Abstract
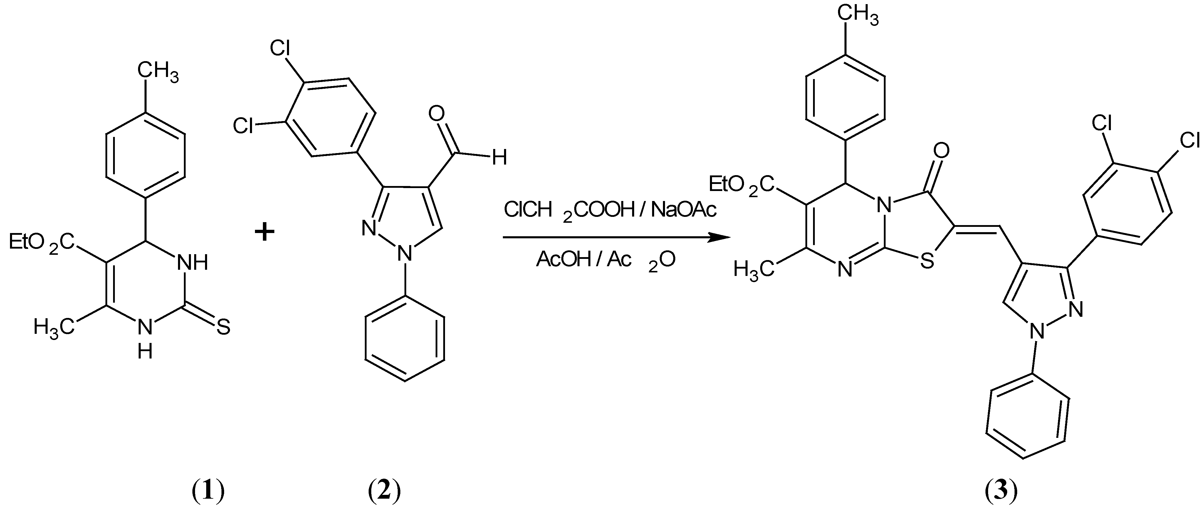
A simple route for synthesis of compound 3 via three component reaction involving ethyl 6-methyl-4-(4-methylphenyl)-2-thioxo-1,2,3,4-tetrahydropyrimidine-5-carboxylate (1), 3-(3,4-dichlorophenyl)-1-phenyl-1H-pyrazole-4-carbaldehyde (2) and monochloroacetic acid is described. The newly synthesized compound is well characterized by elemental analysis, IR, 1H-NMR and mass spectral studies.
Introduction
Pyrimidine derivatives have been reported to possess a broad spectrum of pharmacological properties including antiviral, antiumor, antibacterial and antihypertensive effects [1,2]. Thiazoles and their derivatives are also found to be associated with various biological activities such as antifungal, antibacterial and anti-inflammatory [3,4,5]. Thiazolo[3,2-a]pyrimidine systems have been known for their unique pharmaceutical and medicinal applications [6,7]. On the other hand the synthesis and the chemistry of the pyrazole nucleus has received much attention during recent decades due to its outstanding biological activities [8,9,10]. Chemistry and promising biological activities of these derivatives prompted us to synthesize and characterize the title compound.
Results and Discussion
The title compound, ethyl 7-methyl-5-(4-methylphenyl)-3-oxo-2-{[3-(3,4-dichlorophenyl)-1-phenyl-1H-pyrazol-4-yl]methylidene}-2,3-dihydro-5H-[1,3]thiazolo[3,2-a]pyrimidine-6-carboxylate (3), was synthesized by one pot multi-component reaction involving ethyl 6-methyl-4-(4-methylphenyl)-2-thioxo-1,2,3,4-tetrahydropyrimidine-5-carboxylate (1), 3-(3,4-dichlorophenyl)-1-phenyl-1H-pyrazole-4-carbaldehyde (2) and monochloro acetic acid in presence of anhydrous sodium acetate in acetic acid-acetic anhydride medium [11,12,13]. The starting material ethyl 6-methyl-4-(4-methylphenyl)-2-thioxo-1,2,3,4-tetrahydropyrimidine-5-carboxylate (1) was synthesized by Biginelli reaction involving 4-methylbenzaldehyde, ethyl acetoacetate and thiourea in presence of SnCl2·2H2O catalyst according to the procedure reported in the literature [14]. The other precursor, 3-(3,4-dichlorophenyl)-1-phenyl-1H-pyrazole-4-carbaldehyde (2) was obtained by Vilsmeier reaction of the corresponding phenylhydrazone [15]. The structure of the newly synthesized compound 3 was established on the basis of elemental analysis, IR, NMR and mass spectral studies. The configuration (E or Z) at the double bond was not determined.
