(E)-1-(2-Aminophenyl)-3-(benzo[d][1,3]dioxol-5-yl)prop-2-en-1-one
Abstract
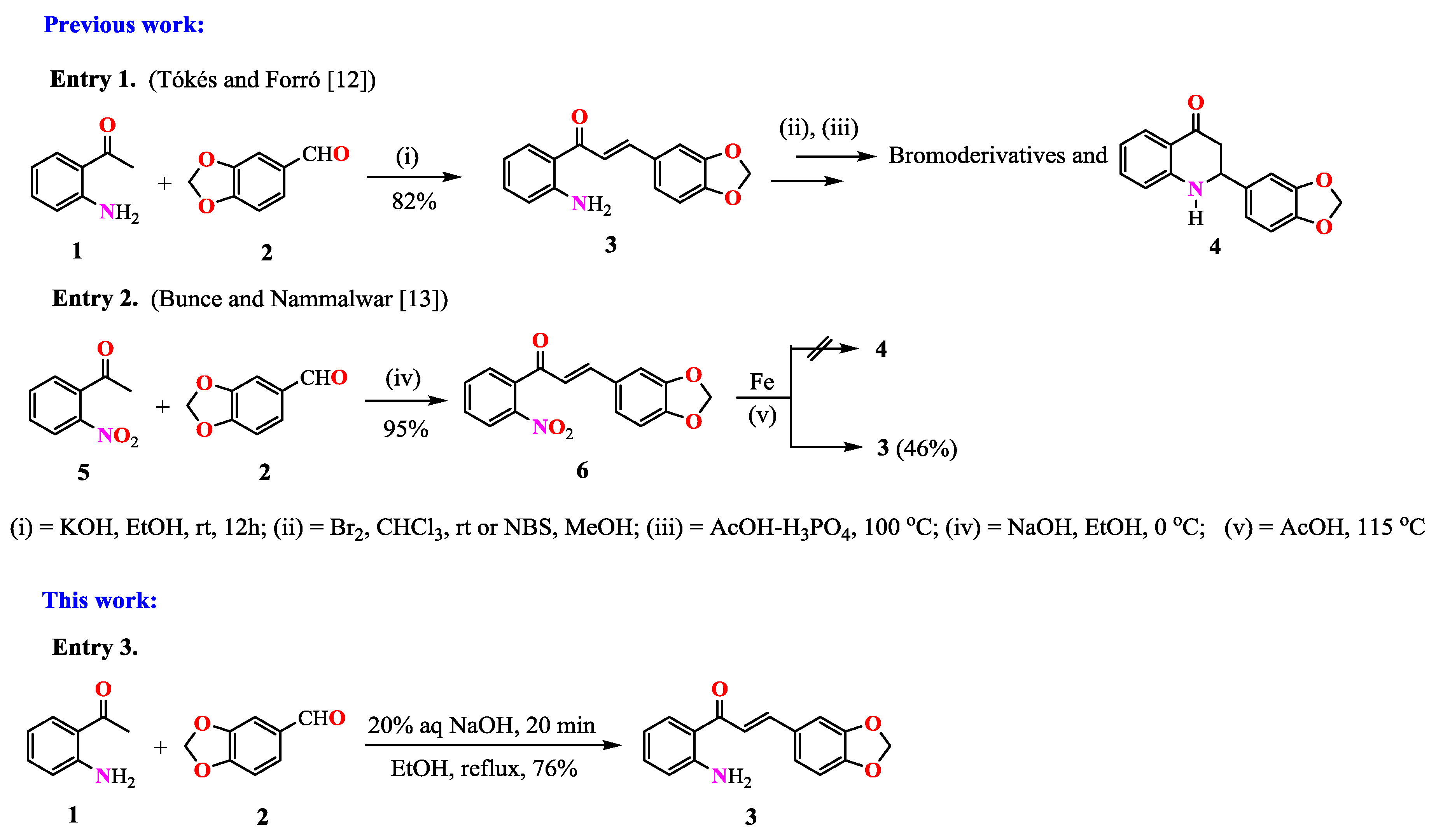
:1. Introduction
2. Results and Discussion
2.1. Structural Analysis
2.2. Supramolecular Features
3. Materials and Methods
3.1. General Information
3.2. Synthesis of (E)-1-(2-Aminophenyl)-3-(benzo[d][1,3]dioxol-5-yl)prop-2-en-1-one (3)
Supplementary Materials
Acknowledgments
Author Contributions
Conflicts of Interest
References and Note
- Pereira-Ávila, H.; de Albino-Smânia, E.F.; Delle-Monache, F.; Smânia-Júnior, A. Structure-activity relationship of antibacterial chalcones. Bioorg. Med. Chem. 2008, 16, 9790–9794. [Google Scholar] [CrossRef] [PubMed]
- Sivakumar, P.M.; Muthu-Kumar, T.; Doble, M. Antifungal activity, mechanism and QSAR studies on chalcones. Chem. Biol. Drug Des. 2009, 74, 68–79. [Google Scholar] [CrossRef] [PubMed]
- Modzelewska, A.; Pettit, C.; Achanta, G.; Davidson, N.E.; Huang, P.; Khan, S.R. Anticancer activities of novel chalcone and bis-chalcone derivatives. Bioorg. Med. Chem. 2006, 14, 3491–3495. [Google Scholar] [CrossRef] [PubMed]
- Won, S.-J.; Liu, C.-T.; Tsao, L.-T.; Weng, J.-R.; Ko, H.-H.; Wang, J.-P.; Lin, C.-N. Synthetic chalcones as potential anti-inflammatory and cancer chemopreventive agents. Eur. J. Med. Chem. 2005, 40, 103–112. [Google Scholar] [CrossRef] [PubMed]
- Elarfi, M.J.; Al-Difar, H.A. Synthesis of some heterocyclic compounds derived from chalcones. Sci. Revs. Chem. Commun. 2012, 2, 103–107. [Google Scholar]
- Kalirajan, R.; Sivakumar, S.U.; Jubie, S.; Gowramma, B.; Suresh, B. Synthesis and biological evaluation of some heterocyclic derivatives of chalcones. Int. J. ChemTech Res. 2009, 1, 27–34. [Google Scholar]
- Bandgar, B.P.; Patil, S.A.; Gacche, R.N.; Korbad, B.L.; Hote, B.S.; Kinkar, S.N.; Jalde, S.S. Synthesis and biological evaluation of nitrogen-containing chalcones as possible anti-inflammatory and antioxidant agents. Bioorg. Med. Chem. Lett. 2010, 20, 730–733. [Google Scholar] [CrossRef] [PubMed]
- Gabrielsen, B.; Monath, T.; Huggins, J.; Kefauver, D.; Pettit, G.; Groszek, G.; Hollingshead, M.; Kirsi, J.; Shannon, W.; Schubert, E.M.; et al. Antiviral (RNA) activity of selected amaryllidaceae isoquinoline constituents and synthesis of related substances. J. Nat. Prod. 1992, 55, 1569–1581. [Google Scholar] [CrossRef] [PubMed]
