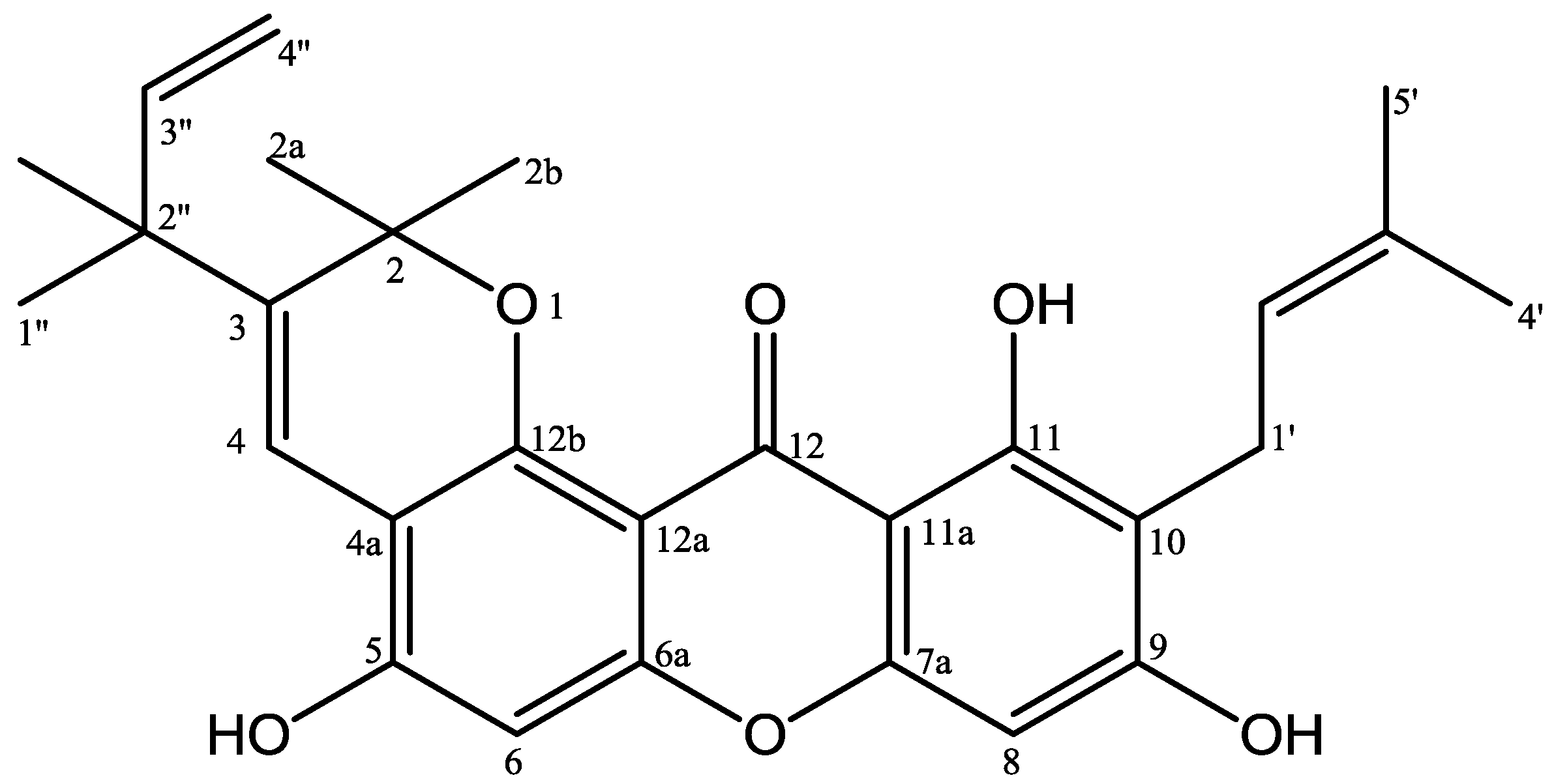
5,9,11-Trihydroxy-2,2-dimethyl-10-(3′-methyl-2′-butenyl)-3-(2″-methyl-3″-butenyl)pyrano[2,3-a]xanthen-12(2H)-one from the Stem Bark of Calophyllum pseudomole
Abstract
:1. Introduction
2. Result and Discussion
3. Experimental Section
3.1. General
3.2. Plant Material
3.3. Extraction and Isolation
3.4. DPPH Radical Scavenging
Supplementary Materials
Acknowledgments
Author Contributions
Conflicts of Interest
References
- Ito, C.; Itoigawa, M.; Mishina, Y.; Filho, V.C.; Mukainaka, T.; Tokuda, H.; Nishino, H.; Furukawa, H. Chemical constituents of Calophyllum brasiliensis: Structure elucidation of seven xanthones and their cancer chemopreventive activity. J. Nat. Prod. 2002, 65, 267–272. [Google Scholar] [CrossRef] [PubMed]
- Morel, C.; Seraphin, D.; Oger, J.M.; Litaudon, M.; Sevenet, T.; Richomme, P.; Bruneton, J. New xanthones from Calophyllum caledonicum. J. Nat. Prod. 2000, 63, 1471–1474. [Google Scholar] [CrossRef] [PubMed]
- Wei, D.J.; Mei, W.L.; Zhong, H.M.; Zeng, Y.B.; Wu, X.D.; Dai, H.F. A new prenylated xanthone from the branches of Calophyllum inophyllum. J. Asian Nat. Prod. Res. 2011, 13, 265–269. [Google Scholar] [CrossRef] [PubMed]
- Joshi, S.P.; Kulkarni, S.R.; Phalgune, U.D.; Puranik, V.G. New dipyranocoumarin from the leaves of Calophyllum apetalum Willd. Nat. Prod. Res. 2013, 27, 1896–1901. [Google Scholar] [CrossRef] [PubMed]
