Methyl 5-Imino-2-methyl-1,10a-dihydro-5H-chromeno[2,3-b]pyridine-3-carboxylate
Abstract
:1. Introduction
2. Results
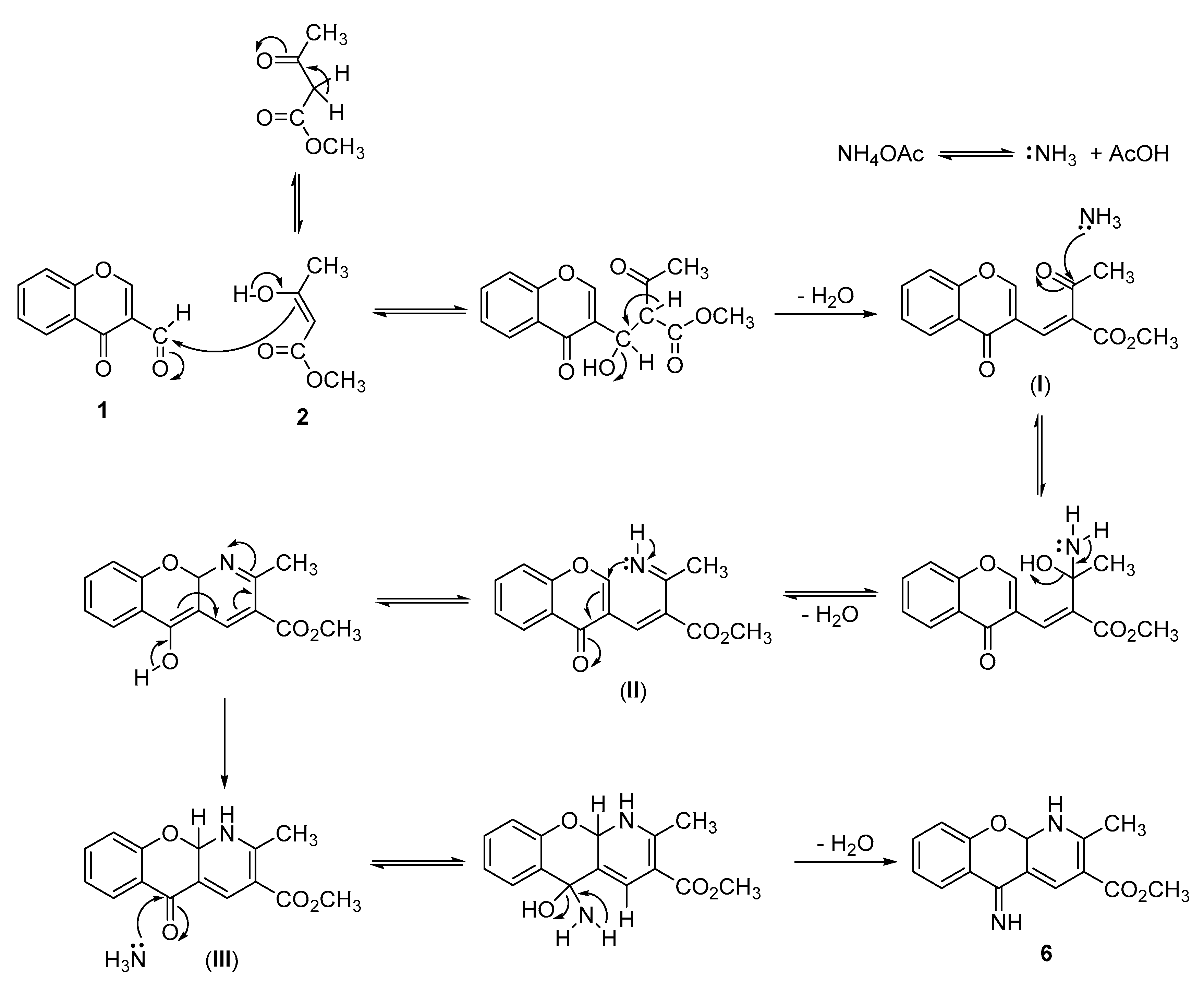
3. Discussion
4. Materials and Methods
Methyl 5-Imino-2-methyl-1,10a-dihydro-5H-chromeno[2,3-b]pyridine-3-carboxylate
5. Conclusions
Supplementary Materials
Author Contributions
Funding
Data Availability Statement
Conflicts of Interest
References
- Armstrong, R.W.; Combs, A.P.; Tempest, P.A.; Brown, S.D.; Keating, T.A. Multiple-Component Condensation Strategies for Combinatorial Library Synthesis. Acc. Chem. Res. 1996, 29, 123–131. [Google Scholar] [CrossRef]
- Domling, A.; Ugi, I. Multicomponent Reactions with Isocyanides. Angew. Chem. Int. Ed. 2000, 39, 3168. [Google Scholar] [CrossRef]
- Cioc, R.C.; Ruijter, E.; Orru, R.V.A. Multicomponent reactions: Advanced tools for sustainable organic synthesis. Green Chem. 2014, 16, 2958–2975. [Google Scholar] [CrossRef]
- Dömling, A.; Wang, W.; Wang, K. Chemistry and Biology of Multicomponent Reactions. Chem. Rev. 2012, 112, 3083–3135. [Google Scholar] [CrossRef]
- Hantzsch, A. Ueber die Synthese pyridinartiger Verbindungen aus Acetessigäther und Aldehydammoniak. Justus Liebigs Ann. Chem. 1892, 215, 1–81. [Google Scholar] [CrossRef]
- Abdella, A.M.; Abdelmoniem, A.M.; Abdelhamid, I.A.; Elwahy, A.H.M. Synthesis of heterocyclic compounds via Michael and Hantzsch reactions. J. Heterocycl. Chem. 2020, 57, 1476–1523. [Google Scholar] [CrossRef]
- Malek, R.; Maj, M.; Wnorowski, A.; Jóźwiak, K.; Martin, H.; Iriepa, I.; Moraleda, I.; Fakher Chabchoub, F.; Marco-Contelles, J.; Ismaili, L. Multi-target 1,4-dihydropyridines showing calcium channel blockade and antioxidant capacity for Alzheimer’s disease therapy. Bioorg. Chem. 2019, 91, 103205. [Google Scholar] [CrossRef]
- Khedkar, S.A.; Auti, P.B. 1, 4-Dihydropyridines: A class of pharmacologically important molecules. Mini Rev. Med. Chem. 2014, 14, 282–290. [Google Scholar] [CrossRef] [PubMed]
- Sharma, S.K.; Kumar, S.; Chand, K.; Kathuria, A.; Gupta, A.; Jain, R. An update on natural occurrence and biological activity of chromones. Curr. Med. Chem. 2011, 18, 3825–3852. [Google Scholar] [CrossRef]
- Semwal, R.B.; Semwal, D.K.; Combrinck, S.; Viljoen, A. Health benefits of chromones: Common ingredients of our daily diet. Phytochem. Rev. 2020, 19, 761–785. [Google Scholar] [CrossRef]
