Methyl-3-(3-hydroxy-3-(4-(piperidin-1-yl)phenyl)-prop-2-enoyl)benzoate
Abstract
1. Introduction
2. Results and Discussion
3. Materials and Methods
3.1. General Comment
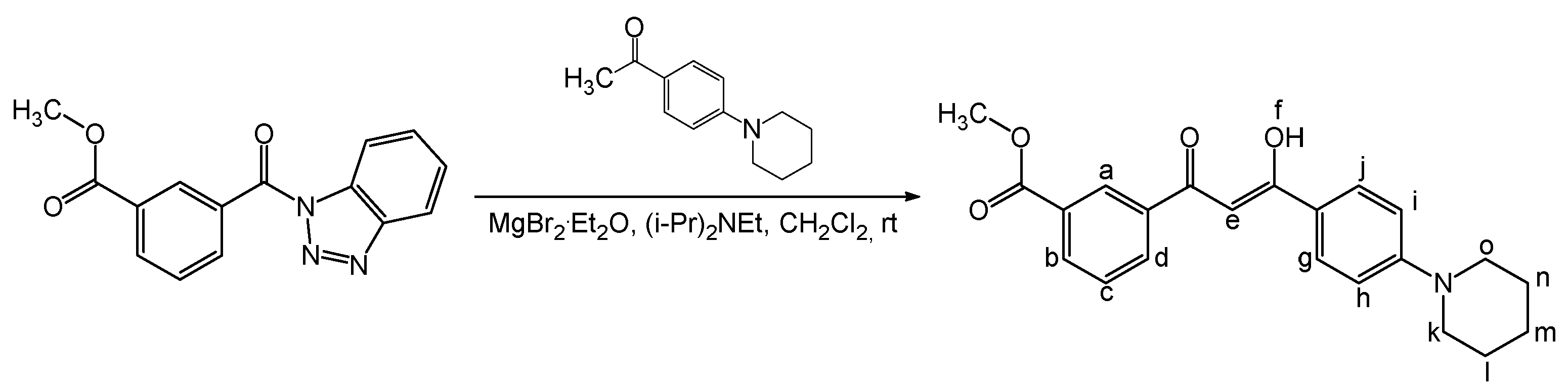
3.2. Synthesis
3.3. Crystallography Details
Supplementary Materials
Author Contributions
Funding
Institutional Review Board Statement
Informed Consent Statement
Data Availability Statement
Acknowledgments
Conflicts of Interest
References
- Buil, M.L.; Esteruelas, M.A.; López, A.M. Recent Advances in Synthesis of Molecular Heteroleptic Osmium and Iridium Phosphorescent Emitters. Eur. J. Inorg. Chem. 2021, 2021, 4731–4761. [Google Scholar] [CrossRef]
- Podyachev, S.N.; Zairov, R.R.; Mustafina, A.R. 1,3-Diketone Calix[4]Arene Derivatives—A New Type of Versatile Ligands for Metal Complexes and Nanoparticles. Molecules 2021, 26, 1214. [Google Scholar] [CrossRef] [PubMed]
- Feng, Z.; Yu, Y.; Yang, X.; Sun, Y.; Zhong, D.; Deng, X.; Zhou, G.; Wu, Z. Manipulating MLCT Transition Character with Phosphors in Organic Light-Emitting Diodes. J. Mater. Chem. C 2021, 9, 12650–12660. [Google Scholar] [CrossRef]
- Clegg, J.K.; Li, F.; Lindoy, L.F. Oligo-β-Diketones as Versatile Ligands for Use in Metallo-Supramolecular Chemistry: Recent Progress and Perspectives. Coord. Chem. Rev. 2022, 455, 214355. [Google Scholar] [CrossRef]
- Kesarkar, S.; Mróz, W.; Penconi, M.; Pasini, M.; Destri, S.; Cazzaniga, M.; Ceresoli, D.; Mussini, P.R.; Baldoli, C.; Giovanella, U.; et al. Near-IR Emitting Iridium(III) Complexes with Heteroaromatic β-Diketonate Ancillary Ligands for Efficient Solution-Processed OLEDs: Structure-Property Correlations. Angew. Chem. Int. Ed. 2016, 55, 2714–2718. [Google Scholar] [CrossRef]
- Nehra, K.; Dalal, A.; Hooda, A.; Bhagwan, S.; Saini, R.K.; Mari, B.; Kumar, S.; Singh, D. Lanthanides β-Diketonate Complexes as Energy-Efficient Emissive Materials: A Review. J. Mol. Struct. 2022, 1249, 131531. [Google Scholar] [CrossRef]
- Eliseeva, S.V.; Bünzli, J.-C.G. Lanthanide Luminescence for Functional Materials and Bio-Sciences. Chem. Soc. Rev. 2010, 39, 189–227. [Google Scholar] [CrossRef]
- Bünzli, J.-C.G. On the Design of Highly Luminescent Lanthanide Complexes. Coord. Chem. Rev. 2015, 293–294, 19–47. [Google Scholar] [CrossRef]
- Jiao, Y.; Li, M.; Wang, N.; Lu, T.; Zhou, L.; Huang, Y.; Lu, Z.; Luo, D.; Pu, X. A Facile Color-Tuning Strategy for Constructing a Library of Ir(III) Complexes with Fine-Tuned Phosphorescence from Bluish Green to Red Using a Synergetic Substituent Effect of –OCH 3 and –CN at Only the C-Ring of C^N Ligand. J. Mater. Chem. C 2016, 4, 4269–4277. [Google Scholar] [CrossRef]
