2-((Diphenylmethylene)amino)ethyl N-(Cyclohexyl)carbamate
Abstract
1. Introduction
2. Background
3. Results and Discussion
4. Materials and Methods
5. Experimental Process
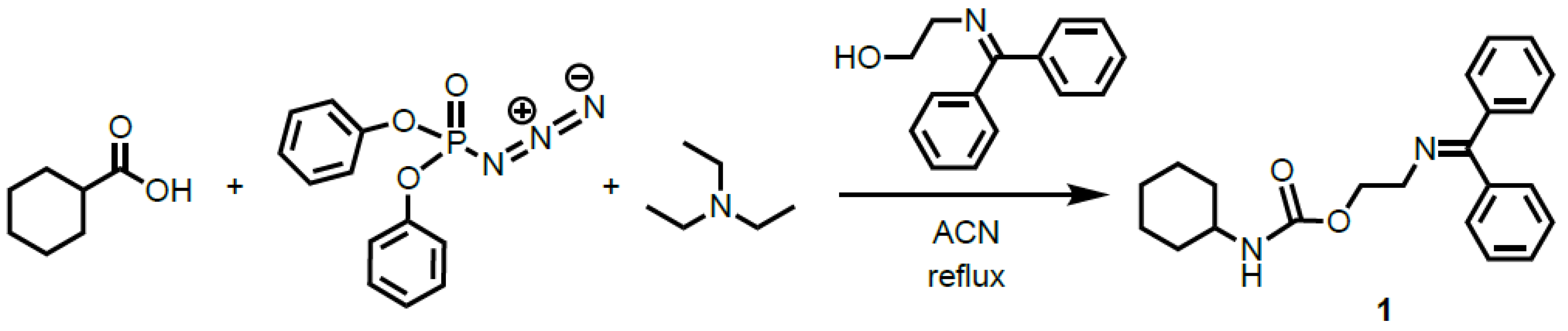
2-((Diphenylmethylene)amino)ethyl N-(Cyclohexyl)carbamate (1)
6. Conclusions
Supplementary Materials
Author Contributions
Funding
Acknowledgments
Conflicts of Interest
References
- Verma, M.; Ozer, I.; Xie, W.; Gallagher, R.; Teixeira, A.; Choy, M. The Landscape for Lipid-Nanoparticle-Based Genomic Medicines. Nat. Rev. Drug Discov. 2023, 22, 349–350. [Google Scholar] [CrossRef] [PubMed]
- Hou, X.; Zaks, T.; Langer, R.; Dong, Y. Lipid Nanoparticles for mRNA Delivery. Nat. Rev. Mater. 2021, 6, 1078–1094. [Google Scholar] [CrossRef] [PubMed]
- Aljuaid, N.; Tully, M.; Seitsonen, J.; Ruokolainen, J.; Hamley, I.W. Benzene Tricarboxamide Derivatives with Lipid and Ethylene Glycol Chains Self-assemble into Distinct Nanostructures Driven by Molecular Packing. Chem. Commun. 2021, 57, 8360–8363. [Google Scholar] [CrossRef] [PubMed]
- Couture-Senécal, J.; Tilstra, G.; Khan, O.F. Engineering Ionizable Lipids for Rapid Biodegradation Balances mRNA Vaccine Efficacy and Tolerability. bioRxiv 2024. [Google Scholar] [CrossRef]
- Fernández-Fariña, S.; Martínez-Calvo, M.; Romero, M.J.; Seco, J.M.; Zaragoza, G.; Pedrido, R.; González-Noya, A. Hydrolysis of a Carbamate Triggered by Coordination of Metal Ions. Dalton Trans. 2022, 51, 10198–10209. [Google Scholar] [CrossRef]
- Li, B.; Yu, X.; Wang, Z.; Xu, F.; Zhang, C.; Zhang, S.; Liu, X.; Ma, X.; Zheng, M.; Yang, Z.; et al. An Orthogonal Array Optimization of Lipid-like Nanoparticles for mRNA Delivery in Vivo. Nano Lett. 2015, 15, 8099–8107. [Google Scholar] [CrossRef] [PubMed]
- Jiang, C.; Wang, X.; Zhang, X.; Zhang, T.; Zhang, L.; Zhang, X.; Yang, Y.; Wang, W.; Yu, W.; Yang, L.; et al. A Non-viral CRISPR/Cas9 Delivery System for Therapeutically Targeting HBV DNA and PCSK9 in Vivo. Cell Res. 2017, 27, 440–443. [Google Scholar] [CrossRef]
- Zeng, C.; Zhu, L.; Yang, L.; Zhang, X.; Zhang, L.; Zhang, Y.; Li, W.; Liu, X.; Liu, T.; Li, Y.; et al. Leveraging mRNA Sequences and Nanoparticles to Deliver SARS-CoV-2 Antigens in Vivo. Adv. Mater. 2020, 32, 2004452. [Google Scholar] [CrossRef] [PubMed]
- Curtius, T. Ueber Stickstoffwasserstoffsäure (Azoimid) und einige ihrer Salze. Ber. Dtsch. Chem. Ges. 1890, 23, 3023–3033. [Google Scholar] [CrossRef]
