Abstract
This study aims to develop an efficient and green one-pot method for the synthesis of 6-en-1-yl furan-2-carboxylic acid heptyl ester. Initially, using furfural as the starting substrate, hept-6-en-1-yl furan-2-carboxylate was prepared using a one-pot method. This study developed a new experimental scheme for preparing ester compounds, using cuprous chloride as a catalyst and tert butyl hydrogen peroxide as an oxidant to prepare furoic acid. Without the need for intermediate treatment, the target product can be directly obtained from furfural by adding 7-bromo-1-heptene, TBAB, and potassium carbonate. This method effectively utilizes furfural as a platform chemical, demonstrating its potential for synthesizing high-value chemicals. The entire synthesis process is simple and efficient, following the principles of green chemistry.
1. Introduction
Humanity currently faces challenges including the increased demand for fuels and chemicals driven by global population growth and the depletion of fossil fuel resources [1,2]. In addressing these challenges, various forms of renewable energy resources have been explored to develop sustainable processes [3]. Biomass, a renewable non-fossil carbon resource, is considered an ideal alternative to conventional fossil resources due to its environmental benefits and abundant availability [4,5]. Specifically, various small-molecule furan compounds, such as furfural, 5-hydroxymethylfurfural (HMF), and 2,5-furandicarboxylic acid, can be derived from lignocellulosic biomass [6,7,8]. Furfural, in particular, serves as an excellent platform chemical, facilitating the catalytic conversion into a variety of chemicals and fuels [9,10]. Although the sequential conversion processes using platform chemicals are more complex and costly compared to single-step processes (e.g., gasification and pyrolysis), they represent the most promising approach for producing high-quality biofuels and valuable chemicals [11].
Ester compounds typically exhibit a high chemical stability, resisting decomposition or reaction [12]. In air, they demonstrate excellent antioxidant properties, making them difficult to oxidize and non-volatile [13]. Additionally, ester compounds usually have a good solubility in organic solvents. They are widely applied in various fields, commonly used in pharmaceutical formulations and active ingredients, as well as in the food, cosmetics, and industrial sectors [14,15]. As a bio-based platform compound, furfural can be converted into furoic acid, serving as an ideal precursor for synthesizing ester compounds [16]. Through nucleophilic substitution reactions, the furan ring can be preserved while replacing the carboxylic acid structure with an ester. This modification not only retains the excellent reactivity of the furan ring, addressing the instability and volatility of furfural, but also imparts the functional properties of ester compounds.
The one-pot synthesis method is a simple, efficient, and easy-to-operate approach, widely used in the synthesis of organic compounds [17]. By integrating multiple reaction steps into a single vessel, the one-pot method simplifies the process, reducing the need for intermediate separations and purifications, thereby increasing product yield [18]. Combining the catalytic conversion of biomass with the synthesis of high-value small molecules represents a significant step towards reducing dependence on fossil fuels and advancing sustainable development and green chemistry [19,20]. Based on this, this study designed a one-pot synthesis method for furan-2-carboxylate compounds. Initially, furfural was used as the starting material and converted into furoic acid in a mixed solvent of water and acetonitrile under the catalytic action of CuCl and t-BuOOH. In the second step, without isolating the intermediate, 7-bromo-1-heptene, potassium carbonate, and tetrabutylammonium bromide (TBAB) were directly added, resulting in the formation of hept-6-en-1-yl furan-2-carboxylate (Figure 1). This process efficiently utilizes furfural as a platform compound, converting it into more valuable chemicals.
Figure 1.
Structure of hept-6-en-1-yl furan-2-carboxylate.
