Synthesis and Cholinesterase Inhibitory Potency of 2,3-Indolo-oleanolic Acid and Some Related Derivatives
Abstract
:1. Introduction
2. Results and Discussion
3. Materials and Methods
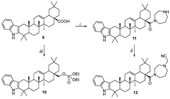
3.1. General Synthesis of Compounds 8 and 12
3.1.1. N-[3β-Acetoxy-olean-12(13)-en-(homopiperazine-N-cyanomethyl)]-28-amide (8)
3.1.2. N-[3,2b]-Indolo-olean-12(13)-en-(homopiperazine-N-cyanomethyl)-28-amide (12)
3.2. [3,2b]-Indolo-olean-12(13)-En-28-diethoxyphosphoryl (10)
3.3. Biological Assay
In Vitro Cholinesterase Inhibition Assay
4. Conclusions
Supplementary Materials
Author Contributions
Funding
Data Availability Statement
Acknowledgments
Conflicts of Interest
References
- Moreta, M.P.; Burgos-Alonso, N.; Torrecilla, M.; Marco-Contelles, J.; Bruzos-Cidón, C. Efficacy of Acetylcholinesterase Inhibitors on Cognitive Function in Alzheimer’s Disease. Review of Reviews. Biomedicines 2021, 9, 1689. [Google Scholar] [CrossRef] [PubMed]
- Davies, P.; Maloney, A.J. Selective loss of central cholinergic neurons in Alzheimer’s disease. Lancet 1976, 2, 1403. [Google Scholar] [CrossRef]
- Birks, J. Cholinesterase inhibitors for Alzheimer’s disease. Cochrane Database Syst. Rev. 2006, 2006, CD005593. [Google Scholar] [CrossRef] [PubMed]
- Yang, Y.H.; Dai, S.Y.; Deng, F.H.; Peng, L.H.; Li, C.; Pei, Y.H. Recent advances in medicinal chemistry of oleanolic acid derivatives. Phytochemistry 2022, 203, 113397. [Google Scholar] [CrossRef]
- Żwawiak, J.; Pawełczyk, A.; Olender, D.; Zaprutko, L. Structure and Activity of Pentacyclic Triterpenes Codrugs. A Review. Mini Rev. Med. Chem. 2021, 21, 1509–1526. [Google Scholar] [CrossRef] [PubMed]
- Özdemir, Z.; Wimmer, Z. Selected plant triterpenoids and their amide derivatives in cancer treatment: A review. Phytochemistry 2022, 203, 113340. [Google Scholar] [CrossRef]
- Oliveira-Costa, J.F.; Meira, C.S.; Neves, M.V.G.D.; Dos Reis, B.P.Z.C.; Soares, M.B.P. Anti-Inflammatory Activities of Betulinic Acid: A Review. Front. Pharmacol. 2022, 13, 883857. [Google Scholar] [CrossRef]
- Nistor, G.; Trandafirescu, C.; Prodea, A.; Milan, A.; Cristea, A.; Ghiulai, R.; Racoviceanu, R.; Mioc, A.; Mioc, M.; Ivan, V.; et al. Semisynthetic Derivatives of Pentacyclic Triterpenes Bearing Heterocyclic Moieties with Therapeutic Potential. Molecules 2022, 27, 6552. [Google Scholar] [CrossRef]
- Gao, C.X.; Tang, C.H.; Wu, T.J.; Hu, Y.; Peng, Y.L.; Liu, M.L.; Liu, Q.W.; Chen, H.F.; Yang, Z.H.; Zheng, X. Anticancer activity of oleanolic acid and its derivatives modified at A-ring and C-28 position. J. Asian Nat. Prod. Res. 2023, 25, 581–594. [Google Scholar] [CrossRef]
- Khusnutdinova, E.F.; Smirnova, I.E.; Kazakova, O.B.; Petrova, A.V.; Ha, N.T.; Viet, D.Q. Synthesis and evaluation of 2,3-indolotriterpenoids as new α-glucosidase inhibitors. Med. Chem. Res. 2017, 26, 2737–2742. [Google Scholar] [CrossRef]
- Khusnutdinova, E.F.; Petrova, A.V.; Thu, H.N.T.; Tu, A.L.T.; Thanh, T.N.; Thi, C.B.; Babkov, D.A.; Kazakova, O.B. Structural modifications of 2,3-indolobetulinic acid: Design and synthesis of highly potent α-glucosidase inhibitors. Bioorg. Chem. 2019, 88, 102957. [Google Scholar] [CrossRef] [PubMed]
- Bhandari, P.; Patel, N.K.; Gangwal, R.P.; Sangamwar, A.T.; Bhutani, K.K. Oleanolic acid analogs as NO, TNF-α and IL-1β inhibitors: Synthesis, biological evaluation and docking studies. Bioorg. Med. Chem. Lett. 2014, 24, 4114–4119. [Google Scholar] [CrossRef] [PubMed]
- De-la-Cruz-Martínez, L.; Duran-Becerra, C.; González-Andrade, M.; Páez-Franco, J.C.; Germán-Acacio, J.M.; Espinosa-Chávez, J.; Torres-Valencia, J.M.; Pérez-Villanueva, J.; Palacios-Espinosa, J.F.; Soria-Arteche, O.; et al. Indole- and Pyrazole-Glycyrrhetinic Acid Derivatives as PTP1B Inhibitors: Synthesis, In Vitro and In Silico Studies. Molecules 2021, 26, 4375. [Google Scholar] [CrossRef]
- Loesche, A.; Kahnt, M.; Serbian, I.; Brandt, W.; Csuk, R. Triterpene-Based Carboxamides Act as Good Inhibitors of Butyrylcholinesterase. Molecules 2019, 24, 948. [Google Scholar] [CrossRef] [PubMed]