- Kang, J.; Zaen, R.; Park, K.; Lee, K.H.; Lee, J.Y.; Kang, Y. Cyclometalated Platinum(II) Β-Diketonate Complexes with Extremely High External Quantum Efficiency for White Organic Light-Emitting Diodes. Adv. Opt. Mater. 2021, 9, 2101233. [Google Scholar] [CrossRef]
- Liao, X.-J.; Zhu, J.-J.; Yuan, L.; Yan, Z.-P.; Luo, X.-F.; Zhang, Y.-P.; Lu, J.-J.; Zheng, Y.-X. Efficient Organic Light-Emitting Diodes Based on Iridium(III) Complexes Containing Indolo[3,2,1-jk]Carbazole Derivatives with Narrow Emission Bandwidths and Low Efficiency Roll-Offs. J. Mater. Chem. C 2021, 9, 8226–8232. [Google Scholar] [CrossRef]
- Zysman-Colman, E. (Ed.) Iridium(III) in Optoelectronic and Photonics Applications; John Wiley & Sons, Ltd.: Chichester, UK, 2017; ISBN 9781119007166. [Google Scholar]
- Bilyalova, A.A.; Tatarin, S.V.; Kalle, P.; Smirnov, D.E.; Zharinova, I.S.; Kiselev, Y.M.; Dolzhenko, V.D.; Bezzubov, S.I. Synthesis, Structure, Optical, and Electrochemical Properties of Iridium(III) Complexes with 2-Arylphenantroimidazoles and Dibenzoylmethane. Russ. J. Inorg. Chem. 2019, 64, 207–215. [Google Scholar] [CrossRef]
- Ozawa, H.; Kawaguchi, H.; Okuyama, Y.; Arakawa, H. Characterization of Photovoltaic Performance of the Dye-Sensitized Solar Cell with a Novel Ruthenium Complex Having a Bisdemethoxycurcumin as a Ligand. Ambio 2012, 41, 149–150. [Google Scholar] [CrossRef][Green Version]
- Tatarin, S.V.; Kalle, P.; Taydakov, I.V.; Varaksina, E.A.; Korshunov, V.M.; Bezzubov, S.I. Sterically Hindered Phenanthroimidazole Ligands Drive the Structural Flexibility and Facile Ligand Exchange in Cyclometalated Iridium(III) Complexes. Dalt. Trans. 2021, 50, 6889–6900. [Google Scholar] [CrossRef]
- Katritzky, A.R.; Wang, Z.; Wang, M.; Wilkerson, C.R.; Hall, C.D.; Akhmedov, N.G. Preparation of β -Keto Esters and β -Diketones by C-Acylation/Deacetylation of Acetoacetic Esters and Acetonyl Ketones with 1-Acylbenzotriazoles. J. Org. Chem. 2004, 69, 6617–6622. [Google Scholar] [CrossRef]
- Zharinova, I.S.; Bilyalova, A.A.; Bezzubov, S.I. Synthesis and Crystal Structure of Methyl 3-(3-Hydroxy-3-Phenylprop-2-Enoyl)Benzoate. Acta Crystallogr. Sect. E Crystallogr. Commun. 2018, 74, 816–819. [Google Scholar] [CrossRef]
