Comprehensive Analysis of the Complete Mitochondrial Genomes of Dendrobium nobile Lindl. and Dendrobium denneanum Kerr., Two Precious Traditional Chinese Medicinal Herbs
Abstract
1. Introduction
2. Results
2.1. Mitochondrial Genome Characteristics of D. nobile Lindl. and D. denneanum Kerr.
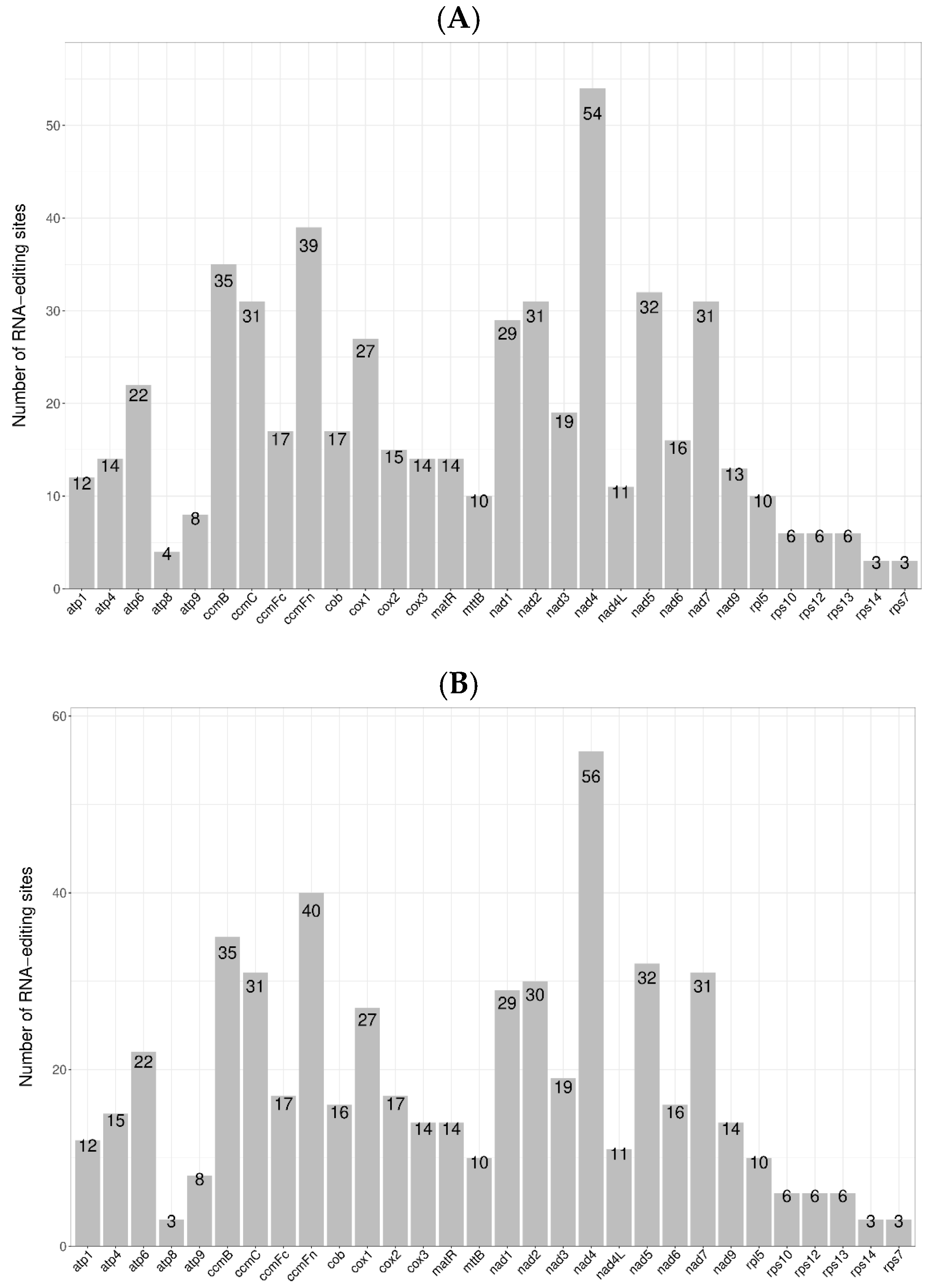
2.2. RNA Editing Sites of Mitochondrial Genomes of D. nobile Lindl. and D. denneanum Kerr.
2.3. Relative Synonymous Codon Usage (RSCU) of the Mitochondrial Genomes of D. nobile Lindl. and D. denneanum Kerr.
2.4. Repeat Sequence of Mitochondrial Genomes in D. nobile Lindl. and D. denneanum Kerr.
2.5. Substitution Rates of PCGs
2.6. DNA Transfer from Chloroplast to Mitochondrional Genome
2.7. Synteny Analysis of D. nobile Lindl. and D. denneanum Kerr.
2.8. Phylogenetic Analysis of D. nobile Lindl. and D. denneanum Kerr.
3. Discussion
3.1. Characteristics of Complex Multi-Chromosome Circular Structures
3.2. The Phenomenon of Gene Loss
3.3. Abundant Repeat Sequences as Potentially Important Molecular Markers
3.4. Intracellular Gene Transfer
4. Materials and Methods
4.1. Plant Materials
4.2. DNA Extraction and Sequencing
4.3. Assembly and Annotation
4.4. RNA Editing Sites
4.5. RSCU Analysis
4.6. Repeat Sequences
4.7. The Non-Synonymous (Ka) and Synonymous (Ks) Value
4.8. Homologous Sequences Between Mitochondrial and Chloroplast Genome
4.9. Synteny Analysis
4.10. Phylogenetic Tree
5. Conclusions
Supplementary Materials
Author Contributions
Funding
Institutional Review Board Statement
Informed Consent Statement
Data Availability Statement
Conflicts of Interest
References
- National Pharmacopoeia Committee. Pharmacopoeia of the People’s Republic of China; China Medical Science and Technology Press: Beijing, China, 2020; pp. 94–97.