- Heise, N.; Friedrich, S.; Temml, V.; Schuster, D.; Siewert, B.; Csuk, R. N-methylated diazabicyclo[3.2.2]nonane substituted triterpenoic acids are excellent, hyperbolic and selective inhibitors for butyrylcholinesterase. Eur. J. Med. Chem. 2022, 227, 113947. [Google Scholar] [CrossRef]
- Schwarz, S.; Lucas, S.D.; Sommerwerk, S.; Csuk, R. Amino derivatives of glycyrrhetinic acid as potential inhibitors of cholinesterases. Bioorg. Med. Chem. 2014, 22, 3370–3378. [Google Scholar] [CrossRef]
- Heller, L.; Schwarz, S.; Perl, V.; Köwitsch, A.; Siewert, B.; Csuk, R. Incorporation of a Michael acceptor enhances the antitumor activity of triterpenoic acids. Eur. J. Med. Chem. 2015, 101, 391–399. [Google Scholar] [CrossRef]
- Kazakova, O.; Rubanik, L.; Smirnova, I.; Poleschuk, N.; Petrova, A.; Kapustsina, Y.; Baikova, I.; Tret’yakova, E.; Khusnutdinova, E. Synthesis and in vitro activity of oleanolic acid derivatives against Chlamydia trachomatis and Staphylococcus aureus. Med. Chem. Res. 2021, 30, 1408–1418. [Google Scholar] [CrossRef]
- Smirnova, I.; Petrova, A.; Giniyatullina, G.; Smirnova, A.; Volobueva, A.; Pavlyukova, J.; Zarubaev, V.; Loc, T.V.; Tran Thi Phoung, T.; Hau, V.T.B.; et al. Synthesis, Anti-Influenza H1N1 and Anti-Dengue Activity of A-Ring Modified Oleanonic Acid Polyamine Derivatives. Molecules 2022, 27, 8499. [Google Scholar] [CrossRef]
- Ellman, G.L.; Courtney, K.D.; Andres, V., Jr.; Feather-Stone, R.M. A new and rapid colorimetric determination of acetylcholinesterase activity. Biochem. Pharmacol. 1961, 7, 88–95. [Google Scholar] [CrossRef]
- Qiu, W.W.; Shen, Q.; Yang, F.; Wang, B.; Zou, H.; Li, J.Y.; Li, J.; Tang, J. Synthesis and biological evaluation of heterocyclic ring-substituted maslinic acid derivatives as novel inhibitors of protein tyrosine phosphatase 1B. Bioorg. Med. Chem. Lett. 2009, 19, 6618–6622. [Google Scholar] [CrossRef] [PubMed]
- Finlay, H.J.; Honda, T.; Gribble, G.W. Synthesis of novel [3,2-b]indole fused oleanolic acids as potential inhibitors of cell proliferation. Arkivoc 2002, XII, 38–40. [Google Scholar] [CrossRef]



| Cmpd | AChE | BChE |
|---|---|---|
| IC50, µM 1 | ||
| 1 | 17.9 ± 1.5 | ND |
| 2 | ND 2 | ND |
| 3 | 252 ± 76 | 38.8 ± 6.7 |
| 4 | 27.4 ± 5.2 | 168 ± 115 |
| 5 | 156 ± 26 | ND |
| 6 | 17.7 ± 1.1 | 168 ± 27 |
| 7 | 27.7 ± 6.0 | ND |
| 8 | 30.6 ± 1.4 | ND |
| 9 | 0.78 ± 0.09 | 94.1 ± 14.0 |
| 10 | 35.9 ± 4.9 | 64.3 ± 4.4 |
| 11 | 107 ± 44 | 193 ± 37 |
| 12 | 12.8 ± 2.1 | 233 ± 37 |
| Donepezil | 0.01 ± 0.0001 | 5.26 ± 0.27 |
Disclaimer/Publisher’s Note: The statements, opinions and data contained in all publications are solely those of the individual author(s) and contributor(s) and not of MDPI and/or the editor(s). MDPI and/or the editor(s) disclaim responsibility for any injury to people or property resulting from any ideas, methods, instructions or products referred to in the content. |
© 2023 by the authors. Licensee MDPI, Basel, Switzerland. This article is an open access article distributed under the terms and conditions of the Creative Commons Attribution (CC BY) license (https://creativecommons.org/licenses/by/4.0/).
Share and Cite
Petrova, A.V.; Zueva, I.V.; Petrov, K.A. Synthesis and Cholinesterase Inhibitory Potency of 2,3-Indolo-oleanolic Acid and Some Related Derivatives. Molbank 2023, 2023, M1739. https://doi.org/10.3390/M1739
Petrova AV, Zueva IV, Petrov KA. Synthesis and Cholinesterase Inhibitory Potency of 2,3-Indolo-oleanolic Acid and Some Related Derivatives. Molbank. 2023; 2023(4):M1739. https://doi.org/10.3390/M1739
Chicago/Turabian StylePetrova, Anastasiya V., Irina V. Zueva, and Konstantin A. Petrov. 2023. "Synthesis and Cholinesterase Inhibitory Potency of 2,3-Indolo-oleanolic Acid and Some Related Derivatives" Molbank 2023, no. 4: M1739. https://doi.org/10.3390/M1739
APA StylePetrova, A. V., Zueva, I. V., & Petrov, K. A. (2023). Synthesis and Cholinesterase Inhibitory Potency of 2,3-Indolo-oleanolic Acid and Some Related Derivatives. Molbank, 2023(4), M1739. https://doi.org/10.3390/M1739

