Abstract
Tetronic acid, a five-membered heterocyclic moiety present in various natural products, has emerged as a significant building block for many pharmaceutically active compounds. In this study, a novel protocol for the synthesis of the bis-tetronic acid 3,3′-((4-methoxyphenyl)methylene)bis(4-hydroxyfuran-2(5H)-one) (3) via a domino Knoevenagel–Michael reaction is presented. The natural deep eutectic solvent L-proline/glycerol 1:2 molar ratio was utilized as a solvent and catalyst, while the reaction was further promoted via microwave irradiation, providing the desired product in high yield (83%). The solvent was successfully recycled and reused up to three times.
1. Introduction
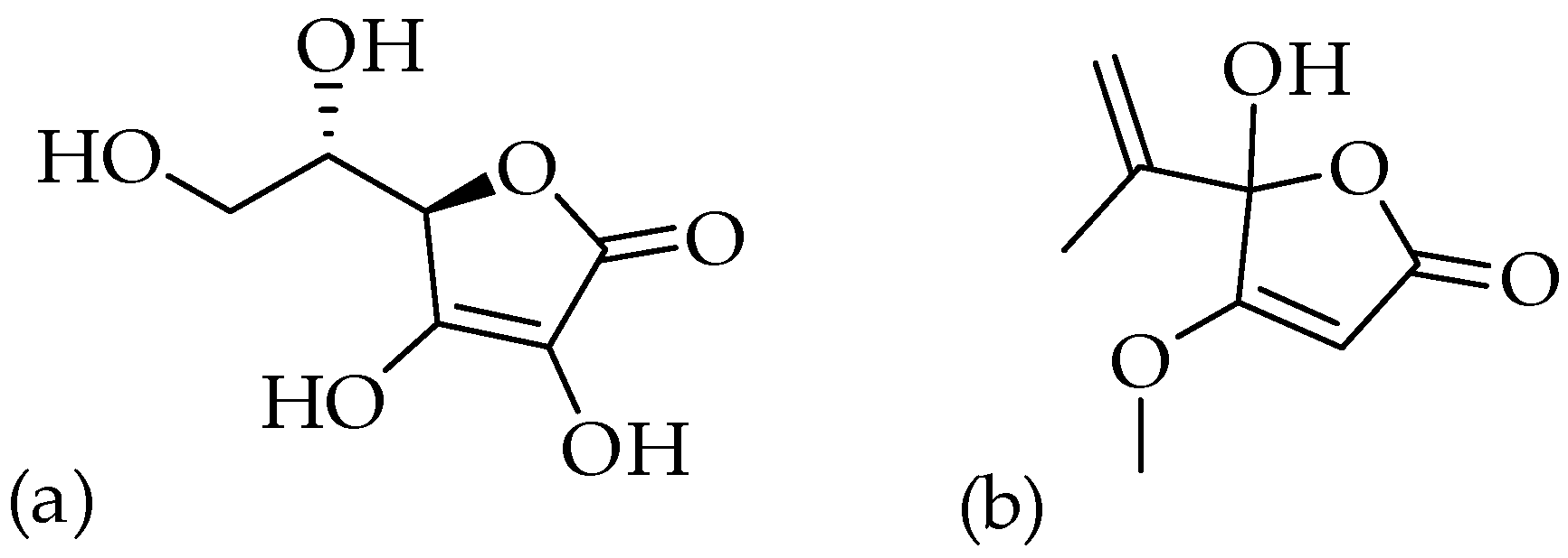
Tetronic acid and its derivatives represent a subclass of β-hydroxy butenolides that can be found as building blocks in numerous naturally occurring bioactive compounds, such as vitamin C and penicillic acid (Figure 1) [1].
Figure 1.
Naturally occurring tetronic acid derivatives: (a) vitamin C, (b) penicillic acid.
Tetronic acid, a five-membered heterocyclic ring, is used as a versatile scaffold in organic chemistry allowing extensive functionalization [2,3]. From a pharmaceutical perspective, this attribute is considered of high importance since tetronic acid derivatives can be fine tuned in order to optimize their pharmacokinetic and pharmacodynamic profiles, rendering them promising candidates for drug development. In addition to their structural versatility, tetronic acid derivatives possess a wide range of biological activities [4,5,6,7,8], such as antibacterial, antifungal, anti-inflammatory, and anticancer properties, attracting the interest of the scientific community.