2. Results and Discussion
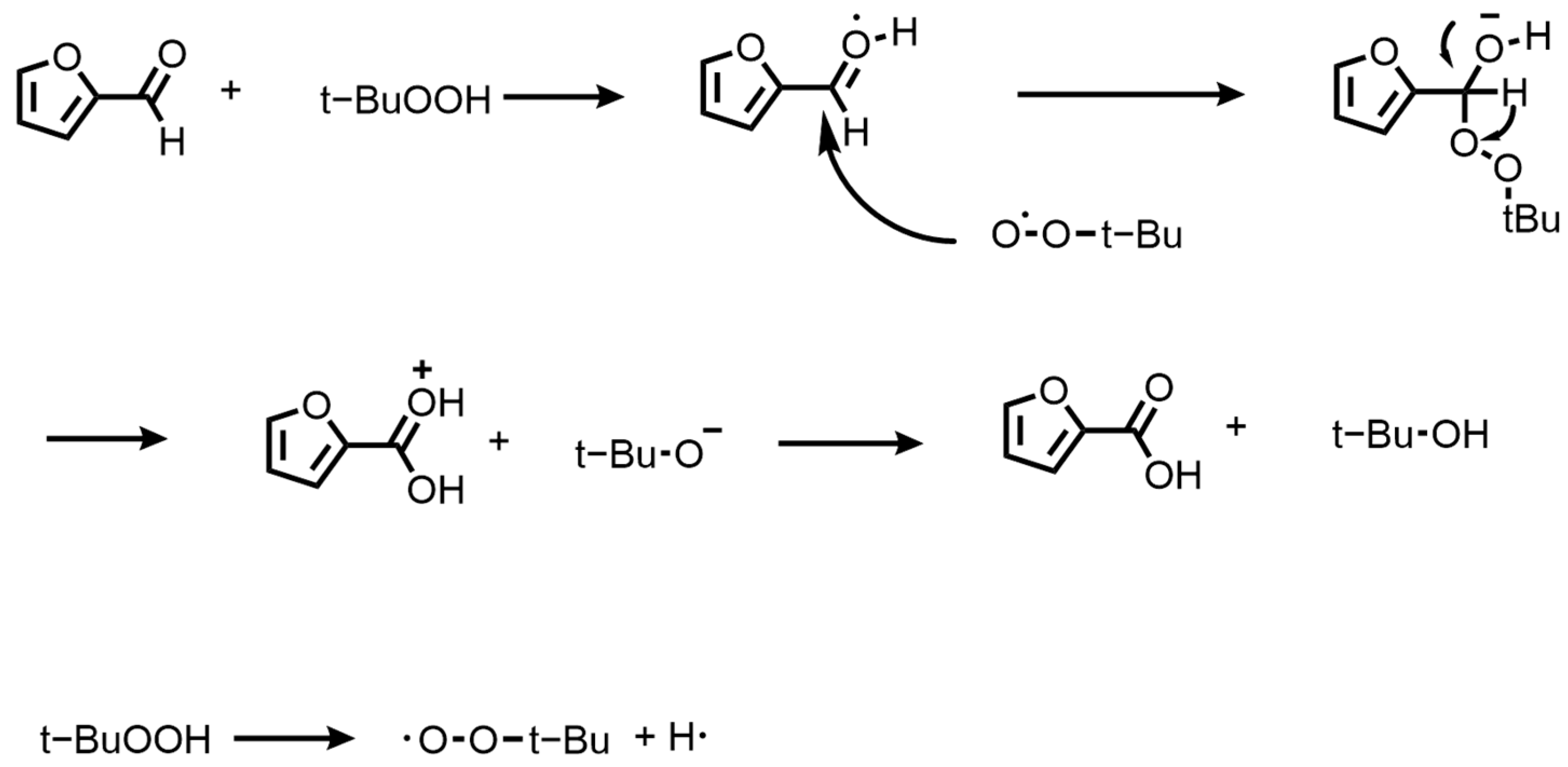
To synthesize the target compound hept-6-en-1-yl furan-2-carboxylate, our first step involved the catalytic conversion of furfural(1) to furoic acid(2), using CuCl as the catalyst in an acetonitrile/water solvent system (Scheme 1). This reaction is an oxidation reaction (Scheme 2). Initially, tert-butyl hydroperoxide undergoes homolytic cleavage under the catalysis of copper(I) chloride, generating tert-butoxy radicals and hydrogen radicals. Subsequently, the hydrogen radical adds to the carbonyl oxygen atom of the aldehyde, forming a carbonyl oxygen radical. In the reaction system, the tert-butoxy radical adds to the carbonyl carbon atom, forming a peroxide intermediate, which undergoes single-electron transfer to generate a negatively charged hydroxyl group. Thereafter, electron transfer from the hydroxyl oxygen forms a bond, leading to hydrogen rearrangement and the cleavage of the peroxide bond, producing furoic acid and tert-butoxy anion. Finally, proton transfer completes the formation of furoic acid and tert-butanol, concluding the oxidation reaction. The copper(I) chloride catalyst facilitates the homolytic cleavage of the peroxide bond in tert-butyl hydroperoxide, while the acetonitrile solvent polarizes the peroxide intermediate’s peroxide bond cleavage, providing a polar environment that promotes proton rearrangement and transfer, thereby accelerating the reaction.