The 1H-NMR spectrum of compound 3 was verified on the basis of their chemical shifts, multiplicities, and coupling constants. A triplet appeared at δ 1.09 ppm and quartet at δ 3.99 ppm confirmed the presence of methyl and methylene protons of the ester chain. Two characteristic singlets appeared at δ 5.95 ppm and δ 8.79 ppm was due to the proton present in the pyrimidine and pyrazole ring respectively. Benzylidene proton appeared as a singlet at δ 7.48 ppm. Two singlets observed at δ 2.23 ppm and δ 2.31 ppm indicated the presence of two methyl group present in the structure. A multiplet observed in the region δ 7.11–8.02 ppm for 12 aromatic protons present in the title compound. In the IR spectrum, the sharp absorption band appeared at 1,653 cm−1 was due to carbonyl group of the ester and other sharp band appeared at 1,614 cm−1 was due to the cyclic carbonyl group. LCMS and 13C-NMR spectrum was in complete agreement with the title compound.
Experimental
Melting points were determined by open capillary method and are uncorrected. The IR spectrum (in KBr pellets) was recorded on a Shimadzu FT-IR spectrophotometer. 1H-NMR spectrum was recorded on a Bruker AMX-400 (400 MHz) spectrophotometer using TMS as an internal standard. 13C-NMR spectrum was recorded for approximately 0.03 M solutions in DMSO-d6 at 100 MHz with TMS as internal standard. The mass spectrum was recorded on a Agilent 1200 series LC and Micromass zQ spectrometer. Elemental analysis was carried out by using VARIO EL-III (Elementar Analysensysteme GmBH). The purity of the compounds was checked by thin layer chromatography (TLC) on silica gel plate using n-hexane and ethyl acetate (4:1, v/v).
A mixture of ethyl 6-methyl-4-(4-methylphenyl)-2-thioxo-1,2,3,4-tetrahydropyrimidine-5-carboxylate 1 (2.90 g, 10 mmol), 3-(3,4-dichlorophenyl)-1-phenyl-1H-pyrazole-4-carbaldehyde 2 (3.17 g, 10 mmol), monochloroacetic acid (1.41 g, 15 mmol) and anhydrous sodium acetate (2 g) was dissolved in glacial acetic acid (25 mL)-acetic anhydride (20 mL) mixture and were heated to reflux for 6 h. The reaction mixture was cooled to room temperature and poured into crushed ice with vigorous stirring. The precipitated solid was filtered under suction, washed with cold water and recrystallized from ethanol. Yield was 5.31g (84%).
Melting point: 105–107 °C.
LCMS: m/z = 629(M+), 631(M++2), 633 (M++4).
IR (KBr): νmax (cm−1), 2922, 2980 (C-H), 1712 (C=O ester), 1614 (cyclic C=O), 1552 (C=N and aromatic C=C) , 1159 (C-O), 756 (C-Cl).
1H-NMR (400 MHz, DMSO-d6): δ ppm, 1.09 (t, 3H, J = 7 Hz, ester-CH3), 3.99 (q, 2H, J = 7.12 Hz ester-CH2), 2.31 (s, 3H, CH3), 2.23 (s, 3H, Ar-CH3), 5.95 (s, 1H, pyrimidine-CH), 7.48 (s, 1H, CH), 7.11–8.02 (m, 12H, Ar-H), 8.79 (s, 1H, pyrazole CH).
13C-NMR (100 MHz, DMSO-d6): δ ppm, 13.88 (ester CH3), 20.67 (CH3), 22.47 (CH3), 54.72 (ester CH2), 60.14 (CH), 108.75, 115.56, 119.35, 119.42, 122.24, 127.38, 127.69, 128.32, 128.71, 129.21, 129.58, 130.08, 131.13, 131.75, 131.79, 131.88, 137.47, 138.00, 138.49, 150.97, 151.01, 155.14, 163.91,164.82 (C=O).
Elemental analysis: Calculated for C33H26Cl2N4O3S, C, 62.96%; H, 4.16%; N, 8.90% Found: C, 62.90%; H, 4.11%, N, 8.85%.
Supplementary materials
Supplementary File 1Supplementary File 2Supplementary File 3Supplementary File 4Acknowledgments
The authors are thankful to Department of Studies in Chemistry, Mangalagangothri, Mangalore University for providing necessary facilities.
