4,4′-(((Perfluoropropane-2,2-diyl)bis(4,1-phenylene))bis(oxy))-bis(2,3,5,6-tetrafluoropyridine)
Abstract
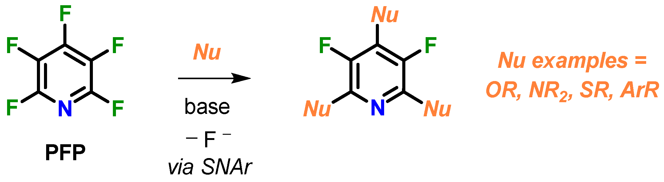
1. Introduction
2. Results and Discussion
3. Materials and Methods
3.1. Synthesis of 4,4′-(((perfluoropropane-2,2-diyl)bis(4,1-phenylene))bis(oxy))-bis(2,3,5,6-tetrafluoropyridine) (1)
3.2. Single-Crystal XRD Determination
Supplementary Materials
Author Contributions
Funding
Data Availability Statement
Conflicts of Interest
References
- Neumann, C.N.; Hooker, J.M.; Ritter, T. Concerted Nucleophilic Aromatic Substitution with 19F− and 18F−. Nature 2016, 534, 369–373. [Google Scholar] [CrossRef] [PubMed]
- Sandford, G. Perfluoroheteroaromatic Chemistry: Multifunctional Systems from Perfluorinated Heterocycles by Nucleophilic Aromatic Substitution Processes. In Halogenated Heterocycles: Synthesis, Application and Environment; Iskra, J., Ed.; Springer: Berlin/Heidelberg, Germany, 2012; pp. 1–31. ISBN 978-3-642-43950-6. [Google Scholar]
- Fuhrer, T.; Houck, M.; Corley, C.A.; Iacono, S.T. Theoretical Explanation of Reaction Site Selectivity in the Addition of a Phenoxy Group to Perfluoropyridine. J. Phys. Chem. A 2019, 123, 9450–9455. [Google Scholar] [CrossRef] [PubMed]
- Brittain, W.D.G.; Cobb, S.L. Tetrafluoropyridyl (TFP): A General Phenol Protecting Group Readily Cleaved under Mild Conditions. Org. Biomol. Chem. 2019, 17, 2110–2115. [Google Scholar] [CrossRef] [PubMed]
- Murray, C.B.; Sandford, G.; Korn, S.R.; Yufit, D.S.; Howard, J.A.K. New fluoride ion reagent from pentafluoropyridine. J. Fluor. Chem. 2005, 126, 569–574. [Google Scholar] [CrossRef]
- Brittain, W.G.D.; Cobb, S.L. Carboxylic Acid Deoxyfluorination and One-Pot Amide Bond Formation Using Pentafluoropyridine (PFP). Org. Lett. 2021, 23, 5793–5798. [Google Scholar] [CrossRef] [PubMed]
- Senaweera, S.M.; Singh, A.; Weaver, J.D. Photocatalytic Hydrodefluorination: Facile Access to Partially Fluorinated Aromatics. J. Am. Chem. Soc. 2014, 136, 3002–3005. [Google Scholar] [CrossRef] [PubMed]
- Froese, R.D.J.; Whiteker, G.T.; Peterson, T.H.; Arriola, D.J.; Renga, J.M.; Shearer, J.W. Computational and Experimental Studies of Regioselective SNAr Halide Exchange (Halex) Reactions of Pentachloropyridine. J. Org. Chem. 2016, 81, 10672–10682. [Google Scholar] [CrossRef] [PubMed]
- Gautam, R.; Geniza, I.; Iacono, S.T.; Friesen, C.M.; Jennings, A.R. Perfluoropyridine: Discovery, Chemistry, and Applications in Polymers and Material Science. Molecules 2022, 27, 1616. [Google Scholar] [CrossRef] [PubMed]
- Freisen, C.M.; Newton, J.; Hardera, J.; Iacono, S.T. Hydrofluoroethers (HFEs): A History of Synthesis. In Perfluoroalkyl Substances: Synthesis, Applications, Challenges and Regulations; Améduri, B., Ed.; RSC Publishing: Cambridge, UK, 2022; pp. 166–356. [Google Scholar]
- Freisen, C.M.; Kelly, A.R.; Iacono, S.T. Shaken Not Stirred: Perfluoropyridine Polyalkylether Prepolymers. Macromolecules 2022, 55, 10970–10979. [Google Scholar] [CrossRef]



Disclaimer/Publisher’s Note: The statements, opinions and data contained in all publications are solely those of the individual author(s) and contributor(s) and not of MDPI and/or the editor(s). MDPI and/or the editor(s) disclaim responsibility for any injury to people or property resulting from any ideas, methods, instructions or products referred to in the content. |
© 2023 by the authors. Licensee MDPI, Basel, Switzerland. This article is an open access article distributed under the terms and conditions of the Creative Commons Attribution (CC BY) license (https://creativecommons.org/licenses/by/4.0/).
Share and Cite
Thompson, K.D.; Weeks, N.J.; Balaich, G.J.; Iacono, S.T. 4,4′-(((Perfluoropropane-2,2-diyl)bis(4,1-phenylene))bis(oxy))-bis(2,3,5,6-tetrafluoropyridine). Molbank 2023, 2023, M1644. https://doi.org/10.3390/M1644
Thompson KD, Weeks NJ, Balaich GJ, Iacono ST. 4,4′-(((Perfluoropropane-2,2-diyl)bis(4,1-phenylene))bis(oxy))-bis(2,3,5,6-tetrafluoropyridine). Molbank. 2023; 2023(2):M1644. https://doi.org/10.3390/M1644
Chicago/Turabian StyleThompson, Katelyn D., Nathan J. Weeks, Gary J. Balaich, and Scott T. Iacono. 2023. "4,4′-(((Perfluoropropane-2,2-diyl)bis(4,1-phenylene))bis(oxy))-bis(2,3,5,6-tetrafluoropyridine)" Molbank 2023, no. 2: M1644. https://doi.org/10.3390/M1644
APA StyleThompson, K. D., Weeks, N. J., Balaich, G. J., & Iacono, S. T. (2023). 4,4′-(((Perfluoropropane-2,2-diyl)bis(4,1-phenylene))bis(oxy))-bis(2,3,5,6-tetrafluoropyridine). Molbank, 2023(2), M1644. https://doi.org/10.3390/M1644