Scheme 1.
Catalytic conversion of furfural to furoic acid. (1) Furfural. (2) Furoic acid.
Scheme 2.
The reaction mechanism of furfural to furoic acid.
In the second step, this reaction is a nucleophilic substitution reaction, following the SN2 nucleophilic substitution mechanism (Scheme 3). Initially, potassium carbonate acts as a base, reacting with furoic acid to form potassium furoate and bicarbonate anion. The negatively charged carboxylate oxygen acts as a nucleophile, attacking the carbon atom of the bromoalkane, while bromide leaves as a bromide ion, completing the SN2 substitution. This results in the formation of the furoic acid alkyl ester and potassium bromide. The role of TBAB is as follows: TBAB acts as a phase-transfer catalyst, polarizing the carbon-bromine bond, making it easier to cleave, and increasing the solubility of both substrates in the solvent. Potassium carbonate serves as a base, promoting the nucleophilic substitution reaction. Reflux heating increases the nucleophilicity of the substrate and accelerates the substitution reaction rate.
Scheme 3.
The reaction process of furoic acid to hept-6-en-1-yl furan-2-carboxylate.
The structural integrity of the target compound was confirmed by 1H and 13C NMR spectroscopy (Figures S1 and S2), ensuring a precise and accurate description of the synthetic pathway and molecular structure. According to the 1H NMR spectrum, the doublet signals at δ 7.56 (d, J = 0.9 Hz, 1H) and δ 7.16 (dd, J = 3.5, 0.7 Hz, 1H) likely correspond to the hydrogen atoms on the furan ring. The J values indicate weak coupling between these hydrogen atoms, showing their different positions on the furan ring. The signal at δ 6.49 (dd, J = 3.5, 1.7 Hz, 1H) also originates from the hydrogen atom on the furan ring, with J values indicating coupling with two adjacent hydrogen atoms, consistent with the characteristics of the furan ring. The signal at δ 5.79 (ddt, J = 16.9, 10.2, 6.7 Hz, 1H) may come from the hydrogen atom adjacent to the olefinic portion. The complex coupling pattern indicates that this hydrogen atom is coupled with multiple neighboring hydrogen atoms. The signals at δ 4.99 (dd, J = 17.1, 1.9 Hz, 1H) and δ 4.94 (dd, J = 10.7, 1.4 Hz, 1H) likely represent the hydrogen atoms near the olefinic portion, showing complex coupling patterns. The singlet signal at δ 4.29 (t, J = 6.8 Hz, 2H) represents two hydrogen atoms in the same chemical environment, likely those on the alkyl chain. The signals at δ 2.06 (t, J = 6.7 Hz, 2H) and δ 1.74 (q, J = 7.0 Hz, 2H) represent hydrogen atoms in different chemical environments, with the former possibly being the hydrogen atoms connecting the alkyl chain to the olefinic portion and the latter being the hydrogen atoms in the middle of the alkyl chain. The signal at δ 1.43 (dt, J = 6.8, 2.7 Hz, 4H) represents the hydrogen atoms at the end of the alkyl chain. According to the 13C NMR spectrum, the signals at δ 158.82, 146.17, 144.84, and 138.65 indicate the presence of carbon atoms influenced by oxygen atoms, likely belonging to the furan ring and olefinic portion. The signals at δ 117.69, 114.51, and 111.76 likely represent the carbon atoms of the furan ring and olefinic portion, with higher chemical shift values due to interactions with double bonds or oxygen atoms. The signal at δ 64.98 likely corresponds to the carbon atom connected to the hydroxyl group (-CH2OH). The signals at δ 33.57, 28.49 (d, J = 8.2 Hz), and 25.35 represent the carbon atoms in the middle and end of the alkyl chain, indicating a typical saturated hydrocarbon environment. The NMR spectra analysis confirmed the basic structure of hept-6-en-1-yl furan-2-carboxylate. These data accurately describe the synthetic pathway and molecular structure, ensuring the purity and correctness of the product.