- Krause, W.; Goeber, B. Spasmolytic effects of tetrahydroisoquinoline derivatives. Pharmazie 1972, 27, 419–420. [Google Scholar] [PubMed]
- Abonia, R.; Cuervo, P.; Insuasty, B.; Quiroga, J.; Nogueras, M.; Cobo, J.; Meier, H.; Lotero, E. An Amberlyst-15® mediated synthesis of new functionalized dioxoloquinolinone derivatives. Open Org. Chem. J. 2008, 2, 26–34. [Google Scholar] [CrossRef]
- Abonia, R.; Cuervo, P.; Insuasty, B.; Quiroga, J.; Nogueras, M.; Cobo, J. A simple two-step sequence for the synthesis of novel 3-aryl[1,3]dioxolobenzo[f]pyrrolo[1,2-a]azepin-11-ones from 6-amino-3,4-methylenedioxyacetophenone. Eur. J. Org. Chem. 2008, 4684–4689. [Google Scholar] [CrossRef]
- Tókés, A.L.; Forró, I. Bromo-derivatives of 2′-NHR-3,4-methylenedioxychalcone and its 4-quinolone isomer. Synth. Commun. 1991, 21, 1201–1211. [Google Scholar] [CrossRef]
- Bunce, R.A.; Nammalwar, B. (±)-2-Aryl-2,3-dihydro-4(1H)-quinolinones by a tandem reduction–Michael addition reaction. J. Heterocyclic Chem. 2011, 48, 613–619. [Google Scholar] [CrossRef]
- Low, J.N.; Cobo, J.; Nogueras, M.; Sánchez, A.; Albornoz, A.; Abonia, R. A comparison of the supramolecular structures of 1-(6-amino-1,3-benzo-dioxol-5-yl)-3-(3,4,5-trimethoxy-phenyl)prop-2-en-1-one and 1-(6-amino-1,3-benzodioxol-5-yl)-3-[4-(N,N-dimethylamino)phenyl]-prop-2-en-1-one. Acta Cryst. 2002, C58, o42–o45. [Google Scholar]
- Low, J.N.; Cobo, J.; Nogueras, M.; Cuervo, P.; Abonia, R.; Glidewell, C. Polarized molecular-electronic structures and supramolecular aggregation in 1-(6-amino-1,3-benzo-dioxol-5-yl)-3-arylprop-2-en-1-ones. Acta Cryst. 2004, C60, o744–o750. [Google Scholar]
- Nardelli, M. PARST95—An update to PARST: A system of Fortran routines for calculating molecular structure parameters from the results of crystal structure analyses. J. Appl. Cryst. 1995, 28, 659. [Google Scholar] [CrossRef]
- Etter, M. Encoding and decoding hydrogen-bond patterns of organic compounds. Acc. Chem. Res. 1990, 23, 120–126. [Google Scholar] [CrossRef]
- Oxford Diffraction CrysAlis PRO. 2010, Oxford Diffraction Ltd., Yarnton, England.
