Deciphering Alkaloid Bitter Compounds and Relevant Transcription Factors in Papaya
Abstract
1. Introduction
2. Results
2.1. Metabolomics Data Analysis
2.1.1. Metabolite Detection Methods and Quality Assessment
| Compound | Molecular Formula | Retention Time | Adducts | m/z |
|---|---|---|---|---|
| 1 | C14H25NO3 | 5.49 | [M+H]+ | 256.1914 |
| 2 | C20H35NO8 | 4.26 | [M+H]+ | 418.2397 |
| 3 | C28H46N2O4 | 7.41 | [M+H]+ | 475.3530 |
| 4 | C14H25NO4 | 3.42 | [M+H]+ | 272.1847 |
| 5 | C28H50N2O4 | 6.71 | [2M+H]+ | 240.1963 |
2.1.2. Identification of Metabolites
2.2. RNA-Seq Data Analysis
2.3. WGCNA
2.3.1. Association Analysis of Papaya Alkaloid Metabolites with Gene Co-Expression Modules
2.3.2. Identification of Transcription Factors in Key Modules
2.4. qRT-PCR
2.5. Single-Nucleus Transcriptome Analysis
2.5.1. Basic Analysis of snRNA-Seq Data from Papaya Fibrous Strands and Stem
2.5.2. Identification of Cell Types with Marker Genes
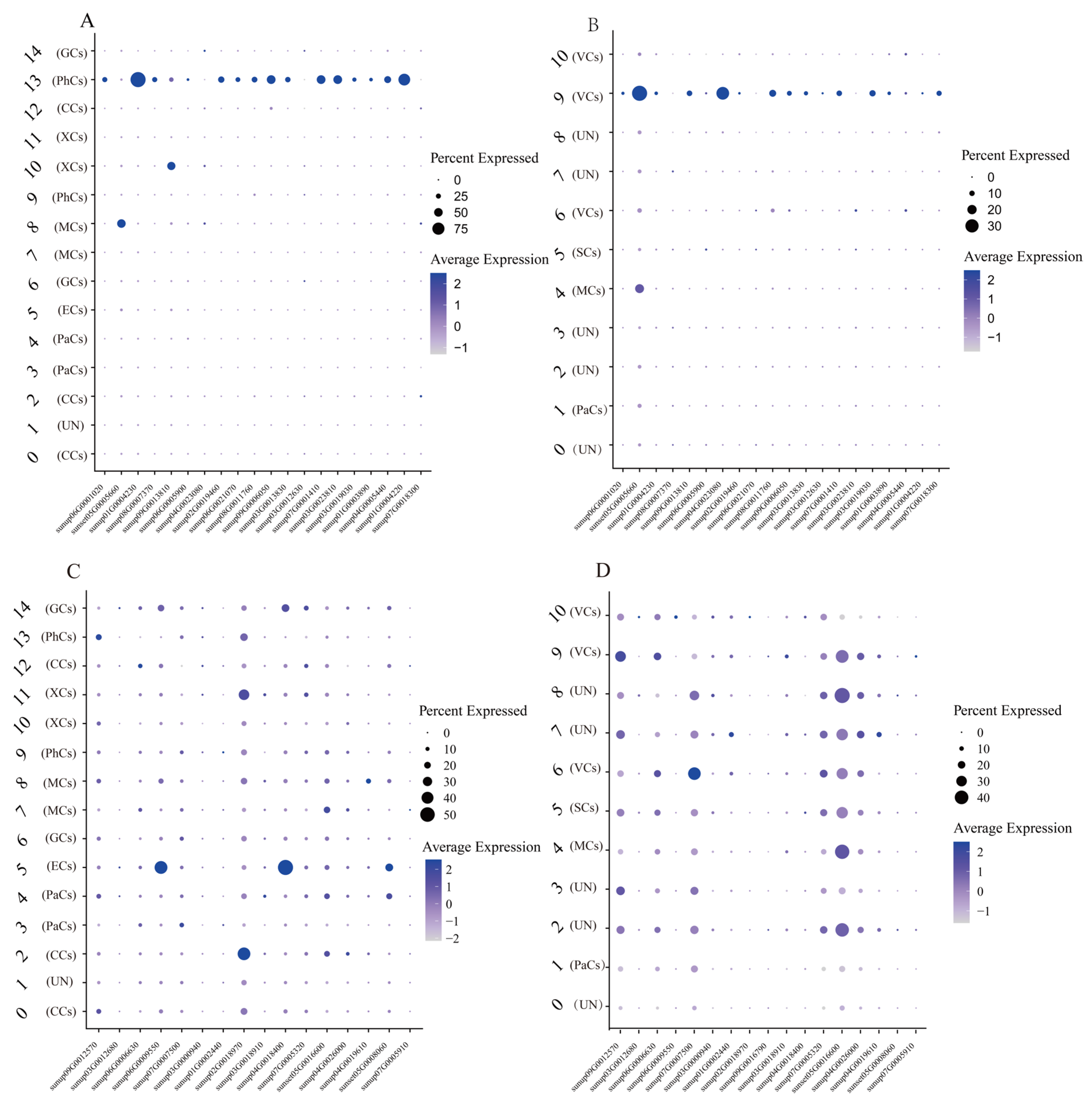
2.5.3. Expression of Alkaloid Biosynthesis-Related Genes in Papaya
2.5.4. Differentiation Trajectory of Epidermal Cells and Vascular Cells
3. Discussion
4. Materials and Methods
4.1. Plant Materials and Growth Conditions
4.2. Non-Targeted Metabolome Analysis
4.3. Transcriptome Sequencing and Analysis
4.4. Weighted Gene Co-Expression Network Analysis
4.5. qRT-PCR Validation
4.6. Single-Nucleus RNA Sequencing and Analysis
4.6.1. Preparation of Nuclei Suspension from Papaya Protoplasts
- (1)
- Buffer preparation: The nuclei isolation buffer (NIB) was thoroughly mixed and filtered through a 0.22 μm filter.
- (2)
