Abstract
Bulk heterojunction solar cells are among the most promising organic solar cells (OSCs). One of the two important parts of OSCs are acceptors, and the development of the design and synthesis of non-fullerene acceptors involves an electron-deficient heterocyclic central core and anchor acceptor malonitrile derivatives of 3-methylene-2,3-dihydro-1H-inden-1-ones. In this communication, an intermediate for the synthesis of this compound, 1-(dicyanomethylene)-3-hydroxy-1H-indene-2-carboxylic acid, was prepared by the Perkin reaction of 2-(3-oxoisobenzofuran-1(3H)-ylidene)malononitrile with tert-butyl acetoacetate in the presence of acetic anhydride and triethylamine. The structure of the newly synthesized compound was established by means of elemental analysis, high-resolution mass spectrometry, 1H NMR, 13C NMR and IR spectroscopy, and mass spectrometry.
1. Introduction
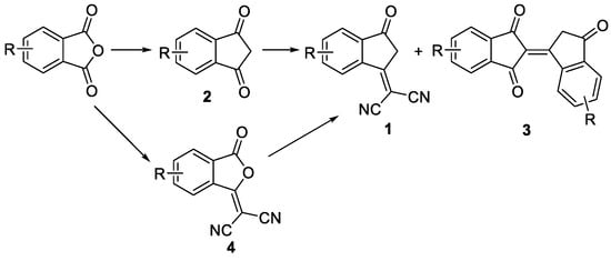
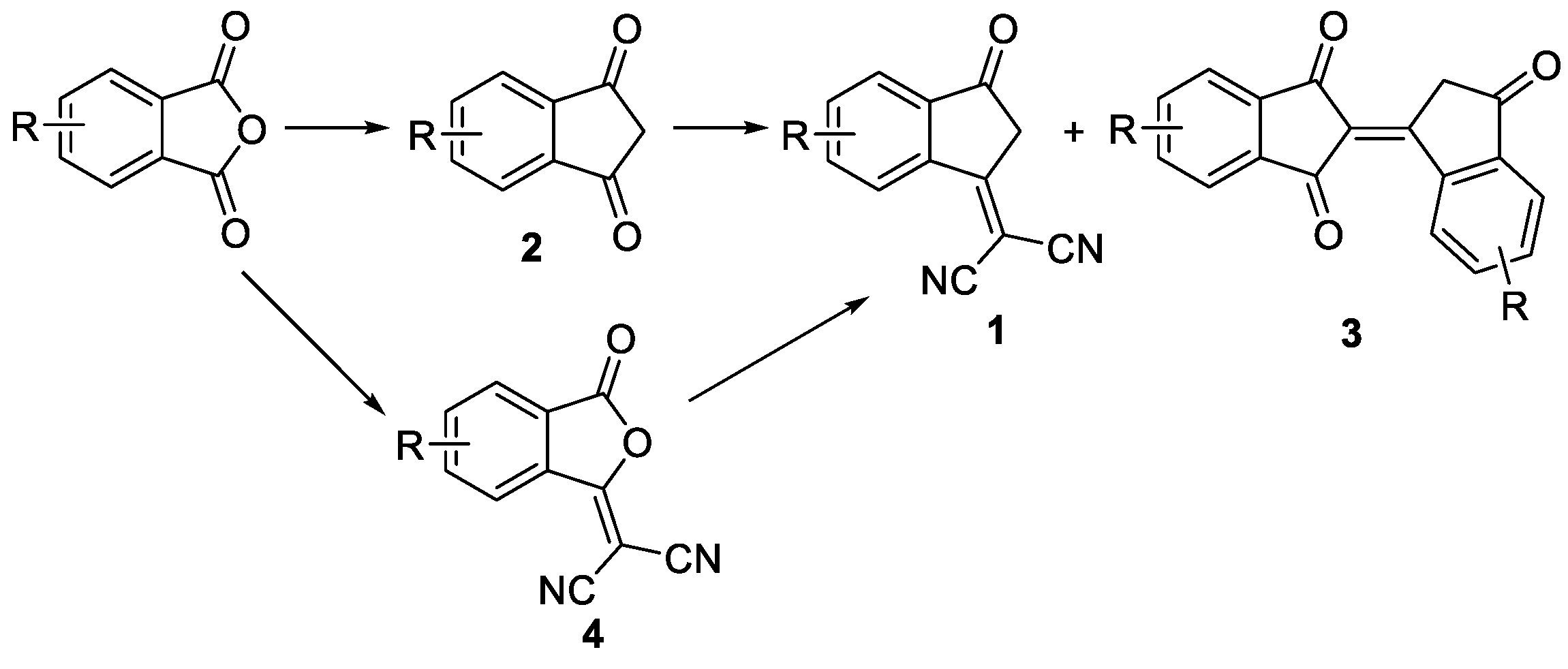
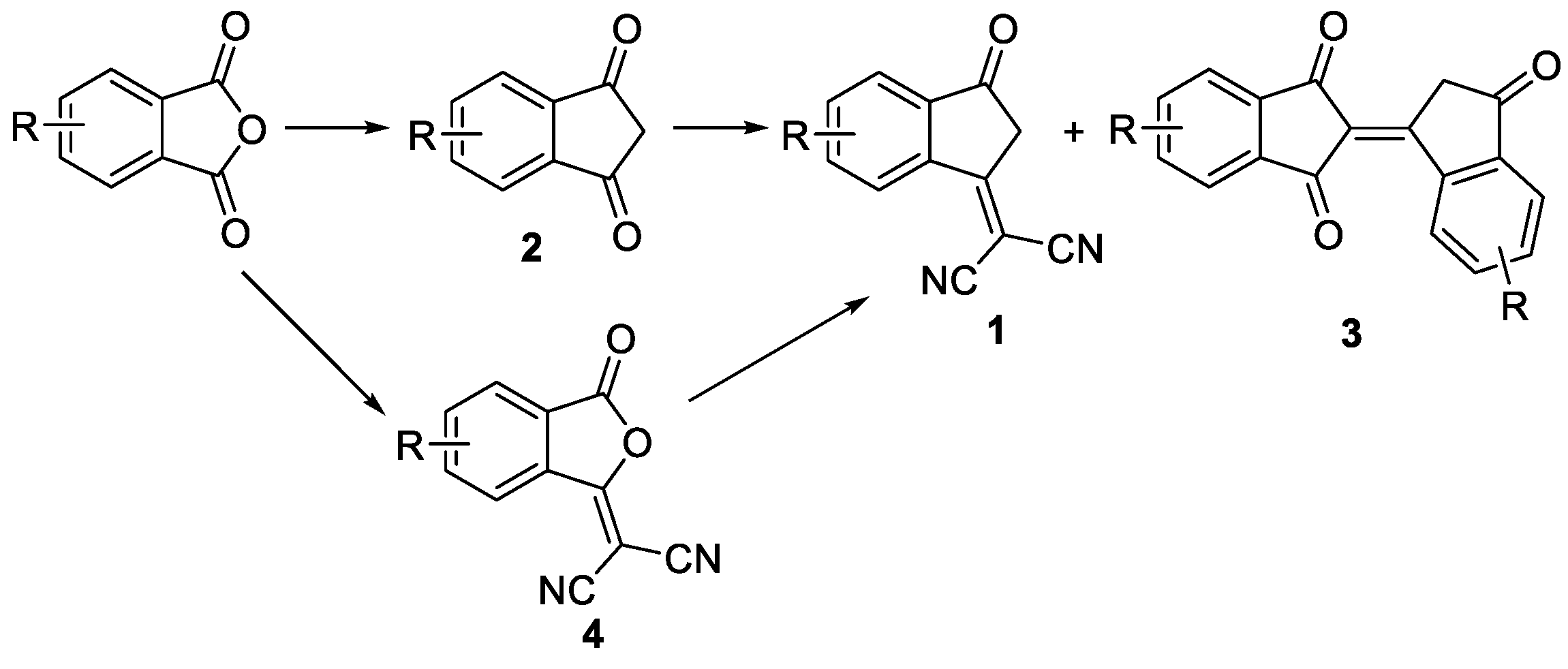
The most promising area of commercialization for converting solar radiation into electricity is organic solar cells (OSCs), i.e., solar cells and modules in which the photovoltaic active layer consists of organic semiconductors [,]. Bulk heterojunction OSCs containing donor and acceptor elements currently occupy a leading position among such devices with high potential for large-scale production; based on them, a power-conversion efficiency of more than 19% has been achieved [,]. Due to the significant disadvantages of previously used fullerene acceptors, such as the high cost of synthetic material and low light-harvesting ability, in the last 5 years, the chemistry of non-fullerene acceptors (NFAs) has begun to rapidly develop, which has