4,4′-(Anthracene-9,10-diylbis(ethyne-2,1-diyl))bis(1-benzyl-1-pyridinium) Bromide
Abstract
1. Introduction
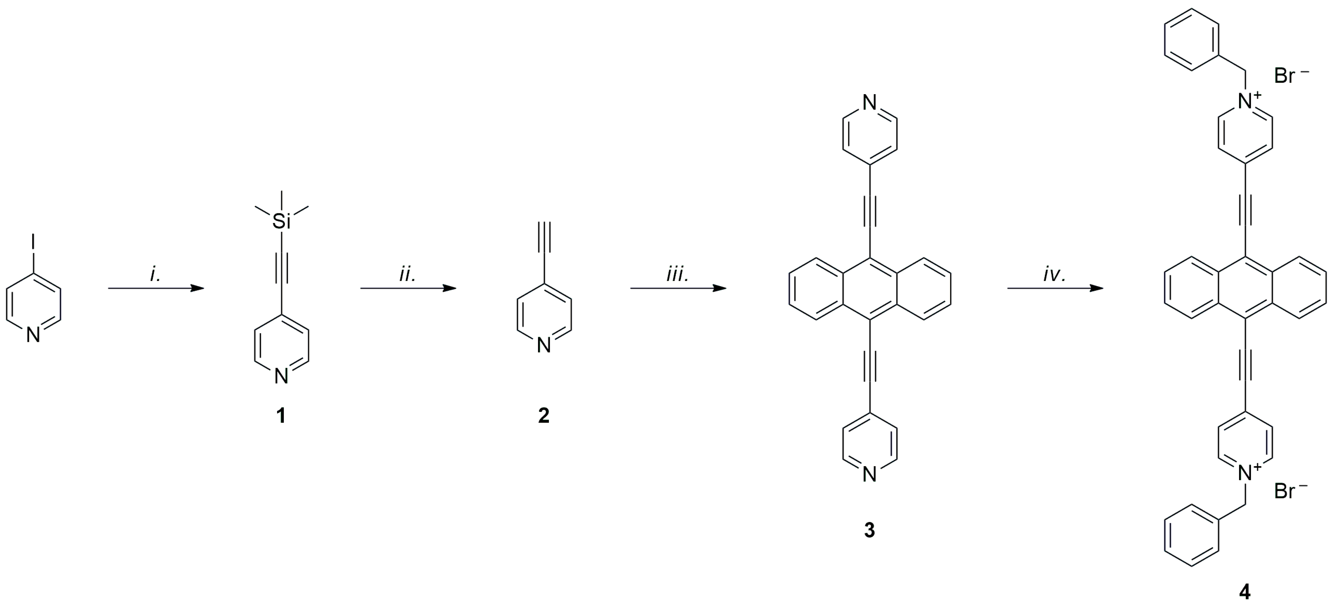
2. Results and Discussion
3. Materials and Methods
4. Conclusions
Supplementary Materials
Author Contributions
Funding
Data Availability Statement
Acknowledgments
Conflicts of Interest
References
- Tsai, W.-T. A review on environmental exposure and health risks of herbicide paraquat. Toxicol. Environ. Chem. 2013, 95, 197–206. [Google Scholar] [CrossRef]
- Dhaouadi, A.; Adhoum, N. Degradation of paraquat herbicide by electrochemical advanced oxidation methods. J. Electroanal. Chem. 2009, 637, 33–42. [Google Scholar] [CrossRef]
- Donaher, S.E.; Van den Hurk, P. Ecotoxicology of the herbicide paraquat: Effects on wildlife and knowledge gaps. Ecotoxicology 2023, 32, 1187–1199. [Google Scholar] [CrossRef]
- Ding, J.; Zheng, C.; Wang, L.; Lu, C.; Zhang, B.; Chen, Y.; Li, M.; Zhai, G.; Zhuang, X. Viologen-inspired functional materials: Synthetic strategies and applications. J. Mater. Chem. A 2019, 7, 23337–23360. [Google Scholar] [CrossRef]
- Sagara, T.; Tahara, H. Redox of Viologen for Powering and Coloring. Chem. Rec. 2021, 21, 2375–2388. [Google Scholar] [CrossRef]
- Madasamy, K.; Velayutham, D.; Suryanarayanan, V.; Kathiresan, M.; Ho, K.-C. Viologen-based electrochromic materials and devices. J. Mater. Chem. C 2019, 7, 4622–4637. [Google Scholar] [CrossRef]
- Monk, P.M.S.; Hodgkinson, N.M. Charge-transfer complexes of the viologens: Effects of complexation and the rate of electron transfer to methyl viologen. Electrochim. Acta 1998, 43, 245–255. [Google Scholar] [CrossRef]
- Ponnu, A.; Sung, J.; Spears, K.G. Ultrafast Electron-Transfer and Solvent Adiabaticity Effects in Viologen Charge-Transfer Complexes. J. Phys. Chem. A 2006, 110, 12372–12384. [Google Scholar] [CrossRef] [PubMed]
- Wu, W.; Guo, S.; Bian, J.; He, X.; Li, H.; Li, J. Viologen-based flexible electrochromic devices. J. Energy Chem. 2024, 93, 453–470. [Google Scholar] [CrossRef]
- Parashar, R.K.; Kandpal, S.; Pal, N.; Manna, D.; Pal, B.N.; Kumar, R.; Mondal, P.C. Coexistence of Electrochromism and Bipolar Nonvolatile Memory in a Single Viologen. ACS Appl. Mater. Interfaces 2023, 15, 51527–51537. [Google Scholar] [CrossRef]
- Yang, D.-D.; Xiao, T.; Yang, Y.-Y.; Xue, J.-H.; Shi, Y.-S.; Ma, Q.; Zheng, X.-J. Two viologen-based complexes as persistent luminescent materials and their applications in inkless print and anticounterfeiting. Chem. Eng. J. 2024, 488, 151047. [Google Scholar] [CrossRef]
- Lu, F.; Fu, S.; Wang, L.; Du, S.; Dou, Z.; Yang, X.; Li, J. Enhanced performance of inverted polymer solar cells by adding benzyl viologen dichloride into ZnO electron transport layer. Opt. Mater. 2023, 139, 113782. [Google Scholar] [CrossRef]
- Kathiresan, M.; Ambrose, B.; Angulakshmi, N.; Mathew, D.E.; Sujatha, D.; Stephan, A.M. Viologens: A versatile organic molecule for energy storage applications. J. Mater. Chem. A 2021, 9, 27215–27233. [Google Scholar] [CrossRef]
