Abstract
Azaheterocycles derivatives with pyridine-imidazole skeleton are compounds of great value for medicinal chemistry. We report herein the nitration of 1,1′-(pyridine-2,6-diylbis(methylene))bis{3-[2-(4-nitrophenyl)-2-oxoethyl]-1H-imidazol-3-ium} bromide using a typical mixture of nitric and sulphuric acid. The nitration occur with the oxidative cleavage of N–C bond between imidazolium ring and methylene group.
1. Introduction
In the past decades five and six member ring azaheterocycles compounds, especially imidazole and (di)azine, became invaluable scaffolds in drug designing because of their large variety of biological activities, such as anticancer, antimicrobial (antibacterial, antifungal, antitubercular), antimalarial, anti-inflammatory, antidepressant, analgesic, antihypertensive etc. [1,2,3,4,5,6,7].
Taking into consideration our expertise in the area of obtaining new biologically active compounds with antimicrobial activity [8,9,10,11,12,13,14] using cycloimmonium ylides chemistry [15,16,17,18,19,20,21], we decided to study the reactions of pyridine-imidazolium salts with nitric acid.
2. Results and Discussion
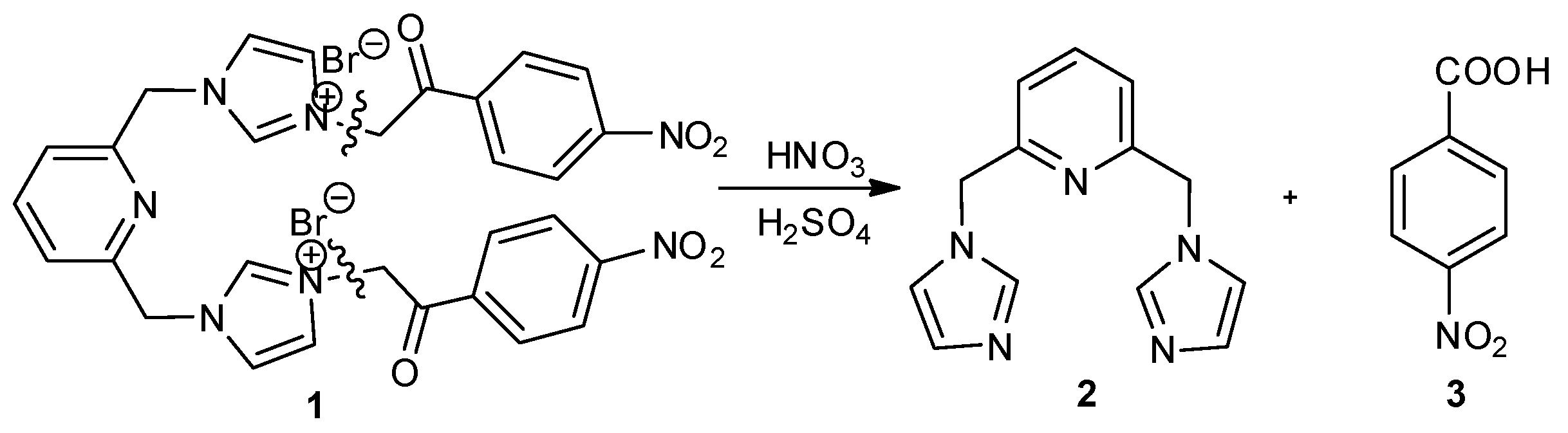
In this respect, we perform the nitration of 1,1′-[pyridine-2,6-diylbis(methylene)]bis{3-[2-(4-nitrophenyl)-2-oxoethyl]-1H-imidazol-3-ium} bromide 1, using a typical mixture of nitric and sulphuric acid, Figure 1.
Figure 1.
The nitration of 1,1′-[pyridine-2,6-diylbis(methylene)]bis{3-[2-(4-nitrophenyl)-2-oxoethyl]-1H-imidazol-3-ium} bromide.
Our expectation was to have a nitration in the 3-position of pyridine ring or in the 4-position of the imidazole moiety. Instead of this an unexpected oxidative cleavage N–C bond between imidazolium ring and methylene group took place, with the formation of 2,6-bis[(1H-imidazol-1-yl)methyl]pyridine 2 and 4-nitrobenzoic acid 3. The structures of compounds were proven by spectroscopic analysis: 1H-NMR, 13C-NMR, and two-dimensional experiments 2D- COSY, 2D-HMQC, 2D-HMBC.