3. Materials and Methods
3.1. General
All chemical compounds were purchased directly from Sinopharm Chemical Reagent Co., Ltd. (Beijing, China) without purification. All reaction mixtures and column eluents were monitored by TLC using commercial glass-backed thin layer chromatography (TLC) plates (MACKLIN SilicaGelPlates 100 × 200 mm GF254, Shanghai, China). The plates were observed under UV light at 254 nm, with triple-use UV analyzer (ZF-7, Shanghai Hongyi Instrument Equipment Co., Ltd., Shanghai, China). 1H and 13C NMR spectra were recorded on a JEOL JNMECP600 (JEOL, Showa City, Tokyo) spectrometer in CDCl3. 1H and 13C NMR spectra were calibrated according to the residual signal of CDCl3 (δ = 7.26 ppm) and the carbon atom signal of CDCl3 (δ = 77.0 ppm). HMQC NMR spectra were recorded on an AVANCE NEO 600 (Bruker, Billerica, MA, USA). MS analysis was performed on a maXis Q-TOF (Bruker, Billerica, MA, USA) high-resolution mass spectrometer (HRMS). IR spectra were recorded on a Nicolet iS50 FT-IR spectrometer (Thermo Scientific, Waltham, MA, USA). All reagents are used directly after purchase from Aladdin and Sinopharm without purification.
3.2. Synthesis of Hept-6-en-1-yl Furan-2-carboxylate
Then, 0.05 mol of furfural was added to a flask, followed by the addition of an equimolar amount of 70% aqueous tert-butyl hydroperoxide solution and 5 mol% copper(I) chloride. Additionally, 20 mL of acetonitrile was added as the solvent. After the reaction mixture was stirred at room temperature for 5 h, 0.075 mol of 7-bromo-1-heptene (3), 0.01 mol of potassium carbonate, and 0.1 g of tetrabutylammonium bromide were added (Scheme 4). The progress of the reaction was monitored by thin-layer chromatography (TLC). After the reaction was complete, the acetonitrile was removed by rotary evaporation, and the residual reaction mixture was dissolved in ethyl acetate. Then, we washed the solution with water and alkali sequentially. Finally, the target compound, hept-6-en-1-yl furan-2-carboxylate (4), was obtained as a colorless liquid in a yield of 52.6% after purification by column chromatography (ethyl acetate: petroleum ether 1:50).
Scheme 4.
Synthesis of hept-6-en-1-yl furan-2-carboxylate. (3) 7-bromo-1-butene.
Hept-6-en-1-yl Furan-2-carboxylate: 1H NMR (500 MHz, CDCl3) δ 7.56 (d, J = 0.9 Hz, 1H), 7.16 (dd, J = 3.5, 0.7 Hz, 1H), 6.49 (dd, J = 3.5, 1.7 Hz, 1H), 5.79 (ddt, J = 16.9, 10.2, 6.7 Hz, 1H), 4.99 (dd, J = 17.1, 1.9 Hz, 1H), 4.94 (dd, J = 10.7, 1.4 Hz, 1H), 4.29 (t, J = 6.8 Hz, 2H), 2.06 (t, J = 6.7 Hz, 2H), 1.74 (q, J = 7.0 Hz, 2H), 1.43 (dt, i = 6.8, 2.7 Hz, 4H).13C NMR (126 MHz, CDCl3) δ 158.82, 146.17, 144.84, 138.65, 117.69, 114.51, 111.76, 64.98, 33.57, 28.49 (d, J = 8.2 Hz), 25.35. HRMS (ESI): C12H16O3[M + H]+ calcd for 209.117221, found 209.117118. (Figures S1–S3). IR vmax (cm−1): 3141.75, 3076.32, 2932.37, 2858.83, 1726.86 (C=O), 1640.79, 1578.49, 1476.89, 1398.02, 1297.05, 1230.64, 1177.75, 1120.11, 1076.76, 1013.00, 955.63, 912.29, 885.44, 763.47, 615.65, 597.50 (Figure S5).
