Abstract
NMR chemical shifts of the amide proton of a supermolecule, an N-methylacetamide hydrogen-bonded with a formamide, were calculated as functions of hydrogen-bond length RN…O and hydrogen-bond angles by FPT-GIAO method within the framework of HF/STO 6-31++G(d,p) ab initio MO method. The calculations explained reasonably the experimental data reported previously that the isotropic proton chemical shifts move downfield with a decrease in RN…O. Further, the behavior of proton chemical shift tensor components depending on the hydrogen-bond length and hydrogen-bond angle was discussed.
Introduction
In solid peptides and polypeptides the hydrogen bond plays an important role for forming the second-order structures such as the α-helix, β-sheet, etc. and higher-order structures [1,2,3]. For this reason, we have studied NMR methodologies for obtaining information about the hydrogen-bonded structure of peptides and polypeptides in the solid state through the observation of solid state NMR chemical shifts. Then, we have elucidated the relationship between the hydrogen-bond lengths and solid state NMR chemical shifts of 13C [4,5,6,7,8], 15N [9,10] and 17O [11,12,13] nuclei from the experimental and theoretical aspects. From these systematic works, it has been obtained that the observation of the main-chain chemical shifts leads to the determination of the hydrogen-bond length in solid peptides and polypeptides including proteins.
Most recently, the amide proton NMR spectra of glycine-containing peptides and polypeptides in the solid state, of which the hydrogen-bond lengths are distributed in the wide range, have been successfully measured by high frequency 800 MHz NMR [14] and 300 MHz NMR with the frequency-switched Lee-Goldburg (FSLG) homo-nuclear dipolar decoupling method [15]. These experimental results have showed that the amide proton chemical shifts move downfield with a decrease in RN…O (hydrogen-bond length between the amide nitrogen atom and amide carbonyl oxygen atom) or RH…O (hydrogen-bond length between the amide hydrogen atom and amide carbonyl oxygen atom). It has been preliminarily explained by ab initio 6-31G**basis set using a GlyGly supermolecule.
In this work we aim to calculate more sophisticatedly isotropic 1H chemical shifts and 1H chemical shift tensor components of the amide proton in a supermolecule, an N-methylacetamide hydrogen-bonded with a formamide, as functions of hydrogen-bond length RN…O and hydrogen-bond angles θ with the FPT-GIAO method within the HF/STO 6-31++G(d,p) ab initio MO framework [16,17,18] in the Gaussian 98 program [19], in order to understand deeply behavior for the experimental isotropic 1H chemical shifts of Gly-containing peptides and polypeptides associated with hydrogen bonding.
Theoretical Calculations
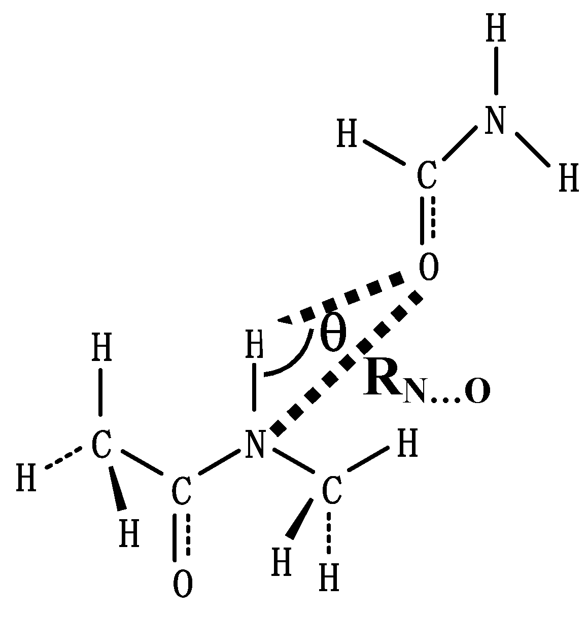
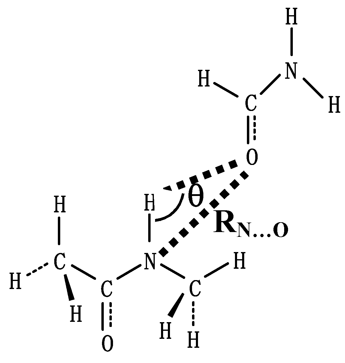
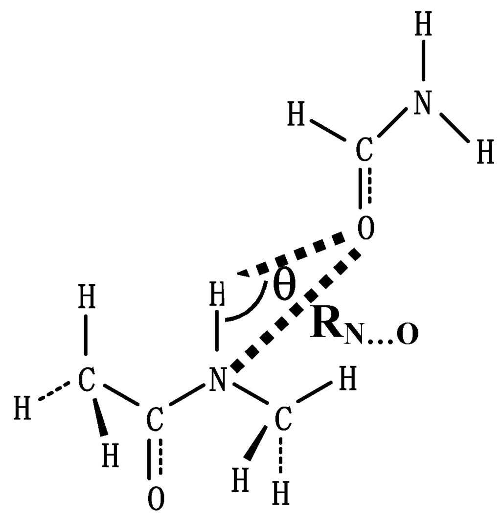