- Thomas, L.H.; Florence, A.J.; Wilson, C.C. Hydrogen Atom Behaviour Imaged in a Short Intramolecular Hydrogen Bond Using the Combined Approach of X-Ray and Neutron Diffraction. New J. Chem. 2009, 33, 2486. [Google Scholar] [CrossRef]
- Andrews, P.C.; Hennersdorf, F.; Junk, P.C.; Thielemann, D.T. Variable Nuclearity in Lanthanoid Coordination Chemistry. Eur. J. Inorg. Chem. 2014, 2014, 2849–2854. [Google Scholar] [CrossRef]
- Bezzubov, S.I.; Zharinova, I.S.; Khusyainova, A.A.; Kiselev, Y.M.; Taydakov, I.V.; Varaksina, E.A.; Metlin, M.T.; Tobohova, A.S.; Korshunov, V.M.; Kozyukhin, S.A.; et al. Aromatic Β-Diketone as a Novel Anchoring Ligand in Iridium(III) Complexes for Dye-Sensitized Solar Cells. Eur. J. Inorg. Chem. 2020, 2020, 3277–3286. [Google Scholar] [CrossRef]
- Sheldrick, G.M. A Short History of SHELX. Acta Crystallogr. Sect. A Found. Crystallogr. 2008, 64, 112–122. [Google Scholar] [CrossRef]
- Sheldrick, G.M. SHELXT—Integrated Space-Group and Crystal-Structure Determination. Acta Crystallogr. Sect. A Found. Crystallogr. 2015, 71, 3–8. [Google Scholar] [CrossRef]
- Dolomanov, O.V.; Bourhis, L.J.; Gildea, R.J.; Howard, J.A.K.; Puschmann, H. OLEX2: A Complete Structure Solution, Refinement and Analysis Program. J. Appl. Crystallogr. 2009, 42, 339–341. [Google Scholar] [CrossRef]



Publisher’s Note: MDPI stays neutral with regard to jurisdictional claims in published maps and institutional affiliations. |
© 2022 by the authors. Licensee MDPI, Basel, Switzerland. This article is an open access article distributed under the terms and conditions of the Creative Commons Attribution (CC BY) license (https://creativecommons.org/licenses/by/4.0/).
Share and Cite
Kiseleva, M.A.; Tatarin, S.V.; Churakov, A.V.; Bezzubov, S.I. Methyl-3-(3-hydroxy-3-(4-(piperidin-1-yl)phenyl)-prop-2-enoyl)benzoate. Molbank 2022, 2022, M1449. https://doi.org/10.3390/M1449
Kiseleva MA, Tatarin SV, Churakov AV, Bezzubov SI. Methyl-3-(3-hydroxy-3-(4-(piperidin-1-yl)phenyl)-prop-2-enoyl)benzoate. Molbank. 2022; 2022(4):M1449. https://doi.org/10.3390/M1449
Chicago/Turabian StyleKiseleva, Marina A., Sergei V. Tatarin, Andrei V. Churakov, and Stanislav I. Bezzubov. 2022. "Methyl-3-(3-hydroxy-3-(4-(piperidin-1-yl)phenyl)-prop-2-enoyl)benzoate" Molbank 2022, no. 4: M1449. https://doi.org/10.3390/M1449
APA StyleKiseleva, M. A., Tatarin, S. V., Churakov, A. V., & Bezzubov, S. I. (2022). Methyl-3-(3-hydroxy-3-(4-(piperidin-1-yl)phenyl)-prop-2-enoyl)benzoate. Molbank, 2022(4), M1449. https://doi.org/10.3390/M1449

