Abstract
We report the ambient-temperature synthesis of novel (E)-N-(3-(tert-butyl)-1-methyl-1H-pyrazol-5-yl)-1-(pyridin-2-yl)methanamine 3 in 81% yield by a condensation reaction between 3-(tert-butyl)-1-methyl-1H-pyrazol-5-amine 1 and 2-pyridinecarboxaldehyde 2 in methanol using magnesium sulfate as a drying agent. The N-pyrazolyl imine 3 was full characterized by IR, 1D, and 2D NMR spectroscopy, mass spectrometry, and elemental analysis.
1. Introduction
Pyrazole is a five-membered heterocyclic system containing three carbon atoms and two nitrogen atoms in adjacent positions [1]. Pyrazole and its derivatives have attracted a great deal of attention in organic and medicinal chemistry due to their wide range of pharmacological and biological activities [2,3,4,5,6,7]. For example, apixaban is employed to prevent blood clots [7], sildenafil is a cyclic GMP-specific phosphodiesterase inhibitor to treat erectile dysfunction [8], benzydamine hydrochloride is a non-steroidal anti-inflammatory drug [9], and axitinib is a selective tyrosine kinase inhibitor to treat advanced renal cell carcinoma [10], among others marketed drugs possessing this pyrazole structural motif, as shown in Figure 1.
Figure 1.
Pyrazole-containing marketed drugs.
In particular, 5-aminopyrazole has been extensively employed as an important aza-heterocyclic template for the preparation of a variety of bicyclic N-heterocycles with interesting applications in medicinal chemistry [11] and material science [12,13]. In this context, we have recently employed N-(5-pyrazolyl)imines in the aza-Diels–Alder cycloaddition reaction using electrophilic α-oxoketene and aryne intermediates for the expeditious syntheses of pyrazolopyrid-4-ones [14] and isoquinolines [15], respectively. Due to the considerable interest of 5-aminopyrazole as an important aza-heterocyclic template for the preparation of N-(5-pyrazolyl)imines, and its application in the formation of pyrazole-containing heterocycles [14,15,16], we herein report the synthesis and full characterization of novel N-pyrazolyl imine 3 through the uncatalyzed condensation reaction of 5-aminopyrazole 1 with hetaryl aldehyde 2 under mild reaction conditions.
2. Results and Discussion
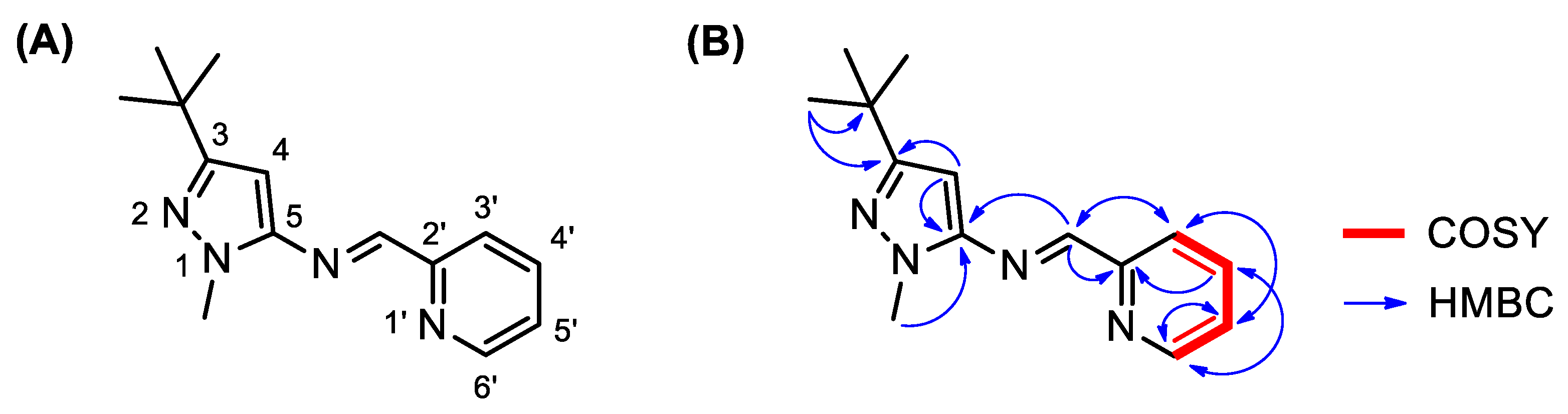
We describe the synthesis of N-pyrazolyl imine 3 by a condensation reaction between equimolar amounts of 3-(tert-butyl)-1-methyl-1H-pyrazol-5-amine 1 and pyridinecarboxaldehyde 2 in methanol (HPLC grade, ≥99.9%) under stirring at ambient temperature for 24 h, using an excess of magnesium sulfate as a drying agent (Scheme 1). After the specified reaction time, the mixture was filtered, and the solvent was removed by a rotary evaporator under vacuum. The resulting crude product was purified by flash chromatography on silica gel using a mixture of DCM/MeOH (40:1, v/v) as an eluent to afford N-pyrazolyl imine 3 in an 81% yield. As expected, the water released in the condensation process was trapped by the drying agent to displace the equilibrium towards the imine product. It should be noted that a complete spectroscopic and analytical characterization was performed in this work (Materials and Methods). Initially, the structure of N-pyrazolyl imine 3 was determined by IR, 1D NMR spectroscopy, mass spectrometry, and elemental analysis (Figures S1–S6, Figure 2A). Then, the examination of 2D NMR spectra, including HSQC (Figure S7), HMBC (Figures S8–S9), and COSY (Figure S10), allowed structure assignment without ambiguity (Figure 2B).