4. Conclusions
In conclusion, we designed a one-pot synthesis method for hept-6-en-1-yl furan-2-carboxylate, which is greener and more efficient. Using furfural as the starting material, it was catalytically converted to furoic acid. Without any intermediate treatment, 7-bromo-1-heptene was added to react and form hept-6-en-1-yl furan-2-carboxylate. This synthetic method opens up new possibilities for the development and utilization of furfural as a platform compound.
Supplementary Materials
Figure S1: 1H NMR spectrum of hept-6-en-1-yl furan-2-carboxylate. Figure S2: 13C NMR spectrum of hept-6-en-1-yl furan-2-carboxylate. Figure S3: hept-6-en-1-yl furan-2-carboxylate mass spectrum. Figure S4: hept-6-en-1-yl furan-2-carboxylate HMQC nuclear magnetic carbon spectrum. Figure S5: IR of hept-6-en-1-yl furan-2-carboxylate.
Author Contributions
Z.W. is a Master’s student who synthesized the target compound and wrote the Experimental Methods and Introduction section; L.S. has a deep background in organic synthesis and conceived the experimental plan; Y.Q., an expert in organic synthesis, conducted the final review and revision of the article, and revised the Introduction, Results, and Discussion sections of the article from the scientific aspect. All authors have read and agreed to the published version of the manuscript.
Funding
This work was funded by the National Natural Science Foundation of China (42076126), Shandong Key R&D Plan, Major Scientific and Technological Innovation Project (2022CXGC020413), Shandong Provincial Natural Science Foundation (ZR2020MD072) (2023TSGC0749), and Liaoning Provincial Natural Science Foundation: Joint Open Fund of the State Key Laboratory for the Creation and Development of New Pesticides (2022-KF-25-03).
Data Availability Statement
The spectroscopic data presented in this study are available as Supplementary Materials.
Conflicts of Interest
The authors declare no conflicts of interest.
References
- Balatsky, A.V.; Balatsky, G.I.; Borysov, S.S. Resource demand growth and sustainability due to increased world consumption. Sustainability 2015, 7, 3430–3440. [Google Scholar] [CrossRef]
- Steinfeld, J.I. Energy futures and green chemistry: Competing for carbon. Sustain. Sci. 2006, 1, 123–126. [Google Scholar] [CrossRef]
- Zhironkin, S.; Rybar, R. Sustainable development processes for renewable energy technology. Processes 2022, 10, 1363. [Google Scholar] [CrossRef]
- Lewandowski, W.M.; Ryms, M.; Kosakowski, W. Thermal biomass conversion: A review. Processes 2020, 8, 516. [Google Scholar] [CrossRef]
- Perea-Moreno, M.-A.; Samerón-Manzano, E.; Perea-Moreno, A.-J. Biomass as renewable energy: Worldwide research trends. Sustainability 2019, 11, 863. [Google Scholar] [CrossRef]
- Liu, X.; Yu, D.; Luo, H.; Li, C.; Li, H. Efficient reaction systems for lignocellulosic biomass conversion to furan derivatives: A minireview. Polymers 2022, 14, 3671. [Google Scholar] [CrossRef] [PubMed]
- Wang, J.; Liu, X.; Hu, B.; Lu, G.; Wang, Y. Efficient catalytic conversion of lignocellulosic biomass into renewable liquid biofuels via furan derivatives. RSC Adv. 2014, 4, 31101–31107. [Google Scholar] [CrossRef]
- Tong, X.; Ma, Y.; Li, Y. Biomass into chemicals: Conversion of sugars to furan derivatives by catalytic processes. Appl. Catal. A Gen. 2010, 385, 1–13. [Google Scholar] [CrossRef]