- He, T.; Deng, L.; Lin, Y.; Li, B.; Yang, X.F.; Wang, F.; Chun, Z. Comparative analysis of agronomic and qualitative characters in different lines of Dendrobium denneanum. China J. Chin. Mater. Medica 2010, 35, 2124–2128. [Google Scholar]
- He, T.; Fan, X.L.; Lu, L.; Huang, T.F. Phenotypic trait diversity of Dendrobium nobile from different provenances and their correlations with geographical factors. J. Plant Resour. Environ. 2021, 30, 1–11. [Google Scholar] [CrossRef]
- He, T.; Fan, X.L.; Huang, T.F.; Zhang, Y.J. Phytochemical diversity of cultivated Dendrobium nobile Lindl. in southwestern China and its association with environmental conditions. Appl. Ecol. Environ. Res. 2023, 21, 3923–3943. [Google Scholar] [CrossRef]
- Liu, J.; He, T.; Chun, Z. Analysis and authentication of chloroplast matK gene sequences of Herba dendrobii. Acta Pharm. Sin. 2009, 44, 1051–1055. [Google Scholar]
- Liu, J.; He, T.; Chun, Z. DNA molecular identification of Herba dendrobii and its adulterant species based on ITS sequence analysis. China J. Chin. Mater. Medica 2009, 34, 2853–2856. [Google Scholar]
- Sun, J.; He, T.; Wan, R.L.; Peng, X.F.; Chun, Z. The codon usage bias of UDP-glucose pyrophosphorylase gene (UGP) in Dendrobium officinale. Chin. J. Appl. Environ. Biol. 2014, 20, 759–766. [Google Scholar] [CrossRef]
- Peng, X.F.; He, T.; Chun, Z.; Hu, Y.D.; Wan, R.L. Interspecific and intraspecific identification of Dendrobium based on the psbA-trnH intergenic region sequences and the 5S rRNA gene spacer sequences. Chin. J. Appl. Environ. Biol. 2015, 21, 887–896. [Google Scholar] [CrossRef]
- He, T.; Ye, C.R.; Zeng, Q.; Fan, X.L.; Huang, T.F. Genetic diversity and population structure of cultivated Dendrobium nobile Lindl. in southwest of China based on genotyping-by-sequencing. Genet. Resour. Crop Evol. 2022, 69, 2803–2818. [Google Scholar] [CrossRef]
- Noam, S.; Dan, M. The mitochondrial genome-on selective constraints and signatures at the organism, cell, and single mito-chondrion levels. Front. Ecol. Evol. 2019, 7, 342. [Google Scholar] [CrossRef]
- Nass, M.M.K.; Nass, S. Intramitochondrial fibers with DNA characteristics: I. fixation and electron staining reactions. J. Cell Biol. 1963, 19, 593–611. [Google Scholar] [CrossRef]
- Unseld, M.; Marienfeld, J.R.; Brandt, P.; Brennicke, A. The mitochondrial genome of Arabidopsis thaliana contains 57 genes in 366,924 nucleotides. Nat. Genet. 1997, 15, 57–61. [Google Scholar] [CrossRef]
- Wang, J.; Kan, S.L.; Liao, X.Z.; Zhou, J.W.; Tembrock, L.R. Plant organellar genomes: Much done, much more to do. Trends Plant Sci. 2024, 29, 7. [Google Scholar] [CrossRef]
- Kan, S.L.; Shen, T.T.; Ran, J.H.; Wang, X.Q. Both conifer II and gnetales are characterized by a high frequency of ancient mitochondrial gene transfer to the nuclear genome. BMC Biol. 2021, 19, 146. [Google Scholar] [CrossRef] [PubMed]
- Møller, I.M.; Rasmusson, A.G.; Aken, O.V. Plant mitochondria—Past, present and future. Plant J. 2021, 108, 912–959. [Google Scholar] [CrossRef] [PubMed]
- Lu, G.L.; Wang, W.H.; Mao, J.; Li, Q.; Que, Y.X. Complete mitogenome assembly of Selenicereus monacanthus revealed its molecular features, genome evolution, and phylogenetic implication. BMC Plant Biol. 2023, 23, 541. [Google Scholar] [CrossRef]
- Hou, Z.Y.; Wang, M.T.; Jiang, Y.; Xue, Q.Y.; Liu, W.; Niu, Z.T.; Ding, X.Y. Mitochondrial genome insights into the spatio-temporal distribution and genetic diversity of Dendrobium hancockii Rolfe (Orchidaceae). Front. Plant Sci. 2024, 15, 1469267. [Google Scholar] [CrossRef]
