Mercuric(II) Acetate Oxidation of Steroidal Exocyclic α,β-Unsaturated Ketone: Transformation into a Cyclic Ether
Abstract
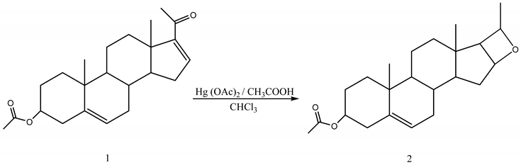
:
Experimental
Supplementary materials
Supplementary File 1Supplementary File 2Supplementary File 3Acknowledgement
References and Notes
- Pradhan, B.P.; Ghosh, P.; Chakraborty, S. Oxidation of triterpenoids: Part X–Oxidation of lupenyl acetate and methyl acetylbetulenate with selenium dioxide and hydrogen peroxide in t-butanol. Ind. J. Chem. 1991, 30, 549–553. [Google Scholar]
- Pradhan, B.P.; Dutta, S.; Ghosh, R.K.; Ghosh, P. Studies on oxidation of triterpenoids: Part XI–Oxygenation of friedelin in presence of potassium t-butoxide in t-butanol. Ind. J. Chem. 1991, 30, 7–12. [Google Scholar]
- Pradhan, B.P.; Ghosh, P. Studies on reactions of 2- bromo 3- keto triterpenoids: Part IV–debromination and dehydrobromination of 2α-bromo and 2,2-dibromoderivatives of lupanone and methyl dihydrobetulonate. Ind. J. Chem. 1993, 32, 1068–1069. [Google Scholar]
- Pradhan, B.P.; Ghosh, P. Studies on the action of N–bromo succinimide on 3-oximinolupanes in CHCl3–DMSO. Ind. J. Chem. 1993, 32, 491–493. [Google Scholar]
- Pradhan, B.P.; Ghosh, P. Studies on reactions of 2-bromo-3-keto triterpenoids: Part IV–debromination and dehydrobromination of 2α-bromo and 2,2-dibromoderivatives of lupanone and methyl dihydrobetulonate. Ind. J. Chem. 1994, 33, 73–75. [Google Scholar]
- Dutta, G. Chemical Investigation of Naturally Occurring Carbocyclic Ring Compounds. Ph.D Thesis, University of North Bengal, Darjeeling, India, 1989. [Google Scholar]
- Vystrcil, A.; Blecha, Z. A revised structure for the product of oxidation of betulin with mercuric acetate. Chem. Ind. 1969, 418–419. [Google Scholar]
- Vystrcil, A.; Blecha, Z. Dehydrogenation of 20(29)-lupane derivatives with mercuric acetate. Coll. Czech. Chem. Commun. 1970, 35, 3309–3319. [Google Scholar] [CrossRef]
- Ortar, G.; Torrini, I. Metal salt oxidations of steroid olefins: Reaction of 17-methylene-5α-androstan-3β-yl acetate with lead(IV), thallium(III) and mercury(II) acetates in methanol. Tetrahedron 1977, 33, 859–863. [Google Scholar] [CrossRef]
- Romo, J.; Rosenkranz, G.; Djerassi, C. Steroids. XXIII. Δ7,9(11)-allopregnadiene-3β,20β-diol and related compounds. J. Am. Chem. Soc. 1951, 73, 5489–5490. [Google Scholar]
- Turner, A.B. Chapter 12. Terpenoids and steroids. Annu. Rep. Prog. Chem., Sect. B: Org. Chem. 1969, 66, 389–422. [Google Scholar] [CrossRef]
- Heilbron, I.M.; Kennedy, T.; Spring, F.S.; Swain, G. Studies in the sterol group. Part XXXVII. The structure of lumisterol and its stereoisomers. J. Chem. Soc. 1938, 869–876. [Google Scholar] [CrossRef]
- Ruyle, W.V.; Jacob, T.A.; Chemerda, J.M.; Chamberlin, E.M.; Rosenburg, D.W.; Sita, G.E.; Erickson, R.L.; Aliminosa, L.M.; Tishler, M. The Preparation of Δ7,9(11)-allo-steroids by the action of mercuric acetate on Δ7-allo-steroids. J. Am. Chem. Soc. 1953, 75, 2604–2609. [Google Scholar] [CrossRef]
- Blossey, E.C.; Kucinski, P. Unusual mercury(II) acetate oxidation of steroidal alkenes. J. Chem. Soc., Chem. Commun. 1973, 56–57. [Google Scholar] [CrossRef]
- Smith, R.G.; Ensley, H.E.; Smith, H.E. Mercuration of α,β-unsaturated steroidal ketones and other unsaturated systems. J. Org. Chem. 1972, 37, 4430–4435. [Google Scholar] [CrossRef] [PubMed]
- Angelastro, M.R.; Marquart, A.L.; Weintraub, P.M.; Gates, C.A.; Laughlin, M.E.; Blohm, T.R.; Peet, N.P. Time-dependent inactivation of steroid C17(20) lyase by 17β-cyclopropyl ether-substituted steroids. Bioorg. Med. Chem. Lett. 1996, 6, 97–100. [Google Scholar] [CrossRef]
© 2009 by the authors; licensee Molecular Diversity Preservation International, Basel, Switzerland. This article is an open-access article distributed under the terms and conditions of the Creative Commons Attribution license (http://creativecommons.org/licenses/by/3.0/).
Share and Cite
Ghosh, P.; Sarkar, A.; Das, J. Mercuric(II) Acetate Oxidation of Steroidal Exocyclic α,β-Unsaturated Ketone: Transformation into a Cyclic Ether. Molbank 2009, 2009, M616. https://doi.org/10.3390/M616
Ghosh P, Sarkar A, Das J. Mercuric(II) Acetate Oxidation of Steroidal Exocyclic α,β-Unsaturated Ketone: Transformation into a Cyclic Ether. Molbank. 2009; 2009(3):M616. https://doi.org/10.3390/M616
Chicago/Turabian StyleGhosh, Pranab, Antara Sarkar, and Jayanta Das. 2009. "Mercuric(II) Acetate Oxidation of Steroidal Exocyclic α,β-Unsaturated Ketone: Transformation into a Cyclic Ether" Molbank 2009, no. 3: M616. https://doi.org/10.3390/M616
APA StyleGhosh, P., Sarkar, A., & Das, J. (2009). Mercuric(II) Acetate Oxidation of Steroidal Exocyclic α,β-Unsaturated Ketone: Transformation into a Cyclic Ether. Molbank, 2009(3), M616. https://doi.org/10.3390/M616