- Ashton, P.R.; Ballardini, R.; Balzani, V.; Gandolfi, M.T.; Marquis, D.J.-F.; Pérez-Garcia, L.; Prodi, L.; Stoddart, J.F.; Venturi, M. The self assembly of controllable [2]catenanes. J. Chem. Soc. Chem. Commun. 1994, 177–180. [Google Scholar] [CrossRef]
- Yamashita, Y.; Hanaoka, T.; Takeda, Y.; Mukai, T.; Miyashi, T. Syntheses and Properties of Dipyridylnorbornadienes. Bull. Chem. Soc. Jpn. 1988, 61, 2451–2458. [Google Scholar] [CrossRef]
- Rockley, J.; Summers, L. Chemical Constitution and Activity of Bipyridinium Herbicides. XIII. Synthesis, Reduction Potential and Biological Activity of 1-Methyl-4-[[(methylpyridinium-4-yl)Imino]methyl]pyridinium Diiodide. Aust. J. Chem. 1980, 33, 1397–1400. [Google Scholar] [CrossRef]
- Kniep, F.; Walter, S.M.; Herdtweck, E.; Huber, S.M. 4,4′-Azobis(halopyridinium) Derivatives: Strong Multidentate Halogen-Bond Donors with a Redox-Active Core. Chem. Eur. J. 2012, 18, 1306–1310. [Google Scholar] [CrossRef]
- Porter III, W.W.; Vaid, T.P.; Rheingold, A.L. Synthesis and Characterization of a Highly Reducing Neutral “Extended Viologen” and the Isostructural Hydrocarbon 4,4′′′′-Di-n-octyl-p-quaterphenyl. J. Am. Chem. Soc. 2005, 127, 16559–16566. [Google Scholar] [CrossRef]
- Dessì, A.; Calamante, M.; Mordini, A.; Zani, L.; Taddei, M.; Reginato, G. Microwave-activated synthesis of thiazolo[5,4-d]thiazoles by a condensation/oxidation sequence. RSC Adv. 2014, 4, 1322–1328. [Google Scholar] [CrossRef]
- Alberto, M.E.; De Simone, B.C.; Cospito, S.; Imbardelli, D.; Veltri, L.; Chidichimo, G.; Russo, N. Experimental and theoretical characterization of a new synthesized extended viologen. Chem. Phys. Lett. 2012, 552, 141–145. [Google Scholar] [CrossRef]
- Natali, M.; Luisa, A.; Iengo, E.; Scandola, F. Efficient photocatalytic hydrogen generation from water by a cationic cobalt(ii) porphyrin. Chem. Commun. 2014, 50, 1842–1844. [Google Scholar] [CrossRef] [PubMed]
- Bar, G.; Larina, N.; Grinis, L.; Lokshin, V.; Gvishi, R.; Kiryuschev, I.; Zaban, A.; Khodorkovsky, V. RGB organic electrochromic cells. Sol. Energy Mater. Sol. Cells 2012, 99, 123–128. [Google Scholar] [CrossRef]
- Romagnoli, L.; D’Annibale, A.; Latini, A. 4,4′-([2,20-Bithiophene]-5,5′-diylbis(ethyne-2,1-diyl))bis(1-methylpyridin-1-ium) Iodide. Molbank 2023, 2023, M1733. [Google Scholar] [CrossRef]
- Romagnoli, L.; D’Annibale, A.; Latini, A. 4,40,400-(Benzene-1,3,5-triyltris(ethyne-2,1-diyl))tris(1-methylpyridin-1-ium) Iodide. Molbank 2023, 2023, M1742. [Google Scholar] [CrossRef]
- Romagnoli, L.; Latini, A.; D’Annibale, A. 4,4′-(Thiophene-2,5-diylbis(ethyne-2,1-diyl))bis(1-methyl-1-pyridinium) Iodide. Molbank 2024, 2024, M1817. [Google Scholar] [CrossRef]
- Fudickar, W.; Bauch, M.; Ihmels, H.; Linker, T. DNA-Triggered Enhancement of Singlet Oxygen Production by Pyridinium Alkynylanthracenes. Chem. Eur. J. 2021, 27, 13591–13604. [Google Scholar] [CrossRef]