- Isolation of nuclei: ➀ The samples were minced with a sterile razor blade for 2 min, repeated 2–3 times, until a homogenate was obtained with no large tissue fragments remaining. ➁ The homogenized samples were carefully transferred into centrifuge tubes containing NIB prepared according to the Table 3 and centrifuged at 300× g for 1 min. The supernatant was collected into a new centrifuge tube. ➂ The supernatant was passed sequentially through a 70 μm cell strainer into a new 50 mL tube, followed by a 40 μm cell strainer into a new 15 mL tube. ➃ The filtrate was centrifuged at 2000× g for 5 min. The supernatant was discarded, and the filtrate was resuspended in wash buffer. ➄ The nuclei suspension was adjusted to a concentration of 1000–2000 nuclei/µL using wash buffer prepared according to the Table 4 and kept on ice until further use.
- (3)
- Fluorescence-activated nuclei sorting: ➀ Flow cytometry sample tubes were pre-cooled to 4 °C. A mixture of 100 μL of nuclei and 900 μL of wash buffer was transferred into a sample tube as an unstained control. A 70 μm nozzle was used with the default pressure set at 20 psi. Based on FSC-A vs. SSC-A, a gate was set to select small particles and exclude large debris. ➁ DAPI was added to the remaining single-nucleus suspension to a final concentration of 10 μM. The stained nuclei suspension was transferred into a flow cytometry sample tube. Another sample tube containing 1 mL of wash buffer was used to collect the sorted nuclei. Nuclei were sorted based on DAPI signal and nuclear size. ➂ The sorted nuclei suspension was centrifuged at 2000× g for 5 min at 4 °C. The supernatant was discarded, and the sorted nuclei suspension was resuspended in wash buffer. ➃ Then, 10 μL of the sorted nuclei suspension was stained with DAPI to a final concentration of 10 μM and examined using the DAPI fluorescence channel to assess nuclei quality and count. The collected nuclei were diluted to approximately 1000 nuclei/μL. ➄ The prepared single-nucleus suspension was immediately used for 10x Genomics library preparation.