- Sanchez, L.M.; Sathic, A.G.; Jios, J.L.; Baronetti, G.T.; Thomas, H.J.; Romanelli, G.P. Solvent-free synthesis of functionalized pyridine derivatives using Wells-Dawson heteropolyacid as catalyst. Tetrahedron Lett. 2011, 52, 4412–4416. [Google Scholar] [CrossRef]
- Pinto, J.; Silva, V.L.M.; Silva, A.M.G.; Silva, A.M.S.; Costa, J.C.S.; Santos, L.M.N.B.F.; Enes, R.; Cavaleiro, J.A.S.; Vicente, A.A.M.O.S.; Teixeira, J.A.C. Ohmic heating as a new efficient process for organic synthesis in water. Green Chem. 2013, 15, 970–975. [Google Scholar] [CrossRef]
- Pinto, J.; Silva, V.L.M.; Silva, A.M.G.; Santos, L.M.N.B.F.; Silva, A.M.S. Ohmic heating assisted synthesis of 3-arylquinolin-4(1H)-ones by a reusable and ligand-free Suzuki-Miyaura reaction in water. J. Org. Chem. 2015, 80, 6649–6659. [Google Scholar] [CrossRef]
- Cardoso, M.F.D.C.; Gomes, A.T.P.C.; Silva, V.L.M.; Silva, A.M.S.; Neves, M.G.P.M.S.; da Silva, F.D.C.; Ferreira, V.F.; Cavaleiro, J.A.S. Ohmic heating assisted synthesis of coumarinyl porphyrin derivatives. RSC Adv. 2015, 5, 66192–66199. [Google Scholar] [CrossRef]
- Soengas, R.G.; Silva, V.L.M.; Pinto, J.; Rodríguez-Solla, H.; Silva, A.M.S. Ohmic heating and ionic liquids in combination for the indium-promoted synthesis of 1-halo alkenyl compounds: Applications to Pd-catalysed cross-coupling reactions. Eur. J. Org. Chem. 2016, 2016, 99–107. [Google Scholar] [CrossRef]
- Pinto, J.; Silva, V.L.M.; Santos, L.M.N.B.F.; Silva, A.M.S. Synthesis of (E)-3-styrylquinolin-4(1H)-ones in water by ohmic heating: A comparison with other methodologies. Eur. J. Org. Chem. 2016, 2016, 2888–2896. [Google Scholar] [CrossRef]
- Silva, V.L.M.; Soengas, R.G.; Silva, A.M.S. Ionic liquids and ohmic heating in combination for Pd-catalyzed cross-coupling reactions: Sustainable synthesis of flavonoids. Molecules 2020, 25, 1564. [Google Scholar] [CrossRef]
- Silva, V.L.M.; Silva, A.M.S.; Santos, L.M.N.B.F.; Silva, A.M.G.; Pinto, J.; Enes, R.; Cavaleiro, J.A.S.; Vicente, A.A.M.O.S.; Teixeira, J.A.C.; Morais, A.; et al. Reator para Síntese Química com Aquecimento Óhmico, Método e suas Aplicações. Portuguese Patent PT105908, 27 September 2011. [Google Scholar]
- Silva, V.L.M.; Silva, A.M.G.; Santos, L.M.N.B.F.; Silva, A.M.S. Avanços na síntese química: Aquecimento óhmico. Química 2016, 143, 15–21. [Google Scholar]
- Silva, V.L.M.; Santos, L.M.N.B.F.; Silva, A.M.S. Ohmic heating: An emerging concept in organic synthesis. Chem. Eur. J. 2017, 23, 7853–7865. [Google Scholar] [CrossRef]
- Katritzky, A.R.; Ostercamp, D.L.; Yousaf, T.I. The mechanism of the Hantzsch pyridine synthesis: A study by 15N and 13C NMR spectroscopy. Tetrahedron 1986, 42, 5729–5738. [Google Scholar] [CrossRef]