The 1H chemical shift calculations were made with the FPT-GIAO method within the STO 6-31++G(d,p) ab initio MO framework [16,17,18] in the Gaussian 98 program [19] using the optimized geometries of a supermolecule, an N-methylacetamide hydrogen-bonded with a formamide. In the calculations, the hydrogen-bond length RN…O between the amide nitrogen atom and amide carbonyl oxygen atom and the hydrogen-bond angle θ were changed as shown in Fig. 1. The calculated chemical shifts are converted in ppm relative to tetramethylsilane(TMS).
Figure 1.
A diagram of an N-methylacetamide hydrogen-bonded with a formamide with the hydrogen-bond length RN…O between the amide hydrogen and amide carbonyl oxygen atoms, and the hydrogen-bond angle θ which is defined to be 180o for the linear hydrogen bond(N-H…O=C).
Figure 1.
A diagram of an N-methylacetamide hydrogen-bonded with a formamide with the hydrogen-bond length RN…O between the amide hydrogen and amide carbonyl oxygen atoms, and the hydrogen-bond angle θ which is defined to be 180o for the linear hydrogen bond(N-H…O=C).

Results and Discussion
For understanding a feature of the directions of the 1H chemical shift tensor components of the amide proton, the calculated 1H chemical shifts of an N-methylacetamide molecule are listed in Table 1 and the directions of the chemical shift tensor components are shown together with chemical structure of the molecule in Fig. 2. The chemical shift tensor components are asymmetric, and the anisotropy( = σ11 – σ 33) is about 11.3 ppm. The σ33 is almost directed to the amide N-H bond with the small deviation of 7.6o from the linear hydrogen-bond (N-H…O=C) for which the hydrogen-bond angle θ is defined to be 0o, the σ11 is perpendicular to the amide plane and the σ22 is perpendicular to the amide N-H bond. At this stage, according to our best knowledge there are no experimental data on 1H chemical shift tensor components of peptides and polypeptides in spite of its importance.
The calculated isotropic 1H chemical shifts of the amide proton of the supermolecule as function of RN…O and hydrogen-bond angle θ together with the experimental data on various Gly-containing peptides and polypeptides reported previously [14,15] are listed in Table 2. In the calculations the hydrogen-bond lengths and hydrogen-bond angles for various Gly-containing peptides and polypeptides as determined by X-ray diffraction are used. Fig. 3 shows the plots of the calculated and experimental amide 1H chemical shifts against RN…O. For convenience, the calculated chemical shielding value corresponding to GlyGly.HNO3 was adjusted to that of the experimental chemical shift value of peptide with the maximum hydrogen-bond length in order to convert from the chemical shielding value to the chemical shift value. The isotropic 1H chemical shifts move downfield with a
decrease in RN…O in the calculations and experiments. From this figure, it is shown that the slope of the curve becomes gradually small with an increase in RN…O. This means that the effect of the hydrogen bonding on the chemical shift is asymptotically decreased with an increase in RN…O. The calculations reproduce well the experiments.