In conclusions, nitration of 1,1′-[pyridine-2,6-diylbis(methylene)]bis{3-[2-(4-nitrophenyl)-2-oxoethyl]-1H-imidazol-3-ium} bromide occur with the oxidative cleavage of N–C bond between imidazolium ring and methylene group, with the formation of two side products 2,6-bis[(1H-imidazol-1-yl)methyl]pyridine 2 and 4-nitrobenzoic acid 3.
3. Materials and Methods
3.1. Instrumentation
All the reagents and solvents were purchased from commercial sources (Sigma Aldrich and Merck, Darmstadt, Germany) and used without further purification. Melting points were recorded on an Electrothermal MEL-TEMP (Barnstead International, Dubuque, IA, USA) apparatus in open capillary tubes and are uncorrected. Analytical thin-layer chromatography was performed with commercial silica gel plates 60 F254 (Merck) and visualized with UV light. The NMR spectra were recorded on a (Bruker, Vienna, Austria) Advance III 500 MHz spectrometer operating at 500 MHz for 1H and 125 MHz for 13C. Chemical shifts were reported in delta (δ) units, part per million (ppm) and coupling constants (J) in Hz.
2,6-Bis[(1H-imidazol-1-yl)methyl]pyridine 2, was initially synthetized by Garrison and Co [22]; in the supporting information of the paper all the data concerning the compound can be found for comparison.
4-Nitrobenzoic acid 3, is a commercially available compound and relevant data can be found in the Sigma-Aldrich catalog [23].
3.2. Nitration of Pyridine-Imidazolium Salts
Concentrated nitric acid (HNO3 65%, p.a.) (4.89 mmol, 9.78 equiv., 0.22 mL) was added dropwise over the undissolved quaternary salt 1 (0.5 mmol, 1 equiv., 0.36 g) at 0 °C (ice bath) under vigorous stirring, until the entire precipitate has been dissolved (10 min) completely. Concentrated sulfuric acid (H2SO4 98%) (3.825 mmol, 7.65 equiv., 0.21 mL) was added dropwise, at 0 °C (ice bath), over the reaction mixture. The resulting solution was stirred at room temperature for 30 min, and after that heated at 130 °C for 2 h. The nitrogen oxides released were bubbled into a water bath. The reaction was processed by neutralization with a saturated NaHCO3 solution (0.95 mL). The formed precipitate was collected by filtration, washed with distilled H2O (5–7 mL), and dried in vacuum, obtaining 2,6-bis[(1H-imidazol-1-yl)methyl]pyridine 2 as a white powder.
From the aqueous phase the extraction was performed with ethyl acetate (3 × 20 mL), the phase was separated and the organic layer was dried over sodium sulphate. After filtration, the solution was left overnight, resulting in the formation of a yellow acicular precipitate, 4-nitrobenzoic acid.
2,6-Bis[(1H-imidazol-1-yl)methyl]pyridine (2). White powder, m.p. 106–107 °C. Yield 32%. 1H-NMR (500 MHz, DMSO) (ppm): 7.78 (t, 1H, 3J = 8.0 Hz, H4), 7.74 (s, 2H, 2H2′), 7.19 (as, 2H, 2H5′), 7.03 (d, 2H, 3J = 8.0 Hz, 2H3), 6.92 (as, 2H, 2H4′), 5.28 (s, 4H, 2(-CH2-). 13C-NMR (125 MHz, DMSO) (ppm): 156.7 (2C2), 138.5 (C4), 137.7 (2C2′), 128.6 (2C4′), 120.4 (2C3), 119.8 (2C5′), 51.13 (2(-CH2-)).
4-Nitrobenzoic Acid (3). Yellow acicular crystals, m.p. 237–238 °C. Yield 41%. 1H-NMR (400 MHz, DMSO) (ppm): 13.67 (brs, 1H, -COOH), 8.30 (d, 2H, 3J = 7.6 Hz, 2H3), 8.15 (d, 2H, 3J = 7.6 Hz, 2H2). 13C-NMR (100 MHz, DMSO) (ppm): 165.8 (-COOH), 150.0 (C4), 136.3 (C1), 130.7 (2C3), 123.7 (2C2).