- Khemthong, P.; Yimsukanan, C.; Narkkun, T.; Srifa, A.; Witoon, T.; Pongchaiphol, S.; Kiatphuengporn, S.; Faungnawakij, K. Advances in catalytic production of value-added biochemicals and biofuels via furfural platform derived lignocellulosic biomass. Biomass Bioenergy 2021, 148, 106033. [Google Scholar] [CrossRef]
- Li, X.; Jia, P.; Wang, T. Furfural: A promising platform compound for sustainable production of C4 and C5 chemicals. ACS Catal. 2016, 6, 7621–7640. [Google Scholar] [CrossRef]
- Adeoye, A.O.; Lawal, O.S.; Quadri, R.O.; Malomo, D.; Aliyu, M.T.; Dang, G.E.; Emojevu, E.O.; Maikato, M.J.; Yahaya, M.G.; Omonije, O.O. Sustainable Energy via Thermochemical and Biochemical Conversion of Biomass Wastes for Biofuel Production. In Transportation Energy and Dynamics; Springer: Berlin/Heidelberg, Germany, 2023; pp. 245–306. [Google Scholar]
- Lee, K.S.; Park, S.Y.; Moon, H.C.; Kim, J.K. Thermal stability of ester linkage in the presence of 1, 2, 3-Triazole moiety generated by click reaction. J. Polym. Sci. Part A Polym. Chem. 2017, 55, 427–436. [Google Scholar] [CrossRef]
- Micillo, R.; Iacomino, M.; Perfetti, M.; Panzella, L.; Koike, K.; D’Errico, G.; d’Ischia, M.; Napolitano, A. Unexpected impact of esterification on the antioxidant activity and (photo) stability of a eumelanin from 5, 6-dihydroxyindole-2-carboxylic acid. Pigment Cell Melanoma Res. 2018, 31, 475–483. [Google Scholar] [CrossRef] [PubMed]
- Barel, A.O.; Paye, M.; Maibach, H.I. Handbook of Cosmetic Science and Technology; CRC Press: Boca Raton, FL, USA, 2014. [Google Scholar]
- Vessally, E.; Saeidian, H.; Hosseinian, A.; Edjlali, L.; Bekhradnia, A. A review on synthetic applications of oxime esters. Curr. Org. Chem. 2017, 21, 249–271. [Google Scholar] [CrossRef]
- He, W.; He, Y.; Ye, J. Efficient Synthesis of Biobased Furoic Acid from Corncob via Chemoenzymatic Approach. Processes 2022, 10, 677. [Google Scholar] [CrossRef]
- Zulueta, M.M.L.; Janreddy, D.; Hung, S.C. One-pot methods for the protection and assembly of sugars. Isr. J. Chem. 2015, 55, 347–359. [Google Scholar] [CrossRef]
- Zeoly, L.A.; Acconcia, L.V.; Rodrigues, M.T.; Santos, H.; Cormanich, R.A.; Paniagua, J.C.; Moyano, A.; Coelho, F. One-pot organocatalyzed synthesis of tricyclic indolizines. Org. Biomol. Chem. 2023, 21, 3567–3581. [Google Scholar] [CrossRef] [PubMed]
- Dumesic, J.A. Fundamental Studies of Bifunctional Catalysts for Tandem Reactions; University of Wisconsin: Madison, WI, USA, 2023. [Google Scholar]
- Prabhu, P.; Wan, Y.; Lee, J.-M. Electrochemical conversion of biomass derived products into high-value chemicals. Matter 2020, 3, 1162–1177. [Google Scholar] [CrossRef]
Disclaimer/Publisher’s Note: The statements, opinions and data contained in all publications are solely those of the individual author(s) and contributor(s) and not of MDPI and/or the editor(s). MDPI and/or the editor(s) disclaim responsibility for any injury to people or property resulting from any ideas, methods, instructions or products referred to in the content. |
© 2024 by the authors. Licensee MDPI, Basel, Switzerland. This article is an open access article distributed under the terms and conditions of the Creative Commons Attribution (CC BY) license (https://creativecommons.org/licenses/by/4.0/).