Scheme 1.
Ambient-temperature synthesis of N-pyrazolyl imine 3.
Figure 2.
(A) Structure of N-pyrazolyl imine 3. (B) Connectivities of 3 based on COSY (bold red line) and HMBC (from H to C, blue arrow) data.
In the IR spectrum, the absorption bands at 1588 and 1568 cm−1 were assigned to C = N stretching vibrations. It should be noted that C=N stretching modes are mostly depicted as combinational bands with C=C stretching vibrations. In addition, C–N stretching vibrations were observed at 1245 and 1290 cm−1. In the MS spectrum, the molecular ion peak was observed at 242 m/z with a 58% intensity, while the base peak was detected at 227 m/z with a 100% intensity, corresponding to the elimination of a methyl group. The 1H NMR spectrum of 3 recorded in CDCl3 showed the existence of two methyl groups at 1.32 and 3.94 ppm, as well as one methine of the pyrazole ring at 6.17 ppm (Table 1). In the downfield region, four methines of the pyridine ring appeared in a range between 7 and 8 ppm. The signal of the azomethine group was observed as a singlet at 8.66 ppm, indicating that the condensation process was successful. The 13C{1H} NMR and DEPT spectra of 3 showed 12 carbon signals, consisting of one azomethine, four quaternary carbons, five aromatic methines, and two methyls (Table 1 and Figure 2A). The HSQC spectrum recorded in CDCl3 enabled the assignment of all protons to the directly bonded carbons. Thus, the signals of C(CH3)3, NCH3, and CH=N groups were assigned at 30.6, 34.8, and 159.1 ppm, respectively. Moreover, the C-4 signal was observed at 88.7 ppm, which is in good agreement with the high electron density of the carbon atom at position 4 of π-excedent pyrazole systems [14,15,16]. In Table 1 and Figure 2B, the correlation C-H observed in the HMBC experiment for quaternary carbons C-3, C-5, and C-2′ is summarized, highlighting the correlation at 2J for CH=N to C-2′ (154.7 ppm). Other important correlations were the tert-butyl group with C-3 (161.4 ppm) at 3J, while NCH3 and CH=N signals correlated with C-5 (148.9 ppm) at 3J. The quaternary carbon of the tert-butyl group was observed in the upfield region at 32.4 ppm. Ultimately, the COSY experiment helped to identify the four aromatic methines of the pyridine ring C-3′, C-4′, C-5′, and C-6′ at 121.5, 136.7, 125.3, and 149.9 ppm, respectively.
Table 1.
1H and 13C{1H} NMR assignments, COSY and HMBC correlations of 3a.
In summary, we report the ambient-temperature synthesis of N-pyrazolyl imine 3 in good yield through an uncatalyzed condensation reaction between 3-(tert-butyl)-1-methyl-1H-pyrazol-5-amine 1 and 2-pyridinecarboxaldehyde 2 in the presence of magnesium sulfate as a drying agent. This protocol is distinguished by its ease of operation, high atom economy, simple isolation of the imine, and clean reaction profile. It should be noted that N-pyrazolyl imine 3 could be employed as an aza-heterocyclic template for obtaining fused pyrazole derivatives with potential applications in medicinal chemistry and materials science.