- Tong, W.J.; Yu, D.D.; Zhu, X.J.; Le, Z.F.; Chen, H.; Hu, F.L.; Wu, S.M. The whole mitochondrial genome sequence of Dendrobium loddigesii Rolfe, an endangered Orchid species in China, reveals a complex multi-chromosome structure. Genes 2024, 15, 834. [Google Scholar] [CrossRef]
- Wang, M.T.; Hou, Z.Y.; Li, C.; Yang, J.P.; Niu, Z.T.; Xue, Q.Y.; Liu, W.; Ding, X.Y. Rapid structural evolution of Dendrobium mitogenomes and mito-nuclear phylogeny discordances in Dendrobium (Orchidaceae). J. Syst. Evol. 2023, 61, 790–805. [Google Scholar] [CrossRef]
- Wang, L.; Liu, X.; Wang, Y.D.; Ming, X.J.; Qi, J.S.; Zhou, Y.Q. Comparative analysis of the mitochondrial genomes of four Dendrobium species (Orchidaceae) reveals heterogeneity in structure, synteny, intercellular gene transfer, and RNA editing. Front. Plant Sci. 2024, 15, 1429545. [Google Scholar] [CrossRef]
- Wang, M.T.; Yang, J.P.; Hou, Z.Y.; Li, C.; Niu, Z.T.; Zhang, B.H.; Xue, Q.Y.; Liu, W.; Ding, X.Y. The multi-chromosomal structure of mitogenomes provided new insights into the accurate authentication of medicinal Dendrobium species. BMC Plant Biol. 2025, 25, 202. [Google Scholar] [CrossRef]
- Li, J.; Tang, H.; Luo, H.; Tang, J.; Zhong, N.; Xiao, L.Z. Complete mitochondrial genome assembly and comparison of Camellia sinensis var. Assamica cv. Duntsa. Front. Plant Sci. 2023, 14, 1117002. [Google Scholar] [CrossRef]
- Pinard, D.; Myburg, A.A.; Mizrachi, E. The plastid and mitochondrial genomes of Eucalyptus grandis. BMC Genom. 2019, 20, 132. [Google Scholar] [CrossRef] [PubMed]
- Alverson, A.J.; Rice, D.W.; Dickinson, S.; Barry, K.; Palmer, J.D. Origins and recombination of the bacterial-sized multichromosomal mitochondrial genome of cucumber. Plant Cell 2011, 23, 2499–2513. [Google Scholar] [CrossRef]
- Sloan, D.B.; Wu, Z.Q. History of plastid DNA insertions reveals weak deletion and AT mutation biases in angiosperm mitochondrial genomes. Genome Biol. Evol. 2014, 6, 3210–3221. [Google Scholar] [CrossRef]
- Chen, X.Y.; Zhu, S.W.; Jiang, Z.Z. Structural characterization and phylogenetic evolution analysis of mitochondrial genomes of Prunus plants. J. Fujian Agric. For. Univ. (Nat. Sci. Ed.) 2024, 53, 491–500. [Google Scholar]
- Adams, K.L.; Qiu, Y.L.; Stoutemyer, M.; Palmer, J.D. Punctuated evolution of mitochondrial gene content: High and variable rates of mitochondrial gene loss and transfer to the nucleus during angiosperm evolution. Proc. Natl. Acad. Sci. USA 2002, 99, 9905–9912. [Google Scholar] [CrossRef] [PubMed]
- Chen, T.C.; Su, Y.Y.; Wu, C.H.; Liu, Y.C.; Huang, C.H.; Chang, C.C. Analysis of mitochondrial genomics and transcriptomics reveal abundant RNA edits and differential editing status in moth orchid, Phalaenopsis aphrodite subsp. formosana. Sci. Hortic. 2020, 267, 109304. [Google Scholar] [CrossRef]
- Zheng, Q.Y.; Luo, X.T.; Huang, Y.; Ke, S.J.; Liu, Z.J. The complete mitogenome of Apostasia fujianica Y. Li & S. Lan and comparative analysis of mitogenomes across Orchidaceae. Int. J. Mol. Sci. 2024, 25, 8151. [Google Scholar] [CrossRef] [PubMed]
- Kelly, S. The economics of organellar gene loss and endosymbiotic gene transfer. Genome Biol. 2021, 22, 345. [Google Scholar] [CrossRef]
- Anselmetti, Y.; El-Mabrouk, N.; Lafond, M.; Ouangraoua, A. Gene tree and species tree reconciliation with endosymbiotic gene transfer. Bioinformatics 2021, 37, i120–i132. [Google Scholar] [CrossRef] [PubMed]
- Chevigny, N.; Schatz-daas, D.; Lotfi, F.; José Manuel Gualberto, J.M. DNA repair and the stability of the plant mitochondrial genome. Int. J. Mol. Sci. 2020, 21, 328. [Google Scholar] [CrossRef]
- Qin, Z.; Wang, Y.P.; Wang, Q.M.; Li, A.X.; Hou, F.Y.; Zhang, L.M. Evolution analysis of simple sequence repeats in plant genome. PLoS ONE 2015, 10, e0144108. [Google Scholar] [CrossRef] [PubMed]