4.6.2. Library Construction and Sequencing
4.6.3. snRNA-Seq Bioinformatics Analysis
Supplementary Materials
Author Contributions
Funding
Institutional Review Board Statement
Informed Consent Statement
Data Availability Statement
Conflicts of Interest
References
- Sharma, N.; Mishra, K.P.; Chanda, S.; Bhardwaj, V.; Tanwar, H.; Ganju, L.; Kumar, B.; Singh, S.B. Evaluation of anti-dengue activity of Carica papaya aqueous leaf extract and its role in platelet augmentation. Arch. Virol. 2019, 164, 1095–1110. [Google Scholar] [CrossRef]
- Verma, N. A Brief Study on Carica papaya—A review. Int. J. Curr. Trends Pharm. Res. 2014, 2, 541–550. [Google Scholar]
- Teixeira da Silva, J.; Rashid, Z.; Duong Tan, N.; Sivakumar, D.; Gera, A.; Souza Junior, M.; Tennant, P. Papaya (Carica papaya L.) biology and biotechnology. Tree For. Sci. 2007, 1, 47–73. [Google Scholar]
- Lal Bajya, S.; Shankar Bunkar, D.; Kumar Goyal, S.; Kumar Singh, M.; Kumar Paswan, V.; Lal, S.; Dhyani, P. Foodomics-based metabolites profiling of the Greek yogurt incorporated with unripened papaya peel powder. Food Chem. Mol. Sci. 2024, 8, 100199. [Google Scholar] [CrossRef]
- Ikram, E.H.K.; Stanley, R.; Netzel, M.; Fanning, K. Phytochemicals of papaya and its traditional health and culinary uses—A review. J. Food Compos. Anal. 2015, 41, 201–211. [Google Scholar] [CrossRef]
- Chu, X.; Zhu, W.; Li, X.; Su, E.; Wang, J. Bitter flavors and bitter compounds in foods: Identification, perception, and reduction techniques. Food Res. Int. 2024, 183, 114234. [Google Scholar] [CrossRef] [PubMed]
- Soares, S.; Kohl, S.; Thalmann, S.; Mateus, N.; Meyerhof, W.; De Freitas, V. Different phenolic compounds activate distinct human bitter taste receptors. J. Agric. Food Chem. 2013, 61, 1525–1533. [Google Scholar] [CrossRef]
- Drewnowski, A.; Gomez-Carneros, C. Bitter taste, phytonutrients, and the consumer: A review. Am. J. Clin. Nutr. 2000, 72, 1424–1435. [Google Scholar] [CrossRef]
- Osakabe, N.; Shimizu, T.; Fujii, Y.; Fushimi, T.; Calabrese, V. Sensory nutrition and bitterness and astringency of polyphenols. Biomolecules 2024, 14, 234. [Google Scholar] [CrossRef]
- Tundis, R.; Loizzo, M.R.; Menichini, F. An overview on chemical aspects and potential health benefits of limonoids and their derivatives. Crit. Rev. Food Sci. Nutr. 2014, 54, 225–250. [Google Scholar] [CrossRef]
- Shang, Y.; Ma, Y.; Zhou, Y.; Zhang, H.; Duan, L.; Chen, H.; Zeng, J.; Zhou, Q.; Wang, S.; Gu, W.; et al. Biosynthesis, regulation, and domestication of bitterness in cucumber. Science 2014, 346, 1084–1088. [Google Scholar] [CrossRef] [PubMed]
- Carlson, D.; Daxenbichler, M.E.; Vanetten, H.; Kwolek, W.F.; Williams, P.H. Glucosinolates in crucifer vegetables: Broccoli, brussels sprouts, cauliflower, collards, kale, mustard greens, and kohlrabi. J. Am. Soc. Hortic. Sci. 1987, 112, 173–178. [Google Scholar] [CrossRef]
- Wieczorek, M.N.; Michał, W.; Marzena, S.-Z.; Jeleń, H.H. Bitter taste of Brassica vegetables: The role of genetic factors, receptors, isothiocyanates, glucosinolates, and flavor context. Crit. Rev. Food Sci. Nutr. 2018, 58, 3130–3140. [Google Scholar] [CrossRef] [PubMed]