Supplementary Materials
1H- and 13C-NMR spectra for compounds 2 and 3 are available online.
Author Contributions
Conception and writing were performed by V.M. Experimental work and structure elucidation were performed by D.C. and V.M. All authors reviewed and approved the final version.
Funding
This research was funded by Romanian Ministry of Research and Innovation, Program 1—Development of the national R & D system, Subprogram 1.2—Institutional performance—RDI excellence financing projects, Grant No. 34PFE/19.10.2018.
Acknowledgments
Authors are thankful to Romanian Ministry of Research and Innovation, Program 1—Development of the national R & D system, Subprogram 1.2—Institutional performance—RDI excellence financing projects, Grant No. 34PFE/19.10.2018, for financial support and the POSCCE-O 2.2.1, SMIS-CSNR 13984-901, No. 257/28.09.2010 Project, CERNESIM, for NMR experiments.
Conflicts of Interest
The authors declare no conflict of interest.
References
- Popovici, L.; Amarandi, R.M.; Mangalagiu, I.I.; Mangalagiu, V.; Danac, R. Synthesis, molecular modelling and anticancer evaluation of new pyrrolo[1,2-b]pyridazine and pyrrolo[2,1-a]phthalazine derivatives. J. Enzym. Inh. Med. Chem. 2019, 34, 230–243. [Google Scholar] [CrossRef] [PubMed]
- Lungu, C.N.; Bratanovici, B.I.; Grigore, M.M.; Antoci, V.; Mangalagiu, I.I. Hybrid imidazole-pyridine derivatives: An approach to novel anticancer DNA intercalators. Curr. Med. Chem. 2018, in press. [Google Scholar] [CrossRef] [PubMed]
- Olaru, A.M.; Vasilache, V.; Danac, R.; Mangalagiu, I.I. Antimycobacterial activity of nitrogen heterocycles derivatives: 7-(pyridine-4-yl)-indolizine derivatives. Part VII. J. Enz. Inhib. Med. Chem. 2017, 32, 1291–1298. [Google Scholar] [CrossRef] [PubMed]
- Mantu, D.; Antoci, V.; Moldoveanu, C.; Zbancioc, G.; Mangalagiu, I.I. Hybrid imidazole (benzimidazole)/pyridine (quinoline) derivatives and evaluation of their anticancer and antimycobacterial activity. J. Enz. Inhib. Med. Chem. 2016, 31, 96–103. [Google Scholar] [CrossRef] [PubMed]
- Mantu, D.; Maftei, D.; Iurea, D.; Ursu, C.; Bejan, V. Synthesis, structure, and in vitro anticancer activity of new polycyclic 1,2-diazines. Med. Chem. Res. 2014, 23, 2909–2915. [Google Scholar] [CrossRef]
- Luca, M.C.; Tura, V.; Mangalagiu, I.I. Considerations concerning design and mechanism of action of a new class of dual DNA intercalators. Med. Hyp. 2010, 75, 627–629. [Google Scholar] [CrossRef] [PubMed]
- Gaba, M.; Mohan, C. Development of drugs based on imidazole and benzimidazole bioactive heterocycles: Recent advances and future directions. Med. Chem. Res. 2016, 25, 173–210. [Google Scholar] [CrossRef]
- Al Matarneh, C.M.; Shova, S.; Mangalagiu, I.I.; Danac, R. Synthesis, structure, antimycobacterial and anticancer evaluation of new pyrrolo-phenanthroline derivatives. J. Enz. Inhib. Med. Chem. 2016, 31, 470–480. [Google Scholar] [CrossRef]
- Danac, R.; Al Matarneh, C.M.; Shova, S.; Daniloaia, T.; Balan, M.; Mangalagiu, I.I. New indolizines with phenanthroline skeleton: Synthesis, structure, antimycobacterial and anticancer evaluation. Bioorg. Med. Chem. 2015, 23, 2318–2327. [Google Scholar] [CrossRef]