Table 1.
1H chemical shieldings (ppm) of the amide proton of N-methyl-acetamide calculated by HF/STO STO 6-31++G(d,p) ab initio MO method
| σiso | σ11 | σ22 | σ33 |
| 28.1 | 21.1 | 29.8 | 33.4 |
Figure 2.
The directions of the chemical shift tensor components σ11, σ22 and σ33 of the hydrogen-bonded amide proton are shown together with chemical structure of an N-methylacetamide molecule.
Figure 2.
The directions of the chemical shift tensor components σ11, σ22 and σ33 of the hydrogen-bonded amide proton are shown together with chemical structure of an N-methylacetamide molecule.

Figure 3.
The plots of the calculated and experimental isotropic 1H chemical shifts δiso of the amide proton as a function of RN…O, where the calculated chemical shielding value corresponding to GlyGly.HNO3 was adjusted to that of the experimental chemical shift value of peptide with the maximum hydrogen-bond length in order to convert from the chemical shift shielding value to the chemical shift value. The open circular symbol is for the calculation and the closed circular symbol for the experiment. The data points for peptide and polypeptide samples can be recognized by seeing the hydrogen-bond lengths in Table 2
Figure 3.
The plots of the calculated and experimental isotropic 1H chemical shifts δiso of the amide proton as a function of RN…O, where the calculated chemical shielding value corresponding to GlyGly.HNO3 was adjusted to that of the experimental chemical shift value of peptide with the maximum hydrogen-bond length in order to convert from the chemical shift shielding value to the chemical shift value. The open circular symbol is for the calculation and the closed circular symbol for the experiment. The data points for peptide and polypeptide samples can be recognized by seeing the hydrogen-bond lengths in Table 2

Table 2.
Calculated 1H chemical shifts of the amide proton of a supermolecule, an N-methylacetamide hydrogen-bonded with a formamide, as functions of hydrogen-bond length RN…O and hydrogen-bond angles by FPT-GIAO method within the framework of HF/STO 6-31++G(d,p) ab initio MO method together with the experimental data reported previously [14,15].
| Sample | Experimental hydrogen-bonded glycine amide proton chemical shifta δiso (ppm) | Calculated hydrogen-bonded glycine amide proton chemical shiftb δiso (ppm) | Hydrogen-bond length RN…O (Å) | Hydrogen-bond angle θ (degree) |
| Poly glycine ( form II ) | 9.04 | 9.29 | 2.73 | 146.2 |
| Tyr - Gly – Gly | 9.03 | 8.29 | 2.88 | 144.0 |
| Pro - Gly – Gly | 8.99 | 8.77 | 2.84 | 151.9 |
| Gly – Gly | 8.59 | — | 2.94 | — |
| Poly glycine ( form I ) | 8.40 | 7.49 | 2.95 | 132.8 |
| Ala - Gly – Gly | 8.12 | 8.15 | 3.00 | 160.2 |
| Val - Gly – Gly | 8.80 | 8.59 | 2.91 | 163.1 |
| Sar - Gly –Gly | 8.57 | 8.37 | 2.80 | 137.5 |
| Gly - Gly・HNO3 | 7.76 | 7.76 | 3.12 | 164.6 |
a) From ref. 14
b)The calculated chemical shielding value corresponding to GlyGly.HNO3 was adjusted to that of the experimental chemical shift value of peptide with the maximum hydrogen-bond length in order to convert from the chemical shift shielding value to the chemical shift value.