Bis-tetronic acids, a category of tetronic acid derivatives, are characterized by the presence of twο tetronic acid moieties within a single molecule and are usually synthesized via the domino Knoevenagel condensation–Michael addition reaction. In 2003, Goerlitzer et al. [9] introduced the synthesis of bis-tetronic acids at room temperature using ethanol as a solvent and diethylamine as a base. Since then, in an attempt to optimize the synthesis of these compounds, researchers have proposed different approaches to the same reaction between tetronic acid and aldehydes. In this framework, Ramachary et al. [10] presented the synthesis of bis-tetronic acids in dichloromethane (DCM), using L-proline as a catalyst, while Pandit et al. [11] examined different catalysts, using ethanol as a solvent, concluding that the use of sulfamic acid produces the desired compound in increased yield. In addition to these, Kumbhar et al. [12] suggested the use of a Brönsted acid hydrotrope-combined catalyst, consisting of p-toluenesulfonic acid and sodium p-toluene sulphonate in water, while Zhang et al. [13] managed to electrochemically induce a reaction between tetronic acid and aldehyde, providing the products in high yields.
In the context of redesigning existing chemical reactions of great importance with respect to Green Chemistry and sustainability terms, the aim of the present study is to design a novel approach for the synthesis of bis-tetronic acid, exploiting benign, environmentally friendly solvents and high-energy techniques.
Natural deep eutectic solvents (NADESs) are emerging as a new class of green solvents that can be used as a media for organic reactions [14,15,16]. They derive from the mixing of two or more naturally occurring components (amino acids, sugars, polyols), which are capable of forming a eutectic mixture. Their increasing application to organic chemistry can be attributed to their low cost, chemical and thermal stability, and recyclability, as well as to their physicochemical properties (such as pH, polarity, viscosity) that can be tailor designed to meet the requirements of a specific reaction by judicious selection of the starting materials.
In recent years, NADES gained more and more prominence in organic synthesis as environmentally friendly alternatives to volatile organic solvents, offering improved solubility, selectivity, and sustainability in a plethora of reactions [17,18,19]. Although the advances in this field are rapid, there are limited reports regarding the integration of NADES in the Knoevenagel–Michael reaction. Therefore, and based on our previous work [14], the present study focuses on the implementation of L-proline-based NADES in the Knoevenagel–Michael reaction between tetronic acid and 4-methoxy benzaldehyde under microwave (MW) irradiation.
2. Results and Discussion
2.1. Novel Synthetic Methodology
NADES L-proline/glycerol (Pro/Gly) 1:2 was synthesized and successfully applied for the first time in the domino Knoevenagel–Michael reaction between tetronic acid (1) and 4-methoxybenzaldehyde (2) in a molar ratio of 2:1 at 60 °C (Scheme 1). The selected NADES was tailor designed to play a dual role in the reaction, as it served both as a solvent and a catalyst since L-proline is a well-known organocatalyst that has been vastly used to promote organic reactions.
Scheme 1.
NADES-promoted domino Knoevenagel–Michael reaction between tetronic acid (1) and 4-methoxy-benzaldehyde (2), to afford bis-tetronic acid (3).
In order to investigate the effect of the heating method on the reaction mixture, the reaction was performed using both conventional heating and microwave irradiation (Table 1).
Table 1.
Effect of the heating method on the time and yield of the reaction.
Τhe results revealed that when using conventional heating, the desired product is obtained in 24 h in moderate yield (59%), while the implementation of microwave irradiation not only increases the product yield to 83% (40% increase) but also significantly decreases the reaction time to 15 min and, therefore, enhances the green character of the novel methodology. The structure of the bis-tetronic acid 3 was confirmed via 1H and 13C NMR obtained in CDCl3 (Supplementary Material). The 1H NMR spectrum of compound 3 in DMSO-d6 has been reported by Zang et al. [13], and the peak assignment is in accordance with our spectrum. In addition, the purity of the compound was confirmed with High-Performance Liquid Chromatography (HPLC) analysis (Figure S6, Supplementary Material).