- Cárdenas, P.D.; Sonawane, P.D.; Heinig, U.; Bocobza, S.E.; Burdman, S.; Aharoni, A. The bitter side of the nightshades: Genomics drives discovery in Solanaceae steroidal alkaloid metabolism. Phytochemistry 2015, 113, 24–32. [Google Scholar] [CrossRef] [PubMed]
- Lv, Y.; Zhu, J.; Huang, S.; Xing, X.; Zhou, S.; Yao, H.; Yang, Z.; Liu, L.; Huang, S.; Miao, Y.; et al. Metabolome profiling and transcriptome analysis filling the early crucial missing steps of piperine biosynthesis in Piper nigrum L. Plant J. 2024, 1, 107–120. [Google Scholar] [CrossRef]
- Deng, S.; Zhang, G.; Olayemi Aluko, O.; Mo, Z.; Mao, J.; Zhang, H.; Liu, X.; Ma, M.; Wang, Q.; Liu, H. Bitter and astringent substances in green tea: Composition, human perception mechanisms, evaluation methods and factors influencing their formation. Food Res. Int. 2022, 157, 111262. [Google Scholar] [CrossRef] [PubMed]
- Canini, A.; Alesiani, D.; D’Arcangelo, G.; Tagliatesta, P. Gas chromatography–mass spectrometry analysis of phenolic compounds from Carica papaya L. leaf. J. Food Compos. Anal. 2007, 20, 584–590. [Google Scholar] [CrossRef]
- Julianti, T.; De Mieri, M.; Zimmermann, S.; Ebrahimi, S.N.; Kaiser, M.; Neuburger, M.; Raith, M.; Brun, R.; Hamburger, M. HPLC-based activity profiling for antiplasmodial compounds in the traditional Indonesian medicinal plant Carica papaya L. J. Ethnopharmacol. 2014, 155, 426–434. [Google Scholar] [CrossRef]
- Nakamura, Y.; Yoshimoto, M.; Murata, Y.; Shimoishi, Y.; Asai, Y.; Park, E.Y.; Sato, K.; Nakamura, Y. Papaya seed represents a rich source of biologically active isothiocyanate. J. Agric. Food Chem. 2007, 55, 4407–4413. [Google Scholar] [CrossRef]
- Hiraga, Y.; Ara, T.; Sato, N.; Akimoto, N.; Sugiyama, K.; Suzuki, H.; Kera, K. Metabolic analysis of unripe papaya (Carica papaya L.) to promote its utilization as a functional food. Biosci. Biotechnol. Biochem. 2021, 85, 1194–1204. [Google Scholar] [CrossRef]
- Lieb, V.M.; Esquivel, P.; Cubero Castillo, E.; Carle, R.; Steingass, C.B. GC–MS profiling, descriptive sensory analysis, and consumer acceptance of Costa Rican papaya (Carica papaya L.) fruit purees. Food Chem. 2018, 248, 238–246. [Google Scholar] [CrossRef]
- Govindachari, T.R.; Nagarajan, K.; Viswanathan, N. Carpaine and pseudocarpaine. Tetrahedron Lett. 1965, 6, 1907–1916. [Google Scholar] [CrossRef]
- Tang, C.-S. New macrocyclic, Δ1-piperideine alkaloids from papaya leaves: Dehydrocarpaine I and II. Phytochemistry 1979, 18, 651–652. [Google Scholar] [CrossRef]
- Burdick, E.M. Carpaine: An alkaloid of Carica papaya–its chemistry and pharmacology. Econ. Bot. 1971, 25, 363–365. [Google Scholar] [CrossRef]
- Zunjar, V.; Dash, R.P.; Jivrajani, M.; Trivedi, B.; Nivsarkar, M. Antithrombocytopenic activity of carpaine and alkaloidal extract of Carica papaya L. leaves in busulfan induced thrombocytopenic Wistar rats. J. Ethnopharmacol. 2016, 181, 20–25. [Google Scholar] [CrossRef] [PubMed]
- Yaohai, Z.; Nian, Z.; Chengqiu, W.; Jing, L.I.; Xijuan, Z.; Bining, J. Targeted screening and quantification of bioactive components of pomelo fruits at different maturity stages based on ultra–high performance liquid chromatography–quadrupole–tandem mass spectrometry. Food Ferment. Ind. 2023, 49, 279–287. [Google Scholar]
