Synthesis of a New Heterocycle with Liquid Crystal Properties: 2-(3-Methoxy-4-hexadecanoyloxyphenyl)benzothiazole
Abstract
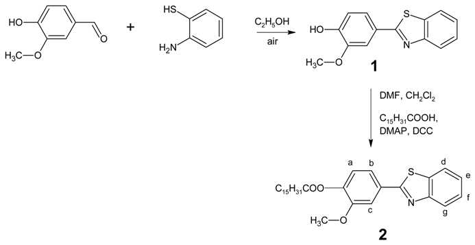
:
Supplementary materials
Supplementary File 1Supplementary File 2Supplementary File 3Acknowledgements
References and Notes
- Chen, X.L.; Jenekhe, A. Macromolecules 1996, 29, 6189–6192.
- Chou, S.S.P.; Sun, D.J.; Lin, H.C.; Yang, P.K. Chem. Commun. 1996, 1045–1046.
- Raimundo, J.M.; Blanchard, P.; Ledoux-Rax, I.; Hierle, R.; Michaux, L.; Roncali, J. Chem. Commun. 2000, 1597–1598.
- Lee, C.H.; Yamamoto, T. Mol. Cryst. Liq. Cryst. 2001, 363, 77–84. [CrossRef]
- Maruyama, T.; Suganuma, H.; Yamamoto, T. Synthetic Metals 1995, 74, 183–185.
- Funahashi, M.; Hanna, J. I. Jpn J. Appl. Phys. 1996, 35, L703.
- Funahashi, M.; Hanna, J. I. Phys. Rev. Lett. 1997, 78, 2184. [CrossRef]
- Funahashi, M.; Hanna, J. I. Mol. Cryst. Liq. Cryst. 1997, 304, 429. [CrossRef]
- Belmar, J.; Parra, M.; Zuniga, C.; Perez, C.; Munoz, C. Liq. Cryst. 1999, 26, 389.
- Prajapati, A. K.; Bonde, N. L. J. Chem. Sci. 2006, 118, 203. [CrossRef]
- Prajapati, A.K.; Bonde, N.L. Mol. Cryst. Liq. Cryst., 2009, 501, 72. [CrossRef]
- Mashraqui, S.H.; Kumar, S.; Vashi, D. J. Inclusion Phenom. Macro. Chem. 2004, 48, 125. [CrossRef]
- Wells, G.; Lowe, P.R.; Stevens, M.F.G. Arkivoc 2000, v, 779.
© 2009 by the authors; licensee Molecular Diversity Preservation International, Basel, Switzerland. This article is an open-access article distributed under the terms and conditions of the Creative Commons Attribution license (http://creativecommons.org/licenses/by/3.0/).
Share and Cite
Ha, S.-T.; Koh, T.-M.; Ong, S.-T.; Ong, L.-K. Synthesis of a New Heterocycle with Liquid Crystal Properties: 2-(3-Methoxy-4-hexadecanoyloxyphenyl)benzothiazole. Molbank 2009, 2009, M606. https://doi.org/10.3390/M606
Ha S-T, Koh T-M, Ong S-T, Ong L-K. Synthesis of a New Heterocycle with Liquid Crystal Properties: 2-(3-Methoxy-4-hexadecanoyloxyphenyl)benzothiazole. Molbank. 2009; 2009(3):M606. https://doi.org/10.3390/M606
Chicago/Turabian StyleHa, Sie-Tiong, Teck-Ming Koh, Siew-Teng Ong, and Lay-Khoon Ong. 2009. "Synthesis of a New Heterocycle with Liquid Crystal Properties: 2-(3-Methoxy-4-hexadecanoyloxyphenyl)benzothiazole" Molbank 2009, no. 3: M606. https://doi.org/10.3390/M606
APA StyleHa, S.-T., Koh, T.-M., Ong, S.-T., & Ong, L.-K. (2009). Synthesis of a New Heterocycle with Liquid Crystal Properties: 2-(3-Methoxy-4-hexadecanoyloxyphenyl)benzothiazole. Molbank, 2009(3), M606. https://doi.org/10.3390/M606
