injury to people or property resulting from any ideas, methods, instructions or products referred to in the content. |
© 2025 by the authors. Licensee MDPI, Basel, Switzerland. This article is an open access article distributed under the terms and conditions of the Creative Commons Attribution (CC BY) license (https://creativecommons.org/licenses/by/4.0/).
Share and Cite
Kosolapova, L.S.; Saigitbatalova, E.S.; Latypova, L.Z.; Valiev, M.F.; Gerasimova, D.P.; Kurbangalieva, A.R. Novel Acid-Catalyzed Transformation of 1-Benzyl-3-Chloro-5-Hydroxy-4-[(4-Methylphenyl)Sulfanyl]-1,5-Dihydro-2H-Pyrrol-2-One. Molbank 2025, 2025, M2017. https://doi.org/10.3390/M2017
Kosolapova LS, Saigitbatalova ES, Latypova LZ, Valiev MF, Gerasimova DP, Kurbangalieva AR. Novel Acid-Catalyzed Transformation of 1-Benzyl-3-Chloro-5-Hydroxy-4-[(4-Methylphenyl)Sulfanyl]-1,5-Dihydro-2H-Pyrrol-2-One. Molbank. 2025; 2025(2):M2017. https://doi.org/10.3390/M2017
Chicago/Turabian StyleKosolapova, Liliya S., Elena Sh. Saigitbatalova, Liliya Z. Latypova, Marat F. Valiev, Darya P. Gerasimova, and Almira R. Kurbangalieva. 2025. "Novel Acid-Catalyzed Transformation of 1-Benzyl-3-Chloro-5-Hydroxy-4-[(4-Methylphenyl)Sulfanyl]-1,5-Dihydro-2H-Pyrrol-2-One" Molbank 2025, no. 2: M2017. https://doi.org/10.3390/M2017
APA StyleKosolapova, L. S., Saigitbatalova, E. S., Latypova, L. Z., Valiev, M. F., Gerasimova, D. P., & Kurbangalieva, A. R. (2025). Novel Acid-Catalyzed Transformation of 1-Benzyl-3-Chloro-5-Hydroxy-4-[(4-Methylphenyl)Sulfanyl]-1,5-Dihydro-2H-Pyrrol-2-One. Molbank, 2025(2), M2017. https://doi.org/10.3390/M2017