The exact role of the Pro/Gly NADES in the mechanism of the reaction is still not clear. In the literature, two schools of thought regarding this matter have been reported: one in which L-proline catalyzes the reaction via an iminium pathway [10,20] and one in which the carbonyl group of the aldehyde is activated via the formation of hydrogen bonds with the hydrogen bond donor of the NADES [21,22]. In this work, an attempt to perform the reaction using only glycerol as a solvent was made; however, the desired product was not formed, highlighting the importance of L-proline in the promotion of the reaction. With this observation in mind, the plausible mechanism suggested in this work follows an iminium pathway starting with the formation of an iminium ion between L-proline and 4-methoxy benzaldehyde which is then attacked by the nucleophilic tetronic acid, forming the Knoevenagel addition product (not isolated). The next step is a Michael addition reaction of a second tetronic acid molecule to the Knoevenagel addition product, leading to the formation of the final bis-tetronic acid. The Knoevenagel addition product is already activated towards a Michael addition due to the presence of the two carbonyl groups; however, additional activation through the formation of hydrogen bonds with the NADES components can also be assumed (Scheme 2).
Scheme 2.
Suggested domino Knoevenagel–Michael reaction mechanism in the presence of NADES Pro/Gly 1:2 as a solvent and catalyst.
2.2. Recyclability of the Solvent Pro/Gly 1:2
In alliance with the principles of Green Chemistry, an attempt to recycle and reuse the NADES Pro/Gly was made. The solvent was applied to the reaction between tetronic acid and 4-methoxybenzaldehyde in a ratio of 1.5 g of NADES/mmol of tetronic acid under MW irradiation. Upon completion of the reaction, water was added to the reaction vessel, and the mixture was filtrated. The water in the NADES water filtrate was evaporated, and the recycled NADES was dried under vacuum and reused in the next reaction without any purification. As a result of this process, Pro/Gly was recovered and reused for up to four cycles, demonstrating no significant loss in yield (Figure 2).
Figure 2.
Reaction yield after the recycling and reuse of the NADES.
3. Materials and Methods
L-proline (Fluorochem, Glossop, UK, 99%), D,L-lactic acid (LabKemBarcelona, Spain, 80% aq. sol.), glycerol anhydrous (Penta, Prague, Czech Republic, 99.9%), choline chloride (Glentham Life Sciences, Corsham, UK, 99%), tetronic acid (TCI, Tokyo, Japan, 96%), and 4-methoxybenzaldehyde (Fluorochem, Glossop, UK, 99%) were purchased and used without further purification.
The microwave-assisted reactions were performed on the Milestone Start SYNTH-Microwave Synthesis Labstation.
1H and 13C NMR spectra (300 and 600 MHz) were recorded on a Varian 300 MHz and Varian 600 MHz NMR spectrometer (Palo Alto, CA, USA) at the Institute of Chemical Biology, National Hellenic Research Foundation.
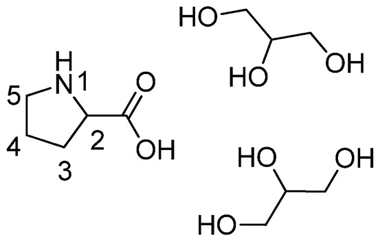
3.1. Synthesis of NADES L-Proline/Glycerol
The NADES L-proline/glycerol (Scheme 3) was synthesized using the heating and stirring method. In a round-bottom flask, L-proline and glycerol were mixed in a molar ratio of 1:2 and stirred at 60 °C for 4 h until an orange-yellow transparent liquid was formed. 1H NMR (300 MHz, DMSO-d6): δ (ppm) 4.52 (brs, 5H, 4× -OH, NH), 3.71 (t, J = 8.4 Hz, 1H, H-2), 3.43–3.40 (m, 2H), 3.37–3.34 (m, 4H), 3.29–3.26 (m, 4H), 3.21–3.19 (m, 1H), 3.5–3.01 (m, 1H), 2.06–2.00 (m, 1H), 1.93–1.89 (m, 1H), 1.81–1.75 (m, 1H), and 1.73–1.66 (m, 1H); 13C NMR (600 MHz, DMSO-d6): δ (ppm) 170.23, 72.58, 63.11, 60.67, 45.22, 29.01, and 23.91.
Scheme 3.
NADES L-proline/glycerol 1:2.