- Marmande, M.; Baxter, B.; Zeller, M.; Forbes, D. N,N′-Dibenzylethylenediammonium Dichloride. Acta Crystallogr. 2024, 80, 1130–1134. [Google Scholar] [CrossRef] [PubMed]
- Trost, B.M.; Osipov, M.; Dong, G. Synthesis of the Aminocyclitol Core of Jogyamycin via an Enantioselective Pd-Catalyzed Trimethylenemethane (TMM) Cycloaddition. Org. Lett. 2018, 20, 3938–3942. [Google Scholar] [CrossRef] [PubMed]
- While We Prepared the Schiff Base 2-((Diphenylmethylene)amino)ethanol, the Material Is Commercially Available. Available online: https://product.birdotech.com/product/AC874816.html (accessed on 2 January 2025).





Disclaimer/Publisher’s Note: The statements, opinions and data contained in all publications are solely those of the individual author(s) and contributor(s) and not of MDPI and/or the editor(s). MDPI and/or the editor(s) disclaim responsibility for any injury to people or property resulting from any ideas, methods, instructions or products referred to in the content. |
© 2025 by the authors. Licensee MDPI, Basel, Switzerland. This article is an open access article distributed under the terms and conditions of the Creative Commons Attribution (CC BY) license (https://creativecommons.org/licenses/by/4.0/).
Share and Cite
Baxter, B.N.; Marmande, M.H.; Albers, A.M.; Gangasani, M.R.; Le, H.N.; Molokhia, O.E.; Monteiro-Pai, J.; Ransom, K.V.; Forbes, D.C. 2-((Diphenylmethylene)amino)ethyl N-(Cyclohexyl)carbamate. Molbank 2025, 2025, M1947. https://doi.org/10.3390/M1947
Baxter BN, Marmande MH, Albers AM, Gangasani MR, Le HN, Molokhia OE, Monteiro-Pai J, Ransom KV, Forbes DC. 2-((Diphenylmethylene)amino)ethyl N-(Cyclohexyl)carbamate. Molbank. 2025; 2025(1):M1947. https://doi.org/10.3390/M1947
Chicago/Turabian StyleBaxter, Bailey N., Mary Helene Marmande, Alyssa M. Albers, Manisha R. Gangasani, Hao N. Le, Omar E. Molokhia, Juanita Monteiro-Pai, Kyndall V. Ransom, and David C. Forbes. 2025. "2-((Diphenylmethylene)amino)ethyl N-(Cyclohexyl)carbamate" Molbank 2025, no. 1: M1947. https://doi.org/10.3390/M1947
APA StyleBaxter, B. N., Marmande, M. H., Albers, A. M., Gangasani, M. R., Le, H. N., Molokhia, O. E., Monteiro-Pai, J., Ransom, K. V., & Forbes, D. C. (2025). 2-((Diphenylmethylene)amino)ethyl N-(Cyclohexyl)carbamate. Molbank, 2025(1), M1947. https://doi.org/10.3390/M1947