The calculated 1H chemical shielding tensor components of the amide proton are shown as a function of RN…O in Fig. 4 together with the isotropic 1H chemical shielding, where the hydrogen-bond angle is fixed to be 180o. The isotropic chemical shielding moves downfield with a decrease in RN…O. The σ11 and σ22 components move largely downfield with a decrease in RN…O, but the σ33 component moves slightly upfield with a decrease in RN…O. As mentioned above, the σ33 is almost directed to the amide N-H bond. It can be said that the σ11 and σ22 components govern predominantly the downfield shift in isotropic chemical shift. On the other hand, as shown in Fig. 5 the angle Ψ between the amide N-H bond and the direction of the σ33 component approaches 0o with a decrease in RN…O until RN…O = 1.5 A. This shows that the direction of distortion of electronic distribution on the amide proton approaches the N-H bond with a decrease in RN…O. If RN…O is further decreased, the angle Ψ deviates with the positive sign from the amide N-H bond again. In the shorter RN…O range, the direction of the distortion electronic distribution on the amide proton is strongly affected by interactions with neighboring atoms and so the angle Ψ deviates with the positive sign from the amide N-H bond again. As reported previously [9,10], the direction of the σ33 component for the amide nitrogen is along the N-H bond. This direction is the same as the case of the amide proton σ33 component.
Figure 4.
The plots of the calculated isotropic 1H chemical shielding σiso and 1H chemical shielding tensor components σ11, σ22 and σ33 of the amide proton of an N-methylacetamide hydrogen-bonded with a formamide against RN…O, where the hydrogen-bond angle is fixed to be 180o.
Figure 4.
The plots of the calculated isotropic 1H chemical shielding σiso and 1H chemical shielding tensor components σ11, σ22 and σ33 of the amide proton of an N-methylacetamide hydrogen-bonded with a formamide against RN…O, where the hydrogen-bond angle is fixed to be 180o.

Figure 5.
The plots of the angle Ψ between the amide N-H bond and the direction of the calculated 1H chemical shielding tensor component σ33 of the amide proton of an N-methylacetamide hydrogen-bonded with a formamide against RH…O
Figure 5.
The plots of the angle Ψ between the amide N-H bond and the direction of the calculated 1H chemical shielding tensor component σ33 of the amide proton of an N-methylacetamide hydrogen-bonded with a formamide against RH…O

Fig. 6 shows the plots of the calculated isotropic chemical shielding and chemical shielding tensor components against the hydrogen-bond angle θ. The deviation of the linear hydrogen-bond leads to downfield shift for the isotropic chemical shielding. The σ11 and σ22 components move largely downfield with a decrease in θ, but the σ33 component moves slightly upfield with a decrease in RN…O. It can be said that the σ11 and σ22 components govern predominantly the downfield shift in isotropic chemical shift.
At present, there are no experimental data of the amide proton chemical shift tensor components. If these data are obtained, we will be able to obtain deeper insight of hydrogen bonding by comparing the calculations and experiments.
Figure 6.
The plots of the calculated isotropic chemical shielding σiso and chemical shielding tensor components σ11, σ22 and σ33 of the amide proton of an N-methylacetamide hydrogen-bonded with a formamide against the hydrogen-bond angle θ.
Figure 6.
The plots of the calculated isotropic chemical shielding σiso and chemical shielding tensor components σ11, σ22 and σ33 of the amide proton of an N-methylacetamide hydrogen-bonded with a formamide against the hydrogen-bond angle θ.