- Guilet, D.G.; Helesbeux, J.J.; Seraphin, D.; Sevenet, T.; Richomme, P.; Bruneton, J. Novel cytotoxic 4-phenilcoumarins from Calophyllum dispar. J. Nat. Prod. 2001, 64, 563–568. [Google Scholar] [CrossRef] [PubMed]
- Daud, S.B.; Ee, G.C.L.; Malek, E.A.; Teh, S.S.; See, I. A new coumarin from Calophyllum hosei. Nat. Prod. Res. 2014, 28, 1534–1538. [Google Scholar] [CrossRef] [PubMed]
- Reyes, M.H.; Basualdo, M.C.; Abe, F.; Estrada, M.J.; Soler, C.; Chilpa, R.R. HIV-1 inhibitory compounds from Calophyllum brasiliense leaves. Biol. Pharm. Bull. 2004, 27, 1471–1475. [Google Scholar] [CrossRef]
- Ha, L.D.; Hansen, P.E.; Duus, F.; Pham, H.D.; Nguyen, L.D. A new chromanone acid from the bark of Calophyllum dryobalanoides. Phytochem. Lett. 2012, 5, 287–291. [Google Scholar] [CrossRef]
- Cottiglia, F.; Dhanapal, B.; Sticher, O.; Heilmann, J. New chromanone acids with antibacterial activity from the bark of Calophyllum brasiliense. J. Nat. Prod. 2004, 67, 537–541. [Google Scholar] [CrossRef] [PubMed]
- Ferchichi, L.; Derbre, S.; Mahmood, K.; Toure, K.; Guilet, D.; Litaudon, M.; Awang, K.; Hadi, A.H.A.; Ray, A.M.L.; Richomme, P. Bioguided fractionation and isolation of natural inhibitors of advanced glycation end-products (AGEs) from Calophyllum flavoramulum. Phytochemistry 2012, 78, 98–106. [Google Scholar] [CrossRef] [PubMed]
- Burkill, I.H. A Dictionary of the Economic Products of the Malay Peninsula; Goverment of Malaysia and Singapore by the Ministry of Agriculture and Co-Operatives: Kuala Lumpur, Malaysia, 1966; pp. 410–417.