- Wang, M.T.; Yu, W.H.; Yang, J.P.; Hou, Z.H.; Li, C.; Niu, Z.T.; Zhang, B.H.; Xue, Q.Y.; Liu, W.; Ding, X.Y. Mitochondrial genome comparison and phylogenetic analysis of Dendrobium (Orchidaceae) based on whole mitogenomes. BMC Plant Biol. 2023, 23, 586. [Google Scholar] [CrossRef]
- Ke, S.J.; Liu, D.K.; Tu, X.D.; He, X.; Zhang, M.M.; Zhu, M.J.; Zhang, D.Y.; Zhang, C.L.; Lan, S.R.; Liu, Z.J. Apostasia mitochondrial genome analysis and monocot mitochondria phylogenomics. Int. J. Mol. Sci. 2023, 24, 7837. [Google Scholar] [CrossRef]
- Khera, P.; Saxena, R.; Sameerkumar, C.V.; Saxena, K.; Varshney, R.K. Mitochondrial SSRs and their utility in distinguishing wild species, CMS lines and maintainer lines in pigeonpea (Cajanus cajan L.). Euphytica 2015, 206, 737–746. [Google Scholar] [CrossRef]
- Li, J.L.; Xu, Y.C.; Shan, Y.Y.; Pei, X.Y.; Yong, S.Y.; Liu, C.; Yu, J. Assembly of the complete mitochondrial genome of an endemic plant, Scutellaria tsinyunensis, revealed the existence of two conformations generated by a repeat mediated recombination. Planta 2021, 254, 36. [Google Scholar] [CrossRef] [PubMed]
- Xiong, Y.L.; Yu, Q.Q.; Xiong, Y.; Zhao, J.M.; Lei, X.; Liu, L.; Liu, W.; Peng, Y.; Zhang, J.; Li, D.; et al. The complete mitogenome of Elymus sibiricus and insights into its evolutionary pattern based on simple repeat sequences of seed plant mitogenomes. Front. Plant Sci. 2021, 12, 802321. [Google Scholar] [CrossRef] [PubMed]
- Shen, B.M.; Shen, A.R.; Liu, L.N.; Tan, Y.; Li, S.N.; Tan, Z.M. Assembly and comparative analysis of the complete multichromosomal mitochondrial genome of Cymbidium ensifolium, an orchid of high economic and ornamental value. BMC Plant Biol. 2024, 24, 255. [Google Scholar] [CrossRef] [PubMed]
- Qiao, Y.G.; Zhang, X.R.; Li, Z.; Song, Y.; Sun, Z. Assembly and comparative analysis of the complete mitochondrial genome of Bupleurum Chinense DC. BMC Genom. 2022, 23, 664. [Google Scholar] [CrossRef] [PubMed]
- Zhao, Z.; Li, Y.Y.; Zhai, J.W.; Liu, Z.J.; Li, M.H. Organelle genomes of Epipogium roseum provide insight into the evolution of Myco heterotrophic Orchids. Int. J. Mol. Sci. 2024, 25, 1578. [Google Scholar] [CrossRef]
- Li, J.H.; Li, J.L.; Ma, Y.B.; Kou, L.; Wei, J.J.; Wang, W.X. The complete mitochondrial genome of okra (Abelmoschus esculentus): Using nanopore long reads to investigate gene transfer from chloroplast genomes and rearrangements of mitochondrial DNA molecules. BMC Genom. 2022, 23, 481. [Google Scholar] [CrossRef] [PubMed]
- Wynn, E.L.; Christensen, A.C. Repeats of unusual size in plant mitochondrial genomes: Identification, incidence and evolution. G3 2019, 9, 549–559. [Google Scholar] [CrossRef] [PubMed]
- Cole, L.W.; Guo, W.H.; Mower, J.P.; Palmer, J.D. High and variable rates of repeat-mediated mitochondrial genome rearrangement in a genus of plants. Mol. Biol. Evol. 2018, 35, 2773–2785. [Google Scholar] [CrossRef] [PubMed]
- Dong, S.S.; Zhao, C.X.; Chen, F.; Liu, Y.H.; Zhang, S.Z.; Wu, H.; Zhang, L.S.; Liu, Y. The complete mitochondrial genome of the early flowering plant Nymphaea colorata is highly repetitive with low recombination. BMC Genom. 2018, 19, 614. [Google Scholar] [CrossRef]
- Rose, R.J. Contribution of massive mitochondrial fusion and subsequent fission in the plant life cycle to the integrity of the mitochondrion and its genome. Int. J. Mol. Sci. 2021, 22, 5429. [Google Scholar] [CrossRef]
- Bergthorsson, U.; Adams, K.L.; Thomason, B.; Palmer, J.D. Widespread horizontal transfer of mitochondrial genes in flowering plants. Nature 2003, 424, 197–201. [Google Scholar] [CrossRef]