References and Notes
- Jeffrey, G.A. An Introduction to Hydrogen Bonding; Oxford University Press: New York, 1997. [Google Scholar]
- Pimentel, G.C.; McClellan, A.L. The Hydrogen Bond; Freeman: San Francisco, 1960. [Google Scholar]
- Scheiner, S. Hydrogen Bonding: A Theoretical Perspective; Oxford University Press: New York, 1997. [Google Scholar]
- Ando, S.; Yamanobe, T.; Ando, I.; Shoji, A.; Ozaki, T.; Tabeta, R.; Saito, H. J. Am. Chem. Soc. 1988, 110, 3380. [CrossRef]
- Asakawa, N.; Kuroki, S.; Kurosu, H.; Ando, I.; Shoji, A.; Ozaki, T. J. Am. Chem. Soc. 1992, 114, 3216. [CrossRef]
- Asakawa, N.; Kurosu, H.; Ando, I. J. Mol. Structure 1994, 323, 279. [CrossRef]
- Kameda, T.; Ando, I. J. Mol. Structure 1997, 412, 197. [CrossRef]
- Tsuchiya, K.; Takahashi, A.; Takeda, N.; Asakawa, N.; Kurosu, H.; Ando, I.; Shoji, A.; Ozaki, T. J. Mol. Structure 1995, 350, 233. [CrossRef]
- Kuroki, S.; Asakawa, N.; Ando, S.; Ando, I.; Shoji, A.; Ozaki, T. J. Mol. Structure 1991, 245, 69. [CrossRef]
- Kuroki, S.; Ando, S.; Ando, I. J. Mol. Structure 1990, 240, 19. [CrossRef]
- Kuroki, S.; Takahashi, A.; Ando, I.; Shoji, A.; Ozaki, T. J. Mol. Structure 1994, 323, 197. [CrossRef]
- Takahashi, A.; Kuroki, S.; Ando, I.; Shoji, A.; Ozaki, T. J. Mol. Structure 1998, 442, 195. [CrossRef]
- Kuroki, S.; Yamauchi, K.; Kurosu, H.; Ando, S.; Ando, I.; Shoji, A.; Ozaki, T. ACS Symposium Series 732: Modeling NMR Chemical Shifts. Gaining Insights into Structure and Environment, ACS series 1999, 732, 126.
- Yamauchi, K.; Kuroki, S.; Ando, I.; Shoji, A.; Ozaki, T. Chem. Phys. Lett. 1999, 302, 331.
- Yamauchi, K.; Kuroki, S.; Fujii, K.; Ando, I. J. Mol. Structure 2002, 602/603, 171. [CrossRef]
- Facelli, J.C.; de Dios, A.C. (Eds.) ACS Symposium Series 732: Modeling NMR Chemical Shifts. Gaining Insights into Structure and Environment, 1999.
- Ditchfield, R. Mol. Phys. 1974, 27, 789.
- Wolinski, K.; Hinton, J.F.; Pulay, P. J. Am. Chem. Soc. 1990, 112, 8251. [CrossRef]
- Gaussian 98, Revision A.7. Frisch, M. J.; Trucks, G. W.; Schlegel, H. B.; Scuseria, G. E.; Robb, M. A.; Cheeseman, J. R.; Zakrzewski, V. G.; Montgomery, J. A.; Stratmann, R. E., Jr.; Burant, J. C.; Dapprich, S.; Millam, J. M.; Daniels, A. D.; Kudin, K. N.; Strain, M. C.; Farkas, O.; Tomasi, J.; Barone, V.; Cossi, M.; Cammi, R.; Mennucci, B.; Pomelli, C.; Adamo, C.; Clifford, S.; Ochterski, J.; Petersson, G. A.; Ayala, P. Y.; Cui, Q.; Morokuma, K.; Malick, D. K.; Rabuck, A. D.; Raghavachari, K.; Foresman, J. B.; Cioslowski, J.; Ortiz, J. V.; Baboul, A. G.; Stefanov, B. B.; Liu, G.; Liashenko, A.; Piskorz, P.; Komaromi, I.; Gomperts, R.; Martin, R. L.; Fox, D. J.; Keith, T.; Al-Laham, M. A.; Peng, C. Y.; Nanayakkara, A.; Gonzalez, C.; Challacombe, M.; Gill, P. M. W.; Johnson, B.; Chen, W.; Wong, M. W.; Andres, J. L.; Gonzalez, C.; Head-Gordon, M.; Replogle, E. S.; Pople, J. A. Gaussian, Inc.: Pittsburgh PA, 1998. [Google Scholar]
© 2002 by MDPI (http://www.mdpi.org).