revolutionized the field of OSCs. It turned out that with their help, it is possible to achieve much higher values of photovoltaic efficiency [,]. The most promising NFAs contain 1-(dicyanomethylene)-3-oxo-2,3-dihydro-1H-indenes 1 as an anchor residue with an activated methylene group [,,]. Typically, this protocol involves the Perkin reaction of phthalic anhydrides followed by the Knoevenagel reaction of 1H-indene-1,3(2)-dione 2 and its derivatives with malononitrile in the presence of a catalyst [,,]. However, the yields of 1-(dicyanomethylene)-3-oxo-2,3-dihydro-1H-indenes 1 in this reaction are often low due to the side reaction of bindone 3 formation [,,]. This is because the formation of bindons 3 from 1H-indene-1,3(2)-diones 2 occurs under the same conditions when treated with sodium acetate in ethanol [,]. To avoid the possibility of this side reaction, one could first introduce a dicyanomethylene group into the phthalic anhydride, and then carry out the Perkin reaction to form the target compound 1 (Scheme 1).

Scheme 1.
Routes for the preparation of 1-(dicyanomethylene)-3-oxo-2,3-dihydro-1H-indenes 1.
The synthesis of 2-(3-oxoisobenzofuran-1(3H)-ylidene) malononitrile 4 from phthalic anhydride and malononitrile is described in the literature []. Herein, we report the reaction of 2-(3-oxoisobenzofuran-1(3H)-ylidene) malononitrile with tert-butyl acetoacetate and synthesis of 1-(dicyanomethylene)-3-hydroxy-1H-indene-2-carboxylic acid 5 as a precursor for the preparation of 2-(3-oxo-2,3-dihydro-1H-inden-1-ylidene) malononitrile 1 (R = H).
2. Results and Discussion
It was found that the reaction of 2-(3-oxoisobenzofuran-1(3H)-ylidene) malononitrile 4 with tert-butylacetoacetate in the presence of triethylamine and acetic anhydride for 72 h at room temperature, followed by treatment of the resulting precipitate with an HCl solution at 70 °C within 3 h, led to compound 5 (Scheme 2).