- Yang, J.X.; Dierckxsens, N.; Bai, M.Z.; Guo, Y.Y. Multichromosomal mitochondrial genome of Paphiopedilum micranthum: Compact and fragmented genome, and rampant intracellular gene transfer. Int. J. Mol. Sci. 2023, 24, 3976. [Google Scholar] [CrossRef]
- Simmonds, S.E.; Smith, J.F.; Davidson, C.; Buerki, S. Phylogenetics and comparative plastome genomics of two of the largest genera of angiosperms, Piper and Peperomia (Piperaceae). Mol. Phylogenetics Evol. 2021, 163, 107229. [Google Scholar] [CrossRef]
- Park, S.; Grewe, F.; Zhu, A.; Ruhlman, T.A.; Sabir, J.; Mower, J.P.; Jansen, R.K. Dynamic evolution of Geranium mitochondrial genomes through multiple horizontal and intracellular gene transfers. New Phytol. 2015, 208, 570–583. [Google Scholar] [CrossRef]
- Doyle, J.J.; Doyle, J.L. A rapid DNA isolation procedure for small quantities of fresh leaf tissue. Phytochem. Bull. 1987, 19, 11–15. [Google Scholar]
- Li, H. Minimap2: Pairwise alignment for nucleotide sequences. Bioinformatics 2018, 34, 3094–3100. [Google Scholar] [CrossRef]
- Koren, S.; Walenz, B.P.; Berlin, K.; Miller, J.R.; Bergman, N.H.; Phillippy, A.M. Canu: Scalable and accurate long-read assembly via adaptive k-mer weighting and repeat separation. Genome Res. 2017, 27, 722–736. [Google Scholar] [CrossRef] [PubMed]
- Chan, P.P.; Lowe, T.M. tRNAscan-SE: Searching for tRNA genes in genomic sequences. Methods Mol. Biol. 2019, 1962, 1–14. [Google Scholar] [CrossRef]
- Salojärvi, J.; Smolander, O.P.; Nieminen, K.; Rajaraman, S.; Safronov, O.; Safdari, P.; Lamminmäki, A.; Immanen, J.; Lan, T.; Tanskanen, J. Genome sequencing and population genomic analyses provide insights into the adaptive landscape of silver birch. Nat. Genet. 2017, 49, 904–912. [Google Scholar] [CrossRef] [PubMed]
- Peden, J.F. Analysis of Codon Usage. Ph.D. Thesis, University of Nottingham, Nottingham, UK, 2000; pp. 73–74. [Google Scholar]
- Beier, S.; Thiel, T.; Münch, T.; Scholz, U.; Mascher, M. MISA-web: A web server for microsatellite prediction. Bioinformatics 2017, 33, 2583–2585. [Google Scholar] [CrossRef]
- Benson, G. Tandem repeats finder: A program to analyze DNA sequences. Nucleic Acids Res. 1999, 27, 573–580. [Google Scholar] [CrossRef]
- Katoh, K.; Standley, D.M. MAFFT multiple sequence alignment software version 7: Improvements in performance and usability. Mol. Biol. Evol. 2013, 30, 772–780. [Google Scholar] [CrossRef] [PubMed]
- Wang, D.P.; Zhang, Y.B.; Zhang, Z.; Zhu, J.; Yu, J. KaKs_Calculator 2.0: A toolkit incorporating gamma-series methods and sliding window strategies. Genom. Proteom. Bioinform. 2010, 8, 77–80. [Google Scholar] [CrossRef]











| Sequence Name | Accession Number (NCBI Public Database) | Sequence Type | Genome Length (bp) | GC Content (%) |
|---|---|---|---|---|
| D. nobile-1 | PX171404 | circular | 60,351 | 44.34 |
| D. nobile-2 | PX171405 | circular | 58,650 | 42.12 |
| D. nobile-3 | PX171406 | circular | 50,648 | 44.38 |
| D. nobile-4 | PX171407 | circular | 34,419 | 41.66 |
| D. nobile-5 | PX171408 | circular | 32,628 | 43.61 |
| D. nobile-6 | PX171409 | circular | 30,873 | 39.64 |
| D. nobile-7 | PX171410 | circular | 30,500 | 41.39 |
| D. nobile-8 | PX171411 | circular | 28,639 | 43.52 |
| D. nobile-9 | PX171412 | circular | 26,558 | 44.76 |
| D. nobile-10 | PX171413 | circular | 26,352 | 43.83 |
| D. nobile-11 | PX171414 | circular | 26,079 | 44.23 |
| D. nobile-12 | PX171415 | circular | 25,795 | 40.64 |
| D. nobile-13 | PX171416 | circular | 25,661 | 42.91 |
| D. nobile-14 | PX171417 | circular | 25,465 | 44.54 |
| D. nobile-15 | PX171418 | circular | 25,109 | 44.98 |
| D. nobile-16 | PX171419 | circular | 25,010 | 45.95 |
| D. nobile-17 | PX171420 | circular | 23,203 | 43.35 |
| D. nobile-18 | PX171421 | circular | 22,578 | 43.99 |
