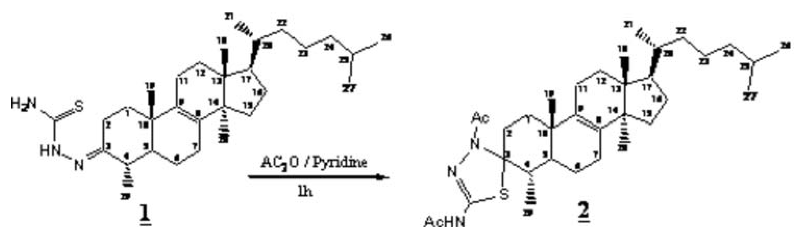
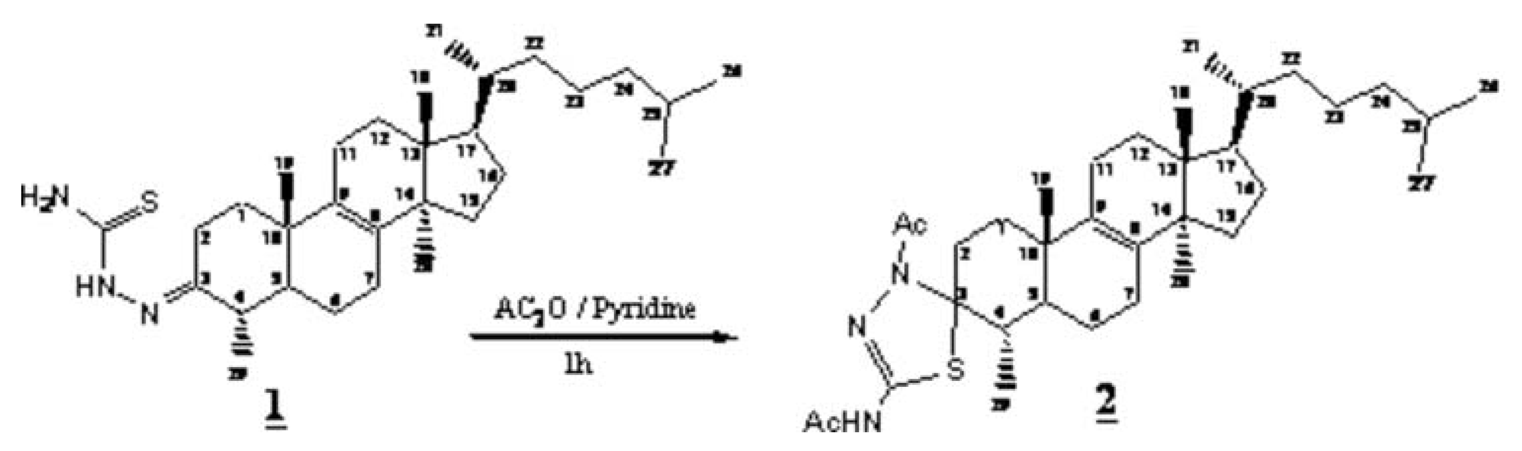
4α,14α,Dimethyl-5α-cholest-8-en-3-one thiadiazoline

Supplementary materials
Supplementary File 1Supplementary File 2Supplementary File 3Acknowledgments
References
- Daoubi, M.; Benharref, A.; Pierrot, M. Acta Cryst. 2001, E57, o1187–1188.
- Mazoir, N.; Auhmani, A.; Ait Itto, My. Y.; Benharref, A. Molbank 2004, M365.
© 2006 MDPI. All rights reserved.
Share and Cite
Mazoir, N.; Itto, M.Y.A.; Lassaba, E.; Benharref, A. 4α,14α,Dimethyl-5α-cholest-8-en-3-one thiadiazoline. Molbank 2006, 2006, M505. https://doi.org/10.3390/M505
Mazoir N, Itto MYA, Lassaba E, Benharref A. 4α,14α,Dimethyl-5α-cholest-8-en-3-one thiadiazoline. Molbank. 2006; 2006(6):M505. https://doi.org/10.3390/M505
Chicago/Turabian StyleMazoir, Noureddine, My Youssef Ait Itto, Essediya Lassaba, and Ahmed Benharref. 2006. "4α,14α,Dimethyl-5α-cholest-8-en-3-one thiadiazoline" Molbank 2006, no. 6: M505. https://doi.org/10.3390/M505
APA StyleMazoir, N., Itto, M. Y. A., Lassaba, E., & Benharref, A. (2006). 4α,14α,Dimethyl-5α-cholest-8-en-3-one thiadiazoline. Molbank, 2006(6), M505. https://doi.org/10.3390/M505