- Tjahjandarie, T.S.; Saputri, R.D.; Tanjung, M. Methyl 2,5-dihydroxy-4-(3′-methyl-2′-butenyl)benzoate. Molbank 2016, M892. [Google Scholar] [CrossRef]
- Tanjung, M.; Tjahjandarie, T.S.; Sentosa, M.H. Antioxidant and cytotoxic agent from the rhizomes of Kaempferia pandurata. Asian Pac. J. Trop. Dis. 2013, 3, 401–404. [Google Scholar] [CrossRef]
- Tanjung, M.; Saputri, R.D.; Tjahjandarie, T.S. Antioxidant activity of two isomeric benzoxepin derivatives from the stem bark of Bauhinia acuelata L. J. Chem. Pharm. Res. 2014, 6, 705–708. [Google Scholar]


| No. C | δH (Mult, J Hz) | δC | HMBC |
|---|---|---|---|
| 2 | - | 80.3 | - |
| 2a | 1.49 (s, 3H) | 27.3 | C-2; C-2b |
| 2b | 1.49 (s, 3H) | 27.3 | C-2; C-2a |
| 3 | - | 137.6 | - |
| 4 | 8.19 (s, 1H) | 118.8 | C-2; C-3; C-4a; C-2″ |
| 4a | - | 108.4 | - |
| 5 | - | 154.1 | - |
| 6 | 6.77 (s, 1H) | 102.9 | C-4a; C-5; C-6a |
| 6a | - | 153.3 | - |
| 7a | - | 155.9 | - |
| 8 | 6.40 (s, 1H) | 93.2 | C-7a; C-9; C-10; C-11a |
| 9 | - | 162.9 | - |
| 10 | - | 110.9 | - |
| 11 | - | 161.5 | - |
| 11a | - | 103.8 | - |
| 12 | - | 183.1 | - |
| 12a | - | 122.8 | - |
| 12b | - | 149.7 | - |
| 1′ | 3.34 (d, 7.3, 2H) | 21.9 | C-9; C-10; C-11; C-2′; C-3′ |
| 2′ | 5.27 (t, 7.3, 1H) | 123.4 | C-1′; C-4′, C-5′ |
| 3′ | - | 131.4 | - |
| 4′ | 1.63 (s, 3H) | 25.9 | C-2′; C-3′; C-5′ |
| 5′ | 1.77 (s, 3H) | 17.8 | C-2′; C-3′; C-4′ |
| 1″ | 1.41 (s) | 28.6 | C-2″; C-3″, 2″-CH3 |
| 2″ | - | 42.7 | - |
| 2″-CH3 | 1.41 (s) | 28.6 | C-1″; C-2″, C-3″ |
| 3″ | 6.02 (dd, 10.6; 17.5, 1H) | 147.9 | C-1″; C-2″ |
| 4″ | 5.16 (dd, 1.1; 17.5, 1H) 5.08 (dd, 1.1; 10.6, 1H) | 112.2 | C-2″, C-3″ |
| 11-OH | 13.77 (s, 1H) | - | C-10; C-11; C-11a |
© 2016 by the authors; licensee MDPI, Basel, Switzerland. This article is an open access article distributed under the terms and conditions of the Creative Commons Attribution (CC-BY) license (http://creativecommons.org/licenses/by/4.0/).
Share and Cite
Tanjung, M.; Saputri, R.D.; Tjahjandarie, T.S. 5,9,11-Trihydroxy-2,2-dimethyl-10-(3′-methyl-2′-butenyl)-3-(2″-methyl-3″-butenyl)pyrano[2,3-a]xanthen-12(2H)-one from the Stem Bark of Calophyllum pseudomole. Molbank 2016, 2016, M906. https://doi.org/10.3390/M906
Tanjung M, Saputri RD, Tjahjandarie TS. 5,9,11-Trihydroxy-2,2-dimethyl-10-(3′-methyl-2′-butenyl)-3-(2″-methyl-3″-butenyl)pyrano[2,3-a]xanthen-12(2H)-one from the Stem Bark of Calophyllum pseudomole. Molbank. 2016; 2016(3):M906. https://doi.org/10.3390/M906
Chicago/Turabian StyleTanjung, Mulyadi, Ratih Dewi Saputri, and Tjitjik Srie Tjahjandarie. 2016. "5,9,11-Trihydroxy-2,2-dimethyl-10-(3′-methyl-2′-butenyl)-3-(2″-methyl-3″-butenyl)pyrano[2,3-a]xanthen-12(2H)-one from the Stem Bark of Calophyllum pseudomole" Molbank 2016, no. 3: M906. https://doi.org/10.3390/M906
APA StyleTanjung, M., Saputri, R. D., & Tjahjandarie, T. S. (2016). 5,9,11-Trihydroxy-2,2-dimethyl-10-(3′-methyl-2′-butenyl)-3-(2″-methyl-3″-butenyl)pyrano[2,3-a]xanthen-12(2H)-one from the Stem Bark of Calophyllum pseudomole. Molbank, 2016(3), M906. https://doi.org/10.3390/M906