3.2. Synthesis of 3,3′-((4-Methoxyphenyl)methylene)bis(4-hydroxyfuran-2(5H)-one) 3
3.2.1. Synthesis Under Conventional Heating
In a round-bottom flask, tetronic acid (1) (100 mg, 1 mmol) and 4-methoxybenzaldehyde (2) (68.1 mg, 0.5 mmol) were added to 1.5 g of the NADES. The reaction was performed at 60 °C using an oil bath for 24 h under an inert atmosphere. The completion of the reaction was monitored by thin-layer chromatography (TLC). At the end of the reaction, an appropriate amount of water was added, and the precipitate formed was filtered off by vacuum filtration. The product (3) (93.9 mg, 0.3 mmol) was obtained as an orange-yellow powder after purification with flash column chromatography using DCM/MeOH.
3.2.2. Synthesis Under Microwave Irradiation
In a microwave quartz tube, tetronic acid (1) (100 mg, 1 mmol) and 4-methoxybenzaldehyde (2) (68.1 mg, 0.5 mmol) were added to 1.5 g of the NADES, and the reaction was performed under microwave irradiation. The MW conditions were determined as follows:
- T = 60 °C, E = 120 W;
- Heating time: 5 min;
- Reaction time: 15 min;
- Cooling time: 5 min.
The completion of the reaction was monitored by TLC using DCM/MeOH 98:2 as eluent (Rf: 0.2) every 5 min. At the end of the reaction, an appropriate amount of water was added, and the precipitate formed was filtered off by vacuum filtration. The product (3) (132.1 mg, 0.42 mmol) was obtained as an orange-yellow powder after purification with column chromatography using DCM/MeOH.
3.2.3. 3,3′-((4-Methoxyphenyl)methylene)bis(4-hydroxyfuran-2(5H)-one)
1H NMR (300 MHz, CDCL3-d1): δ (ppm) 7.13 (d, J = 8.4 Hz, 1H, Ar-H), 6.79 (d, J = 8.7 Hz, 1H, Ar-H, 5.28 (s, 1H, −CH-Ar), 4.70 (d, J = 3.3 Hz, 4H, 2× −O-CH2-C), and 3.76 (s, 3H, −OCH3); 13C NMR (600 MHz, CDCL3-d1): δ (ppm) 176.09, 158.69, 130.41, 128.16, 114.23, 101.92, 68.47, 64.32, 55.40, and 30.40. m.p. 169–171 °C (lit. 174–176 °C [13]).
3.3. HPLC Analysis
The purity of the synthesized compound was determined using a Shimadzu Prominance-i LC-2030C 3D Plus HPLC system. The chromatographic conditions of the analysis are presented in Table 2.
Table 2.
Chromatographic conditions of HPLC analysis.
4. Conclusions
In the present study, a novel methodology for the synthesis of the bis-tetronic acid 3,3′-((4-methoxyphenyl)methylene)bis(4-hydroxyfuran-2(5H)-one) (3) via a domino Knoevenagel–Michael reaction was presented, exploiting a benign, environmentally friendly NADES, Pro/Gly 1:2. To reinforce the sustainability of the process, the synergistic effect of microwave irradiation with the NADES was examined, revealing significant reduction in the reaction time compared to the conventional heating (from 24 h to 15 min), as well as a noteworthy increase in the reaction yield (from 59% to 83%). In addition to this, the recyclability and reusability of the selected solvent were determined, revealing that Pro/Gly can be utilized in the reaction as a solvent and catalyst up to four times, with a minor loss in the reaction yield.
Supplementary Materials
Figure S1: 1H NMR of NADES Pro/Gly 1:2; Figure S2: 13C NMR of NADES Pro/Gly 1:2; Figure S3: 1H NMR of compound 3; Figure S4: 13C NMR of compound 3; Figure S5: IR spectrum of compound 3; Figure S6: HPLC chromatographs of compounds 1, 2, and 3.
Author Contributions
Conceptualization, A.D. and A.T.; methodology, M.-A.K., I.K., A.C. and A.T.; investigation, M.-A.K. and A.C.; resources, A.D.; data curation, M.-A.K., I.K., A.C. and A.T.; writing—original draft preparation, M.-A.K., I.K. and A.T.; writing—review and editing, A.D. and A.T.; supervision, A.D.; project administration, A.D.; funding acquisition, A.D. All authors have read and agreed to the published version of the manuscript.