Scheme 2.
Synthesis of 1-(dicyanomethylene)-3-oxo-2,3-dihydro-1H-indene-2-carboxylic acid 5.
The structure of 1-(dicyanomethylene)-3-hydroxy-1H-indene-2-carboxylic acid 5 as monohydrate was established by means of elemental analysis, high-resolution mass spectrometry, 1H NMR, 13C NMR, IR spectroscopy, and mass spectrometry. A two-dimensional HSQC NMR spectrum was recorded in order to correlate the signals in the 1H and 13C spectra. It turned out that the structure of compound 5 has four tertiary carbon atoms of the aromatic ring, which correspond to signals in the 1H NMR spectrum. Using the 13C DEPT NMR spectrum of compound 5, the remaining nine carbon atoms were found to be quaternary. The enol structure of acid 5 is confirmed by the presence of a broadened signal in the low-field region of the 1H NMR spectrum at δ = 10.30 ppm, corresponding to the proton of the carboxyl group, and the signal of the hydroxyl group obviously coincides with the signal of water in DMSO-d6, which is confirmed by an increase in the integral of water at δ = 3.36 ppm when compound 5 is dissolved in DMSO-d6 by approximately three protons (see Figures S1 and S2 in Supplementary Materials).
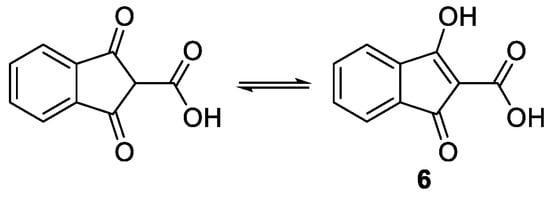
It should be noted that proving the structure of 1,3-dioxo-2,3-dihydro-1H-indene-2-carboxylic acid 6, which is similar in structure to compound 5, was also very difficult and required the use of quantum-chemical calculations and solid-state 13C NMR and IR spectroscopy (Scheme 3). It has been established that this compound exists as 3-hydroxy-1-oxo-1H-indene-2-carboxylic acid [,].