- Fuping, L.I.U.; Huihong, L.; Xi, W.; Dongkui, C.; Chizhang, W.E.I.; Hongming, H.; Nina, W. Differential analysis of flesh compounds of grapefruit of guipuyou No. 1 at different maturation stages based on widely targeted metabolomics. Chin. J. Trop. Crops 2024, 45, 2487–2499. [Google Scholar]
- Zhang, B.; Horvath, S. A general framework for weighted gene co-expression network analysis. Stat. Appl. Genet. Mol. Biol. 2005, 4, 17. [Google Scholar] [CrossRef]
- Langfelder, P.; Horvath, S. WGCNA: An R package for weighted correlation network analysis. BMC Bioinform. 2008, 9, 559. [Google Scholar] [CrossRef]
- Abe, M.; Katsumata, H.; Komeda, Y.; Takahashi, T. Regulation of shoot epidermal cell differentiation by a pair of homeodomain proteins in Arabidopsis. Development 2003, 130, 635–643. [Google Scholar] [CrossRef]
- Peng, Y.; Liu, Y.; Wang, Y.; Geng, Z.; Qin, Y.; Ma, S. Stomatal maturomics: Hunting genes regulating guard cell maturation and function formation from single-cell transcriptomes. J. Genet. Genom. 2024, 51, 1286–1299. [Google Scholar] [CrossRef]
- Ohashi-Ito, K.; Bergmann, D.C. Arabidopsis FAMA controls the final proliferation/differentiation switch during stomatal development. Plant Cell 2006, 18, 2493–2505. [Google Scholar] [CrossRef]
- Lee, S.B.; Suh, M.C. Disruption of glycosylphosphatidylinositol-anchored lipid transfer protein 15 affects seed coat permeability in Arabidopsis. Plant J. 2018, 96, 1206–1217. [Google Scholar] [CrossRef] [PubMed]
- Zhou, J.; Zhong, R.; Ye, Z.-H. Arabidopsis NAC Domain Proteins, VND1 to VND5, Are Transcriptional Regulators of Secondary Wall Biosynthesis in Vessels. PLoS ONE 2014, 9, e105726. [Google Scholar] [CrossRef] [PubMed]
- Taylor, N.G.; Scheible, W.-R.; Cutler, S.; Somerville, C.R.; Turner, S.R. The irregular xylem3 Locus of Arabidopsis Encodes a Cellulose Synthase Required for Secondary Cell Wall Synthesis. Plant Cell 1999, 11, 769–779. [Google Scholar] [CrossRef]
- Wallner, E.-S.; López-Salmerón, V.; Belevich, I.; Poschet, G.; Jung, I.; Grünwald, K.; Sevilem, I.; Jokitalo, E.; Hell, R.; Helariutta, Y.; et al. Strigolactone- and Karrikin-Independent SMXL Proteins Are Central Regulators of Phloem Formation. Curr. Biol. 2017, 27, 1241–1247. [Google Scholar] [CrossRef]
- Wang, B.; Luo, C.; Li, X.; Jimenez, A.; Cai, J.; Chen, J.; Yu, F. The FERONIA-RESPONSIVE TO DESICCATION 26 module regulates vascular immunity to Ralstonia solanacearum. Plant Cell 2025, 37, koae302. [Google Scholar] [CrossRef]
- Cai, J.; Panda, S.; Kazachkova, Y.; Amzallag, E.; Li, Z.; Meir, S.; Aharoni, A. A NAC triad modulates plant immunity by negatively regulating N-hydroxy pipecolic acid biosynthesis. Nat. Commun. 2024, 15, 7212. [Google Scholar] [CrossRef]
- Wang, J.; Li, Y.; Yang, Y.; Xiao, C.; Ruan, Q.; Li, P.; Kai, G. Comprehensive analysis of OpHD-ZIP transcription factors related to the regulation of camptothecin biosynthesis in Ophiorrhiza pumila. Int. J. Biol. Macromol. 2023, 242, 124