- Katritzky, A.R.; Ostercamp, D.L.; Yousaf, T.I. The mechanisms of heterocyclic ring closures. Tetrahedron 1987, 43, 5171–5186. [Google Scholar] [CrossRef]
- Lacova, M.; Puchala, A.; Solcanyova, E.; Lac, J.; Kois, P.; Chovancova, J.; Rasala, D. 3-Formylchromones IV. The Rearrangement of 3-Formylchromone Enamines as a Simple, Facile Route to Novel Pyrazolo[3,4-b]pyridines and the Synthetic Utility of the Latter. Molecules 2005, 10, 809–821. [Google Scholar] [CrossRef]
- Quiroga, J.; Portilla, J.; Abonía, R.; Insuasty, B.; Nogueras, M.; Cobo, J. Regioselective synthesis of novel substituted pyrazolo[1,5-a]pyrimidines under solvent-free conditions. Tetrahedron Lett. 2008, 49, 6254–6256. [Google Scholar] [CrossRef]
- Plaskon, A.S.; Ryabukhin, S.V.; Volochnyuk, D.M.; Gavrilenko, K.S.; Shivanyuk, A.N.; Tolmachev, A.A. Synthesis of Quinolines from 3-Formylchromone. J. Org. Chem. 2008, 73, 6010–6013. [Google Scholar] [CrossRef]



| Entry | Heating Method | 2 (equiv) | 3 (equiv) | Time (min) | 4 (%) | 5 (%) | 6 (%) |
|---|---|---|---|---|---|---|---|
| 1 | CH b | 2 | 2 | 120 | 6 d | 24 d | - e |
| 2 | ΩH c | 2 | 2 | 30 | - e | - e | 6 g |
| 3 | ΩH | 4 | 2 | 15 | 7 f | 31 f | 40 g |
| 4 | ΩH | 6 | 2 | 5 | 9 f | 28 f | 48 g |
Publisher’s Note: MDPI stays neutral with regard to jurisdictional claims in published maps and institutional affiliations. |
© 2022 by the authors. Licensee MDPI, Basel, Switzerland. This article is an open access article distributed under the terms and conditions of the Creative Commons Attribution (CC BY) license (https://creativecommons.org/licenses/by/4.0/).
Share and Cite
Pinto, J.; Silva, A.M.S.; Silva, V.L.M. Methyl 5-Imino-2-methyl-1,10a-dihydro-5H-chromeno[2,3-b]pyridine-3-carboxylate. Molbank 2022, 2022, M1453. https://doi.org/10.3390/M1453
Pinto J, Silva AMS, Silva VLM. Methyl 5-Imino-2-methyl-1,10a-dihydro-5H-chromeno[2,3-b]pyridine-3-carboxylate. Molbank. 2022; 2022(4):M1453. https://doi.org/10.3390/M1453
Chicago/Turabian StylePinto, Joana, Artur M. S. Silva, and Vera L. M. Silva. 2022. "Methyl 5-Imino-2-methyl-1,10a-dihydro-5H-chromeno[2,3-b]pyridine-3-carboxylate" Molbank 2022, no. 4: M1453. https://doi.org/10.3390/M1453
APA StylePinto, J., Silva, A. M. S., & Silva, V. L. M. (2022). Methyl 5-Imino-2-methyl-1,10a-dihydro-5H-chromeno[2,3-b]pyridine-3-carboxylate. Molbank, 2022(4), M1453. https://doi.org/10.3390/M1453