Scheme 3.
1,3-Dioxo-2,3-dihydro-1H-indene-2-carboxylic acid 6 structure.
In conclusion, it was shown that the reaction of 2-(3-oxoisobenzofuran-1(3H)-ylidene) malononitrile with tert-butyl acetoacetate led to 1-(dicyanomethylene)-3-hydroxy-1H-indene-2-carboxylic acid 5, which is intermediate in the synthesis of 1-(dicyanomethylene)-3-oxo-2,3-dihydro-1H-indene 1.
3. Materials and Methods
2-(3-Oxoisobenzofuran-1(3H)-ylidene) malononitrile 4 was prepared according to the published method []. The solvents and reagents were purchased from commercial sources and used as received. Elemental analysis was performed on a 2400 Elemental Analyzer (Perkin Elmer Inc., Waltham, MA, USA). Melting point was determined on a Kofler hot-stage apparatus and was uncorrected. 1H and 13C NMR spectra were taken with a QOne Quantum-I-plus AS600 (Q.One Instruments Ltd., Wuhan, Hubei Province, China), at frequencies of 600 and 150 MHz, in DMSO-d6 solutions, with TMS as the standard. J values are presented in Hz. The MS spectrum (EI, 70 eV) was obtained with a Finnigan MAT INCOS 50 instrument (Hazlet, NJ, USA). The IR spectrum was measured with a Bruker “Alpha-T” instrument in the KBr pellet. High-resolution MS spectra were measured on a Bruker micrOTOF II instrument (Bruker Daltonik Gmbh, Bremen, Germany) using electrospray ionization (ESI).
Synthesis of 1-(dicyanomethylene)-3-hydroxy-1H-indene-2-carboxylic acid 5 (Supplementary Materials).
A mixture of 2-(3-oxoisobenzofuran-1(3H)-ylidene)malononitrile 4 (300 mg, 1.53 mmol), tert-butyl acetoacetate (302 mg, 314 µL, 1.91 mmol) in triethylamine (1.35 mL), and acetic anhydride (2.04 mL) was stirred at room temperature for 72 h. Then, a 2 N solution of HCl (10 mL) was added and the reaction mixture was stirred at 70 °C for 2 h. After cooling to room temperature, the solid was filtered off and washed with water. Yield 302 mg (83%, 1.269 mmol), orange solid, mp > 300 °C. Anal. Calcd for C13H6N2O3*H2O (256): C, 60.94; H, 3.15; N, 10.93. Found: C, 61.03; H, 3.34; N, 11.17. 1H NMR (600 MHz, DMSO-d6, δ, ppm): 10.29 (br s, 1H, OH), 8.04 (d, J = 7.6, 1H, CH), 7.60–7.58 (m, 1H, CH), 7.50–7.54 (m, 2H, CH). 13C NMR (150 MHz, DMSO-d6, δ, ppm): 185.5 (=C-OH), 165.4 (C=C(CN)2), 160.5 (CO2H), 160.2, 138.1, 137.4, 132.6 (CH), 131.9 (CH), 122.6 (CH), 122.1 (CH), 118.5 (CN), 102.1 (CCO2H), 79.1 (=C(CN)2). HRMS-ESI (m/z): [M+H]+ calcd for (C13H6N2O3) 239.0451, found 239.0455. MS (EI, 70eV), m/z (I, %): 238 (95, [M]), 220 (18, [M-H2O]), 195 (12), 139 (25), 127 (15), 112 (8), 100 (10), 88 (11), 86 (11), 74 (9), 63 (12), 50 (15), 44 (100, CO2), 39 (16). IR, ν, cm−1: 3429 (OH), 3122 and 2979 (CH), 2221 (C≡N), 1677 (C=O), 1618 (C=N), 1590, 1550, 1483, 1463, 1379, 1315, 1273, 1226, 1178, 1082, 941, 853. Rf = 0.10 (petroleum ether/MeOH—10:1).