- Sheldrick, G.M. Crystal structure refinement with SHELXL. Acta Cryst. 2015, C71, 3–8. [Google Scholar]



| Bond Lengths | |
|---|---|
| C1-C7; 1.4696(18) | C17-C23; 1.4712(18) |
| C7-O1; 1.2445(16) | C23-O4; 1.2431(16) |
| C8-C9; 1.3334(19) | C24-C25; 1.3322(19) |
| C9-C10; 1.4553(19) | C25-C26; 1.4570(18) |
| C10-C15; 1.3949(18) | C26-C31; 1.3966(18) |
| O2-C12; 1.3608(17) | O5-C28; 1.3691(16) |
| O3-C13; 1.3662(17) | O6-C29; 1.3663(16) |
| C11-C12; 1.3591(19) | C27-C28; 1.3611(19) |
| C13-C14; 1.363(2) | C29-C30; 1.3647(19) |
| Angles | |
| C7-C8-C9; 122.35(13) | C17-C23-C24; 119.00(12) |
| C8-C9-C10; 126.41(13) | C24-C25-C26; 126.36(13) |
| Torsion Angles | |
| N1-C2-C1-C7; -2.2(2) | N2-C18-C17-C23; −0.57(18) |
| C2-C1-C7-O1; 1.9(2) | C18-C17-C23-O4; 7.32(18) |
| D–H...A | D–H | H...A | D...A | D–H...A |
|---|---|---|---|---|
| N2-H3N…O1 | 0.899(18) | 2.132(19) | 3.0293(16) | 175.8(16) |
| N1-H1N…O4i | 0.88(2) | 2.22(2) | 3.0254(17) | 152.6(16) |
| C32-H32B…O5ii | 0.99 | 2.49 | 3.3497(17) | 144.9 |
© 2016 by the authors; licensee MDPI, Basel, Switzerland. This article is an open access article distributed under the terms and conditions of the Creative Commons Attribution (CC-BY) license (http://creativecommons.org/licenses/by/4.0/).
Share and Cite
Abonia, R.; Arteaga, D.; Insuasty, D.; Quiroga, J.; Insuasty, B.; Moreno-Fuquen, R.; Kennedy, A.R. (E)-1-(2-Aminophenyl)-3-(benzo[d][1,3]dioxol-5-yl)prop-2-en-1-one. Molbank 2017, 2017, M924. https://doi.org/10.3390/M924
Abonia R, Arteaga D, Insuasty D, Quiroga J, Insuasty B, Moreno-Fuquen R, Kennedy AR. (E)-1-(2-Aminophenyl)-3-(benzo[d][1,3]dioxol-5-yl)prop-2-en-1-one. Molbank. 2017; 2017(1):M924. https://doi.org/10.3390/M924
Chicago/Turabian StyleAbonia, Rodrigo, Diana Arteaga, Daniel Insuasty, Jairo Quiroga, Braulio Insuasty, Rodolfo Moreno-Fuquen, and Alan R. Kennedy. 2017. "(E)-1-(2-Aminophenyl)-3-(benzo[d][1,3]dioxol-5-yl)prop-2-en-1-one" Molbank 2017, no. 1: M924. https://doi.org/10.3390/M924
APA StyleAbonia, R., Arteaga, D., Insuasty, D., Quiroga, J., Insuasty, B., Moreno-Fuquen, R., & Kennedy, A. R. (2017). (E)-1-(2-Aminophenyl)-3-(benzo[d][1,3]dioxol-5-yl)prop-2-en-1-one. Molbank, 2017(1), M924. https://doi.org/10.3390/M924