| D. nobile-19 | PX171422 | circular | 22,544 | 45.29 |
| D. nobile-20 | PX171423 | circular | 22,045 | 46.18 |
| D. nobile-21 | PX171424 | circular | 18,307 | 41.46 |
| D. nobile_Total | 641,414 | 43.40 | ||
| D. denneanum-1 | PX171425 | circular | 46,536 | 42.48 |
| D. denneanum-2 | PX171426 | circular | 41,831 | 41.20 |
| D. denneanum-3 | PX171427 | circular | 38,036 | 43.27 |
| D. denneanum-4 | PX171428 | circular | 34,489 | 44.77 |
| D. denneanum-5 | PX171429 | circular | 33,660 | 44.68 |
| D. denneanum-6 | PX171430 | circular | 33,588 | 44.41 |
| D. denneanum-7 | PX171431 | circular | 30,484 | 42.13 |
| D. denneanum-8 | PX171432 | circular | 30,126 | 43.26 |
| D. denneanum-9 | PX171433 | circular | 29,441 | 44.87 |
| D. denneanum-10 | PX171434 | circular | 27,262 | 42.94 |
| D. denneanum-11 | PX171435 | circular | 27,213 | 43.28 |
| D. denneanum-12 | PX171436 | circular | 25,272 | 44.87 |
| D. denneanum-13 | PX171437 | circular | 25,190 | 43.94 |
| D. denneanum-14 | PX171438 | circular | 23,734 | 44.46 |
| D. denneanum-15 | PX171439 | circular | 23,490 | 44.81 |
| D. denneanum-16 | PX171440 | circular | 23,316 | 45.07 |
| D. denneanum-17 | PX171441 | circular | 23,101 | 44.01 |
| D. denneanum-18 | PX171442 | circular | 21,064 | 37.99 |
| D. denneanum-19 | PX171443 | circular | 20,927 | 44.88 |
| D. denneanum_Total | 558,760 | 43.49 |
| Group of Genes | D. nobile Lindl. | D. denneanum Kerr. |
|---|---|---|
| Name of Genes | Name of Genes | |
| ATP synthase | atp1, atp4, atp6, atp8, atp9 | atp1, atp4, atp6, atp8, atp9 |
| Cytochrome c biogenesis | ccmB, ccmC, ccmFc *, ccmFn | ccmB, ccmC, ccmFc *, ccmFn |
| Ubiquinol cytochrome c reductase | cob | cob |
| Cytochrome c oxidase | cox1, cox2 **, cox3 | cox1, cox2 **, cox3 |
| Maturases | matR | matR |
| Transport membrane protein | mttB | mttB |
| NADH dehydrogenase | nad1 ****, nad2 ****, nad3, nad4 ***, nad4L, nad5 ****, nad6, nad7 ****, nad9 | nad1 ****, nad2 ****, nad3, nad4 ***, nad4L, nad5 ****, nad6, nad7 ****, nad9 |
| Large subunit of ribosome | rpl5 | rpl16, rpl5 |
| Small subunit of ribosome | rps10 *, rps12, rps13, rps14, rps7 | rps10 *, rps12, rps13, rps14, rps7 |
| Ribosomal RNAs | rrn18, rrn26, rrn5 | rrn18, rrn26, rrn5 |
| Transfer RNAs | trnC-GCA(2), trnD-GTC(2), trnE-TTC(2), trnF-GAA, trnG-GCC, trnH-GTG, trnI-TAT *, trnK-TTT, trnL-TAG, trnM-CAT(4), trnN-GTT(3), trnQ-TTG(2), trnR-ACG, trnR-TCT, trnS-GCT, trnS-GGA, trnT-TGT, trnV-GAC, trnY-GTA(2) | trnA-TGC *, trnC-GCA(3), trnD-GTC(2) trnE-TTC(2), trnF-GAA(2), trnG-GCC, trnH-GTG(2), trnK-TTT, trnL-TAG, trnM-CAT(5), trnN-GTT(2), trnP-TGG, trnQ-TTG, trnR-TCT, trnS-GCT(2), trnS-GGA, trnT-GGT, trnT-TGT, trnV-GAC, trnW-CCA, trnY-GTA |
| Type | RNA Edit | D. nobile Lindl. | D. denneanum Kerr. | ||
|---|---|---|---|---|---|
| No. | % | No. | % | ||
| hydrophilic–hydrophilic | CAC (H) => TAC (Y) | 10 | 10 | ||
| CAT (H) => TAT (Y) | 19 | 18 | |||
| CGC (R) => TGC (C) | 12 | 13 | |||
| CGT (R) => TGT (C) | 32 | 32 | |||
| total | 73 | 13.30% | 73 | 13.20% | |
| hydrophilic–hydrophobic | ACA (T) => ATA (I) | 5 | 5 | ||
| ACG (T) => ATG (M) | 7 | 8 | |||
| ACT (T) => ATT (I) | 5 | 5 | |||
| CGG (R) => TGG (W) | 34 | 34 | |||
| TCA (S) => TTA (L) | 78 | 78 | |||
| TCC (S) => TTC (F) | 37 | 38 | |||
| TCG (S) => TTG (L) | 42 | 43 | |||
| TCT (S) => TTT (F) | 56 | 54 | |||
| ACC (T) => ATC (I) | 1 | ||||
| total | 264 | 48.09% | 266 | 48.10% | |
| hydrophilic–stop | CGA (R) => TGA (X) | 2 | 2 | ||
| total | 2 | 0.36% | 2 | 0.36% | |
| hydrophobic–hydrophilic | CCA (P) => TCA (S) | 9 | 9 | ||
| CCC (P) => TCC (S) | 14 | 14 | |||
| CCG (P) => TCG (S) | 7 | 7 | |||
| CCT (P) => TCT (S) | 20 | 20 | |||
| total | 50 | 9.11% | 50 | 9.04% | |