- Danac, R.; Managalagiu, I.I. Antimycobacterial activity of nitrogen heterocycles derivatives: Bipyridine derivatives. Part III. Eur. J. Med. Chem. 2014, 74, 664–670. [Google Scholar] [CrossRef]
- Tucaliuc, R.; Cotea, V.; Niculaua, M.; Tuchilus, C.; Mantu, D.; Mangalagiu, I.I. New Pyridazine–Fluorine Derivatives: Synthesis, Chemistry and Biological Activity. Part II. Eur. J. Med. Chem. 2013, 67, 367–372. [Google Scholar] [CrossRef] [PubMed]
- Mantu, D.; Antoci, V.; Mangalagiu, I.I. Design, synthesis and antituberculosis activity of some new pyridazine derivatives: Bis-pyridazine. Part IV. Infect. Disord. Drug. Targets 2013, 13, 344–351. [Google Scholar] [CrossRef] [PubMed]
- Mantu, D.; Luca, M.C.; Moldoveanu, C.; Zbancioc, G.; Mangalagiu, I.I. Synthesis and antituberculosis activity of some new pyridazine derivatives. Part II. Eur. J. Med. Chem. 2010, 45, 5164–5168. [Google Scholar] [CrossRef] [PubMed]
- Butnariu, R.; Mangalagiu, I.I. New pyridazine derivatives: Synthesis, chemistry and biological activity. Bioorg. Med. Chem. 2009, 17, 2823–2829. [Google Scholar] [CrossRef]
- Cucu, D.; Mangalagiu, V.; Amariucai-Mantu, D.; Antoci, V.; Mangalagiu, I.I. Imidazolium ylides: Cycloaddition versus hydrolysis. Studia UBB Chemia 2019, LXIV(3), 59–66. [Google Scholar] [CrossRef]
- Zbancioc, G.; Mangalagiu, I.I.; Moldoveanu, C. Ultrasound assisted synthesis of imidazolium salts: An efficient way to ionic liquids. Ultrason. Sonochem. 2015, 23, 376–383. [Google Scholar] [CrossRef]
- Zbancioc, G.; Zbancioc, A.M.; Mangalagiu, I.I. Ultrasound and microwave assisted synthesis of dihydroxyacetophenone derivatives with or without 1,2-diazine skeleton. Ultrason. Sonochem. 2014, 21, 802–811. [Google Scholar] [CrossRef]
- Zbancioc, G.; Zbancioc, A.M.; Mantu, D.; Miron, A.; Tanase, C.; Mangalagiu, I.I. Ultrasounds assisted synthesis of highly functionalized acetophenone. Rev. Roum. Chim. 2010, 55, 983–987. [Google Scholar]
- Zbancioc, G.; Bejan, V.; Risca, M.; Moldoveanu, C.; Mangalagiu, I.I. Microwave assisted reactions of new azaheterocyles compounds. Molecules 2009, 14, 403–411. [Google Scholar] [CrossRef]
- Mantu, D.; Moldoveanu, C.; Nicolescu, A.; Deleanu, C.; Mangalagiu, I.I. A facile synthesis of pyridazinone derivatives under ultrasonic irradiation. Ultrason. Sonochem. 2009, 16, 452–454. [Google Scholar] [CrossRef]
- Bejan, V.; Moldoveanu, C.; Mangalagiu, I.I. Ultrasounds assisted reactions of steroid analogous of anticipated biological activities. Ultrason. Sonochem. 2009, 16, 312–315. [Google Scholar] [CrossRef] [PubMed]
- Garrison, J.C.; Simons, R.S.; Talley, J.M.; Wesdemiotis, C.; Tessier, C.A.; Youngs, W.J. Synthesis and Structural Characterization of an Imidazolium-Linked Cyclophane and the Silver Complex of an N-Heterocyclic Carbene-Linked Cyclophane. Organometallics 2001, 20, 1276–1278. [Google Scholar] [CrossRef]
- Available online: https://www.sigmaaldrich.com/catalog/product/sial/72910?lang=en®ion=RO&gclid=EAIaIQobChMI2Lbo_oP55QIVE-R3Ch1CQwsMEAAYASAAEgIiTfD_BwE (accessed on 16 November 2019).
© 2019 by the authors. Licensee MDPI, Basel, Switzerland. This article is an open access article distributed under the terms and conditions of the Creative Commons Attribution (CC BY) license (http://creativecommons.org/licenses/by/4.0/).