Funding
This research was funded by the Research Committee of N.T.U.A. (Basic Research Programme, PEVE 2020).
Data Availability Statement
The data presented in the study are available upon request from the corresponding author.
Conflicts of Interest
The authors declare no conflicts of interest. The funders had no role in the design of the study; in the collection, analyses, or interpretation of data; in the writing of the manuscript; or in the decision to publish the results.
References
- Princiotto, S.; Jayasinghe, L.; Dallavalle, S. Recent advances in the synthesis of naturally occurring tetronic acids. Bioorg. Chem. 2022, 119, 105552. [Google Scholar] [CrossRef] [PubMed]
- Javahershenas, R.; Nikzat, S. Recent advances in the multicomponent synthesis of heterocycles using tetronic acid. RSC Adv. 2023, 13, 16619–16629. [Google Scholar] [CrossRef] [PubMed]
- Abdou, M.M.; El-Saeed, R.A.; Elattar, K.M.; Seferoğlu, Z.; Boukouvalas, J. Advancements in tetronic acid chemistry. Part 2: Use as a simple precursor to privileged heterocyclic motifs. Mol. Divers. 2016, 20, 989–999. [Google Scholar] [CrossRef] [PubMed]
- Dandawate, P.; Padhye, S.; Schobert, R.; Biersack, B. Discovery of natural products with metal-binding properties as promising antibacterial agents. Expert Opin. Drug Discov. 2019, 14, 563–576. [Google Scholar] [CrossRef] [PubMed]
- Hu, Y.; Zhang, L.Z.; Ren, Z.J.; Zhao, Z.; Xu, W.Q.; Yang, C.L. Synthesis and Antifungal Activity of Novel Furan-2,4-dione Derivatives Containing Substituted Phenylhydrazine Moiety. J. Chin. Chem. Soc. 2015, 62, 495–500. [Google Scholar] [CrossRef]
- Silva, J.G.; de Miranda, A.S.; Ismail, F.M.D.; Barbosa, L.C.A. Synthesis and medicinal chemistry of tetronamides: Promising agrochemicals and antitumoral compounds. Bioorganic Med. Chem. 2022, 67, 116815. [Google Scholar] [CrossRef]
- Hu, Y.; Wang, J.; Lu, A.; Yang, C. Synthesis, characterization, antifungal evaluation and 3D-QSAR study of phenylhydrazine substituted tetronic acid derivatives. Bioorganic Med. Chem. Lett. 2014, 24, 3772–3776. [Google Scholar] [CrossRef]
- Xu, M.M.; Wang, H.Q.; Wan, Y.; He, G.; Yan, J.; Zhang, S.; Wang, S.L.; Shi, F. Catalytic asymmetric substitution of: Ortho -hydroxybenzyl alcohols with tetronic acid-derived enamines: Enantioselective synthesis of tetronic acid-derived diarylmethanes. Org. Chem. Front. 2017, 4, 358–368. [Google Scholar] [CrossRef]
- Goerlitzer, K.; Trittmacher, J.; Bartke, U. Bis (lactone)-annulated 4H-pyranes and 1, 4-dihydropyridines from 3, 3′-(nitrobenzlidene)-bistetronic acids. Die Pharm. 2002, 57, 606–609. [Google Scholar]
- Ramachary, D.B.; Kishor, M. Direct catalytic asymmetric synthesis of highly functionalized tetronic acids/tetrahydro-isobenzofuran-1,5-diones via combination of cascade three-component reductive alkylations and Michael-aldol reactions. Org. Biomol. Chem. 2010, 8, 2859–2867. [Google Scholar] [CrossRef]
- Pandit, K.S.; Desai, U.V.; Wadgaonkar, P.P.; Kodam, K.M. Sulfamic acid-catalyzed, environmentally benign synthesis of bis-tetronic acids at ambient temperature. Res. Chem. Intermed. 2017, 43, 141–152. [Google Scholar] [CrossRef]
- Kumbhar, A.; Kanase, D.; Mohite, S.; Salunkhe, R.; Lohar, T. Brönsted acid hydrotrope combined catalysis in water: A green approach for the synthesis of indoloquinoxalines and bis-tetronic acids. Res. Chem. Intermed. 2021, 47, 2263–2278. [Google Scholar] [CrossRef]