3. Materials and Methods
3.1. General Information
The 3-(tert-butyl)-1-methyl-1H-pyrazol-5-amine 1 was synthesized using a known method [14]. 2-Pyridinecarboxaldehyde 2 was acquired from Sigma–Aldrich (CAS 1121-60-4) and used without previous purification. The starting materials were weighed and handled in air at ambient temperature. Silica gel aluminum plates (Merck 60 F254, Darmstadt, Germany) were used for analytical TLC. A Shimadzu FTIR 8400 spectrophotometer (Scientific Instruments Inc., Seattle, WA, USA) equipped with an attenuated reflectance accessory was used for acquiring the IR absorption spectrum. A Bruker Avance 400 spectrophotometer (Bruker BioSpin GmbH, Rheinstetten, Germany) was used to record 1H and 13C{1H} NMR spectra at 25 °C using frequencies of 400 and 101 MHz, respectively. The chemical shifts of 1H and 13C{1H} NMR spectra were referenced with tetramethylsilane (δ = 0.0 ppm). Alternatively, the chemical shifts of 1H and 13C{1H} NMR experiments could be referenced with the residual non-deuterated signal (δ = 7.26 ppm) and the deuterated solvent signal (δ = 77.16 ppm), respectively. The assignment of carbon signals was performed using the DEPT-135 experiment. The chemical shifts (δ) are given in ppm, while coupling constants (J) are given in Hz. The following abbreviations are used to indicate the multiplicity: s = singlet, d = doublet, t = triplet, q = quartet, and m = multiplet. The 2D HSQC, HMBC, and COSY experiments were performed using the standard Bruker pulse sequence. 1D and 2D NMR spectra were processed in MestReNova 12.0.0 (2017) software. A SHIMADZU-GCMS 2010-DI-2010 spectrometer (Scientific Instruments Inc., Columbia, WA, USA) equipped with a direct input probe at 70 eV was used for acquiring the mass spectrum. The microanalysis was performed on a CHNS elemental analyzer (Thermo Fischer Scientific Inc., Madison, WI, USA) and the values are within ±0.4% of the theoretical values.
3.2. Synthesis of (E)-N-(3-(tert-Butyl)-1-methyl-1H-pyrazol-5-yl)-1-(pyridin-2-yl)methanamine 3
A mixture of 3-(tert-butyl)-1-methyl-1H-pyrazol-5-amine 1 (153 mg, 1.0 mmol), 2-pyridinecarboxaldehyde 2 (95 μL, 1.0 mmol, CAS 1121-60-4), and anhydrous magnesium sulphate (481 mg, 4.0 mmol, CAS 7487-88-9) in methanol (5.0 mL, HPLC grade, ≥99.9%, CAS 67-56-1) was stirred at ambient temperature for 24 h. After a complete disappearance of the starting materials, as monitored by thin-layer chromatography (TLC), the reaction mixture was filtered, and the solvent was evaporated by a rotary evaporator under vacuum. The resulting crude product was purified by flash chromatography on silica gel using a mixture of DCM/MeOH (40:1, v/v) as an eluent to afford N-pyrazolyl imine 3 as a brown solid (196 mg, 81% yield). Rf (DCM/MeOH: 20/1) = 0.25. M.p 162–163 °C. FTIR–ATR: ν = 2953, 2895, 2861, 1588 (ν C=N), 1568 (ν C=N), 1537, 1469, 1432, 1360, 1290 (ν C–N), 1245 (ν C–N), 1180, 1057, 993, 747, 699, 593 cm−1. 1H NMR (400 MHz, CDCl3): δ = 1.32 (s, 9H, t-Bu), 3.94 (s, 3H, NCH3), 6.17 (s, 1H, H-4), 7.34 (ddd, J = 7.6, 4.8, 1.2 Hz, 1H, H-5′), 7.78 (dddd, J = 7.8, 7.6, 1.6, 0.8 Hz, H-4′), 8.21 (dt, J = 7.6, 1.0 Hz, 1H, H-3′), 8.66 (s, 1H, CH=N ), 8.68 (ddd, J = 4.8, 1.6, 0.8 Hz, 1H, H-6′) ppm. 13C{1H} NMR (101 MHz, CDCl3): δ = 30.6 (CH3, t-Bu), 32.4 (Cq, t-Bu), 34.8 (NCH3), 88.7 (CH, C-4), 121.5 (CH, C-3′), 125.3 (CH, C-5′), 136.7 (CH, C-4′), 148.9 (Cq, C-5), 149.9 (CH, C-6′), 154.7 (Cq, C-2′), 159.1 (CH, CH=N ), 161.4 (Cq, C-3) ppm. Anal. calcd. for C14H18N4 (242.15): C, 69.39; H, 7.49; N, 23.12. Found: C, 69.53; H, 7.44; N, 23.21. MS (EI, 70 eV) m/z (%): 242 (58) [M+•], 227 (M+•–CH3, 100), 200 (14), 183 (6), 143 (7), 131 (6), 118 (5), 92 (10).
