Spectroscopic and ab-initio study of schiff base ligand 4-[(2-hydroxyethylamino)-methylene]-5-methyl-2-p-tolyl-2,4-dihydro-pyrazol-3-one
Introduction
Experiment Section
Results and Discussion
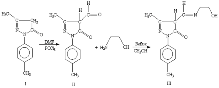
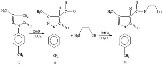
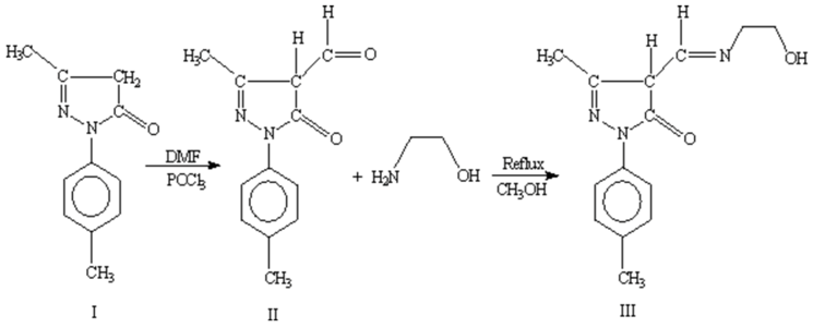
5-Hydroxy-3-methyl-1-p-tolyl-1H-pyrazole-4-carbaldehyde (II)
4-[(2-hydroxy-ethylamino)-methylene]-5-methyl-2-p-tolyl-2,4-dihydro-pyrazol-3-one (III)
Supplementary materials
Supplementary File 1Supplementary File 2Supplementary File 3Supplementary File 4Supplementary File 5Supplementary File 6Acknowledgement
References
- Elguero, J. Comprehensive Heterocyclic Chemistry; Katritzky, A. R., Rees, C. W., Potts, K. T., Eds.; Pergamon: Oxford, 1984; Vol. 5, p. 167. [Google Scholar]
- Gibson, D. Coord .Chem. Rev. 1969, 4, 163.
- Elmorsi, M. A.; Hassanein, A.M. Corros. Sci. 1999, 41, 2337.
- Ito, T.; Goto, C.; Noguchi, K. Anal. Chim .Acta. 2001, 443, 41.
- Yang, L.; Jin, W.; Lin, J. Polyhedron 2000, 19, 93.
- Ito, T. J. Electroanal .Chem. 2001, 495, 87.
- Brogden, R. N. Drugs 1986, 32, 60. [PubMed]
- Stoltz, M.; Oliver, D. W.; Wessels, P. L.; Chalmers, A. A. J. Pharm. Sci. 1991, 80, 357. [PubMed]
- Schillaci, D.; Maggio, B.; Raffa, D. G. Farmaco. 1992, 47, 127.
- Surati, K. R.; Thaker, B. T. J. Coord. Chem. 2006, 59, 1191.
- Wallace, D. J.; Straley, J. M. J.Org. Chem. 1961, 26, 3825.
- Surati, K. R. Ph. D. Thesis, Department of Chemistry, V.N.S.G.University, Surat, Gujarat, India.
- Schmidt, M. W.; Baldridge, K. K.; Boatz, J. A.; Elbert, S. T.; Gordon, M. S.; Jensen, J. H.; Koseki, S.; Matsunaga, N.; Nguyen, K. A.; Su, S. J.; Windus, T. L.; Dupuis, M.; Montgomery, J. A. J. Comput. Chem. 1993, 14, 1347.



© 2006 MDPI. All rights reserved.
Share and Cite
Surati, K.R.; Thaker, B.T.; Shah, G. Spectroscopic and ab-initio study of schiff base ligand 4-[(2-hydroxyethylamino)-methylene]-5-methyl-2-p-tolyl-2,4-dihydro-pyrazol-3-one. Molbank 2006, 2006, M512. https://doi.org/10.3390/M512
Surati KR, Thaker BT, Shah G. Spectroscopic and ab-initio study of schiff base ligand 4-[(2-hydroxyethylamino)-methylene]-5-methyl-2-p-tolyl-2,4-dihydro-pyrazol-3-one. Molbank. 2006; 2006(6):M512. https://doi.org/10.3390/M512
Chicago/Turabian StyleSurati, Kiran R., B. T. Thaker, and Gavrang Shah. 2006. "Spectroscopic and ab-initio study of schiff base ligand 4-[(2-hydroxyethylamino)-methylene]-5-methyl-2-p-tolyl-2,4-dihydro-pyrazol-3-one" Molbank 2006, no. 6: M512. https://doi.org/10.3390/M512
APA StyleSurati, K. R., Thaker, B. T., & Shah, G. (2006). Spectroscopic and ab-initio study of schiff base ligand 4-[(2-hydroxyethylamino)-methylene]-5-methyl-2-p-tolyl-2,4-dihydro-pyrazol-3-one. Molbank, 2006(6), M512. https://doi.org/10.3390/M512