- Zhang, Z.Z.; Zhang, N.T.; Hu, L.M.; Wei, Z.Q.; Zeng, C.C.; Zhong, R.G.; She, Y. Bin Electrochemically induced cascade Knoevenagel-Michael reactions of tetronic acid and aldehydes: Synthesis of methylenebistetronic acids. RSC Adv. 2011, 1, 1383–1388. [Google Scholar] [CrossRef]
- Karadendrou, M.A.; Kostopoulou, I.; Kakokefalou, V.; Tzani, A.; Detsi, A. L-Proline-Based Natural Deep Eutectic Solvents as Efficient Solvents and Catalysts for the Ultrasound-Assisted Synthesis of Aurones via Knoevenagel Condensation. Catalysts 2022, 12, 249. [Google Scholar] [CrossRef]
- Clarke, C.J.; Tu, W.C.; Levers, O.; Bröhl, A.; Hallett, J.P. Green and Sustainable Solvents in Chemical Processes. Chem. Rev. 2018, 118, 747–800. [Google Scholar] [CrossRef]
- Paiva, A.; Craveiro, R.; Aroso, I.; Martins, M.; Reis, R.L.; Duarte, A.R.C. Natural Deep Eutectic Solvents—Solvents for the 21st Century. ACS Sustain. Chem. Eng. 2014, 2, 1063–1071. [Google Scholar] [CrossRef]
- Liu, Y.; Friesen, J.B.; McAlpine, J.B.; Lankin, D.C.; Chen, S.N.; Pauli, G.F. Natural Deep Eutectic Solvents: Properties, Applications, and Perspectives. J. Nat. Prod. 2018, 81, 679–690. [Google Scholar] [CrossRef]
- Perna, F.M.; Vitale, P.; Capriati, V. Deep eutectic solvents and their applications as green solvents. Curr. Opin. Green Sustain. Chem. 2020, 21, 27–33. [Google Scholar] [CrossRef]
- Liu, P.; Hao, J.-W.; Mo, L.-P.; Zhang, Z.-H. Recent advances in the application of deep eutectic solvents as sustainable media as well as catalysts in organic reactions. RSC Adv. 2015, 5, 48675–48704. [Google Scholar] [CrossRef]
- Vachan, B.S.; Karuppasamy, M.; Vinoth, P.; Vivek Kumar, S.; Perumal, S.; Sridharan, V.; Menéndez, J.C. Proline and its Derivatives as Organocatalysts for Multi- Component Reactions in Aqueous Media: Synergic Pathways to the Green Synthesis of Heterocycles. Adv. Synth. Catal. 2020, 362, 87–110. [Google Scholar] [CrossRef]
- Mohire, P.P.; Chandam, D.R.; Patravale, A.A.; Choudhari, P.; Karande, V.; Ghosh, J.S.; Deshmukh, M.B. An Expedient Four Component Synthesis of Substituted Pyrido-Pyrimidine Heterocycles in Glycerol:Proline Based Low Transition Temperature Mixture and Their Antioxidant Activity with Molecular Docking Studies. Polycycl. Aromat. Compd. 2021, 42, 137–155. [Google Scholar] [CrossRef]
- Theresa, L.V.; Avudaiappan, G.; Shaibuna, M.; Hiba, K.; Sreekumar, K. A study on the physical properties of low melting mixtures and their use as catalysts/solvent in the synthesis of barbiturates. J. Heterocycl. Chem. 2021, 58, 1849–1860. [Google Scholar] [CrossRef]
Disclaimer/Publisher’s Note: The statements, opinions and data contained in all publications are solely those of the individual author(s) and contributor(s) and not of MDPI and/or the editor(s). MDPI and/or the editor(s) disclaim responsibility for any injury to people or property resulting from any ideas, methods, instructions or products referred to in the content. |
© 2024 by the authors. Licensee MDPI, Basel, Switzerland. This article is an open access article distributed under the terms and conditions of the Creative Commons Attribution (CC BY) license (https://creativecommons.org/licenses/by/4.0/).