Supplementary Materials
The following are available online: copies of 1H, 13C NMR, IR, mass, and HRMS spectra for compound 5.
Author Contributions
Conceptualization, E.A.K.; methodology, O.A.R.; software, E.A.K.; validation, O.A.R.; formal analysis, investigation, S.D.U.; resources, O.A.R.; data curation, E.A.K.; writing—original draft preparation, E.A.K.; writing—review and editing, E.A.K.; visualization, E.A.K.; supervision, O.A.R.; project administration, O.A.R.; funding acquisition, O.A.R. All authors have read and agreed to the published version of the manuscript.
Funding
This research was funded by the Russian Science Foundation, Grant Number 24-23-00026.
Conflicts of Interest
The authors declare no conflicts of interest.
References
- Deibel, C.; Dyakonov, V. Polymer–Fullerene Bulk Heterojunction Solar Cells. Rep. Prog. Phys. 2010, 73, 096401. [Google Scholar] [CrossRef]
- Jain, A.; Kothari, R.; Tyagi, V.V.; Kumar Rajamony, R.; Shakeel Ahmad, M.; Mohan Singh, H.; Raina, S.; Pandey, A.K. Advances in Organic Solar Cells: Materials, Progress, Challenges and Amelioration for Sustainable Future. Sustain. Energy Technol. Assess. 2024, 63, 103632. [Google Scholar] [CrossRef]
- Duan, T.; Feng, W.; Li, Y.; Li, Z.; Zhang, Z.; Liang, H.; Chen, H.; Zhong, C.; Jeong, S.; Yang, C.; et al. Electronic Configuration Tuning of Centrally Extended Non-Fullerene Acceptors Enabling Organic Solar Cells with Efficiency Approaching 19%. Angew. Chem. Int. Ed. 2023, 62, e202308832. [Google Scholar] [CrossRef] [PubMed]
- Liang, H.; Bi, X.; Chen, H.; He, T.; Lin, Y.; Zhang, Y.; Ma, K.; Feng, W.; Ma, Z.; Long, G.; et al. A Rare Case of Brominated Small Molecule Acceptors for High-Efficiency Organic Solar Cells. Nat. Commun. 2023, 14, 4707. [Google Scholar] [CrossRef] [PubMed]
- Gao, J.; Zhu, X.; Bao, H.; Feng, J.; Gao, X.; Liu, Z.; Ge, Z. Latest Progress on Fully Non-fused Electron Acceptors for High-performance Organic Solar Cells. Chin. Chem. Lett. 2023, 34, 107968. [Google Scholar] [CrossRef]
- Li, X.; Kong, X.; Sun, G.; Li, Y. Organic Small Molecule Acceptor Materials for Organic Solar Cells. eScience 2023, 3, 100171. [Google Scholar] [CrossRef]
- Liu, H.; Dai, T.; Zhou, J.; Wang, H.; Guo, Q.; Guo, Q.; Zhou, E. The Development of A-DA’D-A Type Nonfullerene Acceptors Containing Non-Halogenated End Groups. Nano Res. 2023, 16, 12949–12961. [Google Scholar] [CrossRef]
- Li, Z.; Jiang, C.; Chen, X.; Song, G.; Wan, X.; Kan, B.; Duan, T.; Knyazeva, E.A.; Rakitin, O.A.; Chen, Y. Side-Chain Modification of Non-Fullerene Acceptors for Organic Solar Cells with Efficiency over 18%. J. Mater. Chem. C 2023, 11, 6920–6927. [Google Scholar] [CrossRef]
- Luo, Z.; Xu, T.; Zhang, C.; Yang, C. Side-Chain Engineering of Nonfullerene Small-Molecule Acceptors for Organic Solar Cells. Energy Environ. Sci. 2023, 16, 2732–2758. [Google Scholar] [CrossRef]
- Bello, K.A.; Cheng, L.; Griffiths, J. Near-Infrared Absorbing Methine Dyes Based on Dicyanovinyl Derivatives of Indane-1,3-Dione. J. Chem. Soc. Perkin Trans. 2 1987, 6, 815. [Google Scholar] [CrossRef]