Supplementary Materials
The following are available online. Figure S1: MS spectrum of the compound 3; Figure S2: IR spectrum of the compound 3; Figure S3: 1H NMR spectrum of the compound 3; Figure S4: Expansion 1H NMR spectrum of the compound 3; Figure S5: 13C{1H} NMR and DEPT-135 spectra of the compound 3; Figure S6: Expansion 13C{1H} NMR and DEPT-135 spectra of the compound 3; Figure S7: HSQC 2D C–H correlation spectrum of the compound 3; Figure S8: HMBC 2D C–H correlation spectrum of the compound 3; Figure S9: Expansion HMBC 2D C–H correlation spectrum of the compound 3; Figure S10: COSY 2D H–H correlation spectrum of the compound 3.
Author Contributions
Investigation, data curation, writing—original draft preparation, D.B.; resources, writing—review and editing, J.C.; conceptualization, data curation, writing—original draft preparation, J.-C.C. All authors have read and agreed to the published version of the manuscript.
Funding
The APC was sponsored by MDPI.
Institutional Review Board Statement
Not applicable.
Informed Consent Statement
Not applicable.
Data Availability Statement
The data presented in this study are available in this article.
Acknowledgments
D.B. and J-C.C. thank to the Dirección de Investigaciones at the Universidad Pedagógica y Tecnológica de Colombia for financial support (project SGI–3073). J.C. acknowledges Universidad de Jaén and the Consejería de Economía, Innovación y Ciencia (Junta de Andalucía, Spain), and Centro de Instrumentation Científico–Técnico of the Universidad de Jaen (UJA). D.B. thanks to the Asociación Universitaria Iberoamericana de Postgrado for financial support.
Conflicts of Interest
The authors declare not conflicts of interest.
Sample Availability
Not available.
References
- Castillo, J.-C.; Portilla, J. Recent advances in the synthesis of new pyrazole derivatives. Targets Heterocycl. Syst. 2018, 22, 194–223. [Google Scholar] [CrossRef]
- Insuasty, B.; Ramírez, J.; Becerra, D.; Echeverry, C.; Quiroga, J.; Abonia, R.; Robledo, S.M.; Vélez, I.D.; Upegui, Y.; Muñoz, J.A.; et al. An efficient synthesis of new caffeine-based chalcones, pyrazolines and pyrazolo [3,4-b][1,4]diazepines as potential antimalarial, antitrypanosomal and antileishmanial agents. Eur. J. Med. Chem. 2015, 93, 401–413. [Google Scholar] [CrossRef] [PubMed]
- Ansari, A.; Ali, A.; Asif, M.; Shamsuzzaman, S. Review: Biologically active pyrazole derivatives. New J. Chem. 2017, 41, 16–41. [Google Scholar] [CrossRef]
- Karrouchi, K.; Radi, S.; Ramli, Y.; Taoufik, J.; Mabkhot, Y.N.; Al-aizari, F.A.; Ansar, M. Synthesis and pharmacological activities of pyrazole derivatives: A review. Molecules 2018, 23, 134. [Google Scholar] [CrossRef] [PubMed] [Green Version]
- Bennani, F.E.; Doudach, L.; Cherrah, Y.; Ramli, Y.; Karrouchi, K.; Ansar, M.; Faouzi, M.E.A. Overview of recent developments of pyrazole derivatives as an anticancer agent in different cell line. Bioorg. Chem. 2020, 97, 103470. [Google Scholar] [CrossRef] [PubMed]