References
- Kappe, C.O. 100 Years of the biginelli dihydropyrimidine synthesis. Tetrahedron 1993, 49, 6937–6963. [Google Scholar] [CrossRef]
- Atwal, K.S.; Swanson, B.N.; Unger, S.E.; Floyd, D.M.; Moreland, S.; Hedberg, A.; O’Reilly, B.C. Dihydropyrimidine calcium channel blockers. 3. 3-Carbamoyl-4-aryl-1,2,3,4-tetrahydro-6-methyl-5-pyrimidinecarboxylic acid esters as orally effective antihypertensive agents. J. Med. Chem. 1991, 34, 806–811. [Google Scholar] [PubMed]
- Wilson, K.J.; Illig, C.R.; Subhasinghe, N.; Hoffmann, J.B.; Rudolph, M.J.; Soll, R.; Molloy, C.J.; Bone, R.; Green, D.; Randall, T.; et al. Synthesis of thiophene-2-carboxamidines containing 2-amino-thiazoles and their biological evaluation as urokinase inhibitors. Bioorg. Med. Chem. Lett. 2001, 11, 915–918. [Google Scholar] [CrossRef]
- Berlin, K.D.; Herd, M.D. Novel 2-amino-4-aryl-substituted and 2-amino-4,5-disubstituted-Thiazoles. Proc. Okla. Acad. Sci. 1991, 71, 29–33. [Google Scholar]
- Holla, B.S.; Malini, K.V.; Rao, B.S.; Sarojini, B.K.; Kumari, N.S. Synthesis of some new 2,4-disubstituted thiazoles as possible antibacterial and anti-inflammatory agents. Eur. J. Med. Chem. 2003, 38, 313–318. [Google Scholar] [CrossRef]
- Zhi, H.; Chen, L.; Zhang, L.; Liu, S.; Cheong Wan, D.C.; Lin, H.; Hu, C. Design, synthesis, and biological evaluation of 5H-thiazolo[3,2-a]pyrimidine derivatives as a new type of acetylcholinesterase inhibitors. ARKIVOC 2008, xiii, 266–277. [Google Scholar]
- Zhi, H.; Chen, L.; Zhang, L.; Liu, S.; Wan, D.C.C.; Lin, H.; Hu, C. Design, synthesis, and biological evaluation of 5H-thiazolo[3,2-a]pyrimidine-6-carboxylic acid ethyl ester derivatives as a novel series of acetylcholinesterase inhibitors. Chem. Res. Chin. Univ. 2009, 25, 332–337. [Google Scholar]
- Aly, M.F.; El-Naggar, G.M.; El-Emary, T.I.; Grigg, R.; Metwally, S.A.M.; Sivagnanam, S. X=Y–ZH Compounds as potential 1,3-Dipoles: Part 41. Azomethine ylide formation from the reactions of α-amino acids and esters with alloxan (strecker degradation) and with 1-phenyl-3-methylpyrazolin-4,5-dione. Tetrahedron. 1994, 50, 895–906. [Google Scholar] [CrossRef]
- Jung, M.E.; Min, S.J.; Houk, K.N.; Ess, D. Synthesis and relative stability of 3,5-diacyl-4,5-dihydro-1H-pyrazoles prepared by dipolar cycloaddition of enones and α-diazoketones. J. Org. Chem. 2004, 69, 9085–9089. [Google Scholar] [CrossRef] [PubMed]
- El-Emary, T.I. Synthesis of newly substituted pyrazoles and substituted pyrazolo [3,4-b]pyridines based on 5-amino-3-methyl-1-phenylpyrazole. J. Chin. Chem. Soc. 2007, 54, 507–518. [Google Scholar] [CrossRef]
- Ali, M.I.; El-fotooh, A.; Hamman, G.; Mohamad, S.F. Synthesis and reactions of 2,3-dihydro-5-aryl-5h,6h-thiazolo[3,2-b]-2,4-diazafluorene-3,6-diones of potential biological activities. Phosphorus Sulfur Silicon Relat. Elem. 1988, 39, 211–216. [Google Scholar] [CrossRef]
- Abdel-Gawad, S.M.; El-Gaby, M.S.A.; Ghorab, M.M. Synthesis and antifungal activity of novel pyrano[2',3':4,5]thiazolo[2,3-b]quinazolines, pyrido[2',3':4,5]thiazolo[2,3-b]quinazolines and pyrazolo[2',3':4,5]thiazolo[2,3-b]quinazolines. Il Farmaco 2000, 55, 287–292. [Google Scholar] [CrossRef]
- Mobinikhaledi, A.; Foroughifar, N.; Ebrahimi, S.; Rahimi, F.; Zandi, F. Synthesis of some novel 2-arylidene thiazoloquinazolinone derivatives via one-pot, three-component reaction. Phosphorus, Sulfur Silicon Relat. Elem. 2011, 186, 457–463. [Google Scholar] [CrossRef]
- Russowsky, D.; Lopes, F.A.; da Silva, V.S.S.; Canto, K.F.S.; D’Oca, M.G.M.; Godoi, M.N. Multicomponent Biginelli’s synthesis of 3,4-dihydropyrimidin-2(1H)-ones promoted by SnCl2.2H2O. J. Braz. Chem. Soc. 2004, 15, 165–168. [Google Scholar]
- Kira, M.A.; Abdel-Rahman, M.O.; Gadalla, K.Z. The Vilsmeier-haack reaction–III cyclization of hydrazones to pyrazoles. Tetrahedron Lett. 1969, 10, 109–110. [Google Scholar] [CrossRef]
© 2012 by the authors; licensee MDPI, Basel, Switzerland. This article is an open access article distributed under the terms and conditions of the Creative Commons Attribution license (http://creativecommons.org/licenses/by/3.0/).