- Romagnoli, L.; D’Annibale, A.; Blundo, E.; Polimeni, A.; Cassetta, A.; Chita, G.; Panetta, R.; Ciccioli, A.; Latini, A. Synthesis, Structure, and Characterization of 4,4′-(Anthracene-9,10-diylbis(ethyne-2,1-diyl))bis(1-methyl-1-pyridinium) Bismuth Iodide (C30H22N2)3Bi4I18, an Air, Water, and Thermally Stable 0D Hybrid Perovskite with High Photoluminescence Efficiency. Cryst. Growth Des. 2022, 22, 7426–7433. [Google Scholar] [CrossRef] [PubMed]
- Romagnoli, L.; D’Annibale, A.; Blundo, E.; Patra, A.; Polimeni, A.; Meggiolaro, D.; Andrusenko, I.; Marchetti, D.; Gemmi, M.; Latini, A. 4,4′-(Anthracene-9,10-diylbis(ethyne-2,1-diyl))bis(1-methyl-1-pyridinium) Lead Iodide C30H22N2Pb2I6: A Highly Luminescent, Chemically and Thermally Stable One-Dimensional Hybrid Iodoplumbate. Chem. Mater. 2023, 35, 1818–1826. [Google Scholar] [CrossRef] [PubMed]
- Kole, G.K.; Košćak, M.; Amar, A.; Majhen, D.; Božinović, K.; Brkljaca, Z.; Ferger, M.; Michail, E.; Lorenzen, S.; Friedrich, A.; et al. Methyl Viologens of Bis-(4′-Pyridylethynyl)Arenes–Structures, Photophysical and Electrochemical Studies, and their Potential Application in Biology. Chem. Eur. J. 2022, 28, e202200753. [Google Scholar] [CrossRef]
- Makuła, P.; Pacia, M.; Macyk, W. How To Correctly Determine the Band Gap Energy of Modified Semiconductor Photocatalysts Based on UV−Vis Spectra. J. Phys. Chem. Lett. 2018, 9, 6814–6817. [Google Scholar] [CrossRef]
- Sokolov, A.N.; Friščić, T.; MacGillivray, R. Enforced Face-to-Face Stacking of Organic Semiconductor Building Blocks within Hydrogen-Bonded Molecular Cocrystals. J. Am. Chem. Soc. 2006, 128, 2806–2807. [Google Scholar] [CrossRef] [PubMed]


Disclaimer/Publisher’s Note: The statements, opinions and data contained in all publications are solely those of the individual author(s) and contributor(s) and not of MDPI and/or the editor(s). MDPI and/or the editor(s) disclaim responsibility for any injury to people or property resulting from any ideas, methods, instructions or products referred to in the content. |
© 2025 by the authors. Licensee MDPI, Basel, Switzerland. This article is an open access article distributed under the terms and conditions of the Creative Commons Attribution (CC BY) license (https://creativecommons.org/licenses/by/4.0/).
Share and Cite
Novelli, V.; D’Annibale, A.; Casano, F.; Latini, A.; Romagnoli, L. 4,4′-(Anthracene-9,10-diylbis(ethyne-2,1-diyl))bis(1-benzyl-1-pyridinium) Bromide. Molbank 2025, 2025, M1998. https://doi.org/10.3390/M1998
Novelli V, D’Annibale A, Casano F, Latini A, Romagnoli L. 4,4′-(Anthracene-9,10-diylbis(ethyne-2,1-diyl))bis(1-benzyl-1-pyridinium) Bromide. Molbank. 2025; 2025(2):M1998. https://doi.org/10.3390/M1998
Chicago/Turabian StyleNovelli, Valentina, Andrea D’Annibale, Fabrizio Casano, Alessandro Latini, and Lorenza Romagnoli. 2025. "4,4′-(Anthracene-9,10-diylbis(ethyne-2,1-diyl))bis(1-benzyl-1-pyridinium) Bromide" Molbank 2025, no. 2: M1998. https://doi.org/10.3390/M1998
APA StyleNovelli, V., D’Annibale, A., Casano, F., Latini, A., & Romagnoli, L. (2025). 4,4′-(Anthracene-9,10-diylbis(ethyne-2,1-diyl))bis(1-benzyl-1-pyridinium) Bromide. Molbank, 2025(2), M1998. https://doi.org/10.3390/M1998