| hydrophobic–hydrophobic | CCA (P) => CTA (L) | 48 | 48 | ||
| CCC (P) => CTC (L) | 10 | 10 | |||
| CCC (P) => TTC (F) | 6 | 6 | |||
| CCG (P) => CTG (L) | 27 | 28 | |||
| CCT (P) => CTT (L) | 28 | 29 | |||
| CCT (P) => TTT (F) | 14 | 14 | |||
| CTC (L) => TTC (F) | 6 | 5 | |||
| CTT (L) => TTT (F) | 11 | 12 | |||
| GCA (A) => GTA (V) | 1 | 1 | |||
| GCC (A) => GTC (V) | 1 | 1 | |||
| GCG (A) => GTG (V) | 4 | 4 | |||
| GCT (A) => GTT (V) | 4 | 4 | |||
| total | 160 | 29.14% | 162 | 29.29% | |
| All | 549 | 100% | 553 | 100% | |
| Subject-Mt | Identity (%) | Alignment Length (bp) | CP Start | CP End | Mt Start | Mt End | Genes |
|---|---|---|---|---|---|---|---|
| (A) | |||||||
| chr6 | 98.942 | 9550 | 36,006 | 45,537 | 233 | 9752 | trnG-GCC, trnM-CAT, trnS-GGA |
| chr6 | 95.881 | 1651 | 47,002 | 48,645 | 30,871 | 29,252 | trnF-GAA (partial: 72.60%) |
| chr6 | 95.641 | 803 | 31,224 | 32,025 | 22,716 | 23,502 | trnY-GTA, trnE-TTC |
| chr6 | 98.529 | 272 | 30,949 | 31,220 | 22,343 | 22,614 | trnD-GTC |
| chr6 | 97.03 | 101 | 149,841 | 149,941 | 17,972 | 17,872 | trnH-GTG |
| chr6 | 97.03 | 101 | 85,443 | 85,543 | 17,872 | 17,972 | trnH-GTG |
| chr6 | 100 | 29 | 8330 | 8358 | 9530 | 9502 | trnS-GGA (partial: 29.90%) |
| chr11 | 99.89 | 2738 | 131,483 | 134,220 | 8050 | 5313 | trnV-GAC |
| chr11 | 99.89 | 2738 | 101,164 | 103,901 | 5313 | 8050 | trnV-GAC |
| chr11 | 94.6 | 2315 | 108,462 | 110,754 | 26,078 | 23,809 | trnN-GTT, trnR-ACG |
| chr11 | 94.6 | 2315 | 124,630 | 126,922 | 23,809 | 26,078 | trnN-GTT, trnR-ACG |
| chr7 | 82.328 | 481 | 124,641 | 125,105 | 13,428 | 12,984 | trnN-GTT |
| chr7 | 82.328 | 481 | 110,279 | 110,743 | 12,984 | 13,428 | trnN-GTT |
| chr7 | 95.902 | 122 | 112,241 | 112,362 | 22,008 | 21,887 | trnL-TAG |
| chr21 | 94.108 | 2529 | 10,344 | 12,860 | 5898 | 3455 | trnR-TCT |
| chr10 | 95.756 | 1461 | 45,496 | 46,949 | 21,005 | 22,461 | trnT-TGT |
| chr10 | 86.89 | 717 | 86,889 | 87,579 | 10,316 | 9640 | trnM-CAT |
| chr10 | 86.89 | 717 | 147,805 | 148,495 | 9640 | 10,316 | trnM-CAT |
| chr5 | 88.062 | 1089 | 6215 | 7264 | 18,153 | 19,184 | trnQ-TTG |
| chr16 | 90.596 | 319 | 6828 | 7133 | 1 | 318 | trnQ-TTG |
| chr14 | 96.25 | 80 | 110,362 | 110,441 | 10,364 | 10,285 | trnN-GTT |
| chr14 | 96.25 | 80 | 124,943 | 125,022 | 10,285 | 10,364 | trnN-GTT |
| chr2 | 74.183 | 887 | 132,017 | 132,880 | 1577 | 719 | rrn18 (partial: 43.36%) |
| chr2 | 74.183 | 887 | 102,504 | 103,367 | 719 | 1577 | rrn18 (partial: 43.36%) |
| chr1 | 85.567 | 97 | 128,685 | 128,781 | 7487 | 7391 | rrn26 (partial: 2.83%) |
| chr1 | 85.567 | 97 | 106,603 | 106,699 | 7391 | 7487 | rrn26 (partial: 2.83%) |
| 32,657 | |||||||
| (B) | |||||||
| chr2 | 95.726 | 117 | 118,331 | 118,447 | 23,583 | 23,467 | trnL-TAG |
| chr18 | 96.258 | 3260 | 42,829 | 46,072 | 4908 | 1705 | trnS-GGA |
| chr18 | 97.666 | 2442 | 36,272 | 38,708 | 11,046 | 8629 | trnM-CAT, trnG-GCC |
| chr18 | 92.341 | 1384 | 32,038 | 33,384 | 13,155 | 14,505 | trnT-GGT |
| chr18 | 93.977 | 1129 | 46,066 | 47,182 | 1366 | 261 | trnT-TGT |
| chr18 | 88.51 | 1436 | 47,578 | 48,981 | 21,064 | 19,719 | trnF-GAA (partial: 72.60%) |
| chr18 | 96.243 | 346 | 31,094 | 31,431 | 12,390 | 12,735 | trnD-GTC |
| chr18 | 97.487 | 199 | 31,659 | 31,857 | 12,756 | 12,954 | trnE-TTC |
| chr10 | 98.754 | 883 | 139,318 | 140,199 | 19,389 | 18,516 | trnA-TGC |
| chr10 | 98.754 | 883 | 107,181 | 108,062 | 18,516 | 19,389 | trnA-TGC |
| chr7 | 96.226 | 159 | 10,336 | 10,493 | 30,326 | 30,484 | trnR-TCT |
| chr14 | 96.355 | 1015 | 83,975 | 84,984 | 23,734 | 22,730 | rpl16 |
| chr14 | 95.89 | 73 | 157,239 | 157,311 | 7081 | 7009 | trnM-CAT (partial: 98.65%) |