- Afsina, C.M.A.; Aneeja, T.; Neetha, M.; Anilkumar, G. Recent advances in the synthesis of pyrazole derivatives. Curr. Org. Synth. 2021, 18, 197–213. [Google Scholar] [CrossRef] [PubMed]
- Li, X.; Yu, Y.; Tu, Z. Pyrazole scaffold synthesis, functionalization, and applications in Alzheimer’s disease and Parkinson’s disease treatment (2011–2020). Molecules 2021, 26, 1202. [Google Scholar] [CrossRef] [PubMed]
- Boolell, M.; Allen, M.J.; Ballard, S.A.; Gepi-Attee, S.; Muirhead, G.J.; Naylor, A.M.; Osterloh, I.H.; Gingell, C. Sildenafil: An orally active type 5 cyclic GMP-specific phosphodiesterase inhibitor for the treatment of penile erectile dysfunction. Int. J. Impot. Res. 1996, 8, 47–52. [Google Scholar] [PubMed]
- Baldock, G.A.; Brodie, R.R.; Chasseaud, L.F.; Taylor, T.; Walmsley, L.M.; Catanese, B. Pharmacokinetics of benzydamine after intravenous, oral, and topical doses to human subjects. Biopharm. Drug Dispos. 1991, 12, 481–492. [Google Scholar] [CrossRef] [PubMed]
- Motzer, R.J.; Michaelson, M.D.; Redman, B.G.; Hudes, G.R.; Wilding, G.; Figlin, R.A.; Ginsberg, M.S.; Kim, S.T.; Baum, C.M.; DePrimo, S.E.; et al. Activity of SU11248, a multitargeted inhibitor of vascular endothelial growth factor receptor and platelet-derived growth factor receptor, in patients with metastatic renal cell carcinoma. J. Clin. Oncol. 2006, 24, 16–24. [Google Scholar] [CrossRef] [PubMed]
- Aggarwal, R.; Kumar, V.; Kumar, R.; Singh, S.P. Approaches towards the synthesis of 5-aminopyrazoles. Beilstein J. Org. Chem. 2011, 7, 179–197. [Google Scholar] [CrossRef] [PubMed] [Green Version]
- Arias-Gómez, A.; Godoy, A.; Portilla, J. Functional pyrazolo[1,5-a]pyrimidines: Current approaches in synthetic transformations and uses as an antitumor scaffold. Molecules 2021, 26, 2708. [Google Scholar] [CrossRef] [PubMed]
- Orrego-Hernández, J.; Lizarazo, C.; Cobo, J.; Portilla, J. Pyrazolo-fused 4-azafluorenones as key reagents for the synthesis of fluorescent dicyanovinylidene-substituted derivatives. RSC Adv. 2019, 9, 27318–27323. [Google Scholar] [CrossRef] [Green Version]
- Galvez, J.; Castillo, J.-C.; Quiroga, J.; Rajzmann, M.; Rodriguez, J.; Coquerel, Y. Divergent chemo-, regio-, and diastereoselective normal electron-demand Povarov-type reactions with α-oxo-ketene dienophiles. Org. Lett. 2014, 16, 4126–4129. [Google Scholar] [CrossRef] [PubMed]
- Castillo, J.-C.; Quiroga, J.; Abonia, R.; Rodriguez, J.; Coquerel, Y. The aryne aza-Diels–Alder reaction: Flexible syntheses of isoquinolines. Org. Lett. 2015, 17, 3374–3377. [Google Scholar] [CrossRef] [PubMed]
- Becerra, D.; Rojas, H.; Castillo, J.-C. 3-(tert-Butyl)-N-(4-methoxybenzyl)-1-methyl-1H-pyrazol-5-amine. Molbank 2021, 2021, M1196. [Google Scholar] [CrossRef]
Publisher’s Note: MDPI stays neutral with regard to jurisdictional claims in published maps and institutional affiliations. |
© 2021 by the authors. Licensee MDPI, Basel, Switzerland. This article is an open access article distributed under the terms and conditions of the Creative Commons Attribution (CC BY) license (https://creativecommons.org/licenses/by/4.0/).