- Yan, L.; Zhang, H.; An, Q.; Jiang, M.; Mahmood, A.; Jee, M.H.; Bai, H.; Zhi, H.; Zhang, S.; Woo, H.Y.; et al. Regioisomer-Free Difluoro-Monochloro Terminal-based Hexa-Halogenated Acceptor with Optimized Crystal Packing for Efficient Binary Organic Solar Cells. Angew. Chem. Int. Ed. 2022, 61, e202209454. [Google Scholar] [CrossRef] [PubMed]
- Yao, H.; Cui, Y.; Yu, R.; Gao, B.; Zhang, H.; Hou, J. Design, Synthesis, and Photovoltaic Characterization of a Small Molecular Acceptor with an Ultra-Narrow Band Gap. Angew. Chem. Int. Ed. 2017, 56, 3045–3049. [Google Scholar] [CrossRef] [PubMed]
- Planells, M.; Robertson, N. Naphthyl Derivatives Functionalised with Electron Acceptor Units—Synthesis, Electronic Characterisation and DFT Calculations. Eur. J. Org. Chem. 2012, 2012, 4947–4953. [Google Scholar] [CrossRef]
- Dai, S.; Zhao, F.; Zhang, Q.; Lau, T.-K.; Li, T.; Liu, K.; Ling, Q.; Wang, C.; Lu, X.; You, W.; et al. Fused Nonacyclic Electron Acceptors for Efficient Polymer Solar Cells. J. Am. Chem. Soc. 2017, 139, 1336–1343. [Google Scholar] [CrossRef] [PubMed]
- Wang, T.; An, R.; Cao, M.; Shu, H.; Wu, X.; Tong, H.; Wang, L. Nonfullerene Acceptors with Cyano-Modified Terminal Groups for Organic Solar Cells: Effect of Substitution Position on Photovoltaic Properties. Dye. Pigment. 2022, 206, 110661. [Google Scholar] [CrossRef]
- Bürckstümmer, H.; Tulyakova, E.V.; Deppisch, M.; Lenze, M.R.; Kronenberg, N.M.; Gsänger, M.; Stolte, M.; Meerholz, K.; Würthner, F. Efficient Solution-Processed Bulk Heterojunction Solar Cells by Antiparallel Supramolecular Arrangement of Dipolar Donor–Acceptor Dyes. Angew. Chem. Int. Ed. 2011, 50, 11628–11632. [Google Scholar] [CrossRef] [PubMed]
- Bui, T.-T.; Péralta, S.; Dumur, F. Synthesis and Optical Properties of a Series of Push-Pull Dyes Based on Pyrene as the Electron Donor. Molecules 2023, 28, 1489. [Google Scholar] [CrossRef] [PubMed]
- Enchev, V.; Angelova, S.; Rogojerov, M.; Monev, V.; Wawer, I.; Tkaczyk, M.; Kostova, K. Solid-State Tautomerism in 2-Carboxyindan-1,3-Dione. J. Phys. Chem. A 2011, 115, 2026–2034. [Google Scholar] [CrossRef] [PubMed]
- Angelova, S.; Enchev, V.; Kostova, K.; Rogojerov, M.; Ivanova, G. Theoretical and Spectroscopic Study of 2-Substituted Indan-1,3-Diones: A Coherent Picture of the Tautomeric Equilibrium. J. Phys. Chem. A 2007, 111, 9901–9913. [Google Scholar] [CrossRef] [PubMed]
- Chen, N.-Y.; Ren, L.-P.; Zou, M.-M.; Xu, Z.-P.; Shao, X.-S.; Xu, X.-Y.; Li, Z. Design, Synthesis and Insecticidal Activity of Spiro Heterocycle Containing Neonicotinoid Analogs. Chin. Chem. Lett. 2014, 25, 197–200. [Google Scholar] [CrossRef]
Disclaimer/Publisher’s Note: The statements, opinions and data contained in all publications are solely those of the individual author(s) and contributor(s) and not of MDPI and/or the editor(s). MDPI and/or the editor(s) disclaim responsibility for any injury to people or property resulting from any ideas, methods, instructions or products referred to in the content. |
© 2024 by the authors. Licensee MDPI, Basel, Switzerland. This article is an open access article distributed under the terms and conditions of the Creative Commons Attribution (CC BY) license (https://creativecommons.org/licenses/by/4.0/).