| chr14 | 95.89 | 73 | 90,069 | 90,141 | 7009 | 7081 | trnM-CAT (partial: 98.65%) |
| chr4 | 99.157 | 1661 | 133,160 | 134,813 | 1922 | 262 | trnN-GTT |
| chr4 | 99.157 | 1661 | 112,567 | 114,220 | 262 | 1922 | trnN-GTT |
| chr4 | 97.806 | 1185 | 104,079 | 105,261 | 28,208 | 27,032 | trnV-GAC |
| chr4 | 97.806 | 1185 | 142,119 | 143,301 | 27,032 | 28,208 | trnV-GAC |
| chr4 | 91.701 | 1229 | 87,073 | 88,275 | 3828 | 5032 | trnH-GTG |
| chr4 | 90.451 | 932 | 159,105 | 160,010 | 5032 | 4125 | trnH-GTG |
| chr4 | 85.896 | 787 | 28,311 | 29,075 | 3792 | 3059 | trnC-GCA |
| chr3 | 84.582 | 467 | 68,239 | 68,700 | 4951 | 5385 | trnP-TGG |
| chr3 | 74.183 | 887 | 105,133 | 105,996 | 19,287 | 18,429 | rrn18 (partial: 43.36%) |
| chr3 | 74.183 | 887 | 141,384 | 142,247 | 18,429 | 19,287 | rrn18 (partial: 43.36%) |
| chr3 | 80.465 | 430 | 48,629 | 49,046 | 5421 | 5828 | trnF-GAA |
| chr9 | 97.03 | 101 | 159,275 | 159,375 | 26,630 | 26,530 | trnH-GTG |
| chr9 | 97.03 | 101 | 88,005 | 88,105 | 26,530 | 26,630 | trnH-GTG |
| chr12 | 91.185 | 329 | 7007 | 7322 | 2256 | 2583 | trnQ-TTG |
| chr1 | 85.042 | 722 | 157,239 | 157,929 | 33,021 | 32,351 | trnM-CAT |
| chr1 | 85.042 | 722 | 89,451 | 90,141 | 32,351 | 33,021 | trnM-CAT |
| chr19 | 94.353 | 425 | 8244 | 8664 | 20,513 | 20,927 | trnS-GCT |
| chr19 | 78.409 | 88 | 45,483 | 45,569 | 20,864 | 20,777 | trnS-GCT |
| chr17 | 96.386 | 83 | 112,990 | 113,072 | 13,714 | 13,632 | trnN-GTT |
| chr17 | 96.386 | 83 | 134,308 | 134,390 | 13,632 | 13,714 | trnN-GTT |
| chr6 | 86.598 | 97 | 109,232 | 109,328 | 22,946 | 22,850 | rrn26 (partial: 2.83%) |
| chr6 | 86.598 | 97 | 138,052 | 138,148 | 22,850 | 22,946 | rrn26 (partial: 2.83%) |
| 27,558 | |||||||
Disclaimer/Publisher’s Note: The statements, opinions and data contained in all publications are solely those of the individual author(s) and contributor(s) and not of MDPI and/or the editor(s). MDPI and/or the editor(s) disclaim responsibility for any injury to people or property resulting from any ideas, methods, instructions or products referred to in the content. |
© 2026 by the authors. Licensee MDPI, Basel, Switzerland. This article is an open access article distributed under the terms and conditions of the Creative Commons Attribution (CC BY) license.
Share and Cite
He, T.; Zhao, L.; Fan, X.; Huang, T.; Jin, Y.; Yi, Z.; Liu, Y.; Gao, Y.; Zhao, H. Comprehensive Analysis of the Complete Mitochondrial Genomes of Dendrobium nobile Lindl. and Dendrobium denneanum Kerr., Two Precious Traditional Chinese Medicinal Herbs. Int. J. Mol. Sci. 2026, 27, 3441. https://doi.org/10.3390/ijms27083441
He T, Zhao L, Fan X, Huang T, Jin Y, Yi Z, Liu Y, Gao Y, Zhao H. Comprehensive Analysis of the Complete Mitochondrial Genomes of Dendrobium nobile Lindl. and Dendrobium denneanum Kerr., Two Precious Traditional Chinese Medicinal Herbs. International Journal of Molecular Sciences. 2026; 27(8):3441. https://doi.org/10.3390/ijms27083441
Chicago/Turabian StyleHe, Tao, Leyi Zhao, Xiaoli Fan, Tianfang Huang, Yanling Jin, Zhuolin Yi, Yongqiang Liu, Yu Gao, and Hai Zhao. 2026. "Comprehensive Analysis of the Complete Mitochondrial Genomes of Dendrobium nobile Lindl. and Dendrobium denneanum Kerr., Two Precious Traditional Chinese Medicinal Herbs" International Journal of Molecular Sciences 27, no. 8: 3441. https://doi.org/10.3390/ijms27083441
APA StyleHe, T., Zhao, L., Fan, X., Huang, T., Jin, Y., Yi, Z., Liu, Y., Gao, Y., & Zhao, H. (2026). Comprehensive Analysis of the Complete Mitochondrial Genomes of Dendrobium nobile Lindl. and Dendrobium denneanum Kerr., Two Precious Traditional Chinese Medicinal Herbs. International Journal of Molecular Sciences, 27(8), 3441. https://doi.org/10.3390/ijms27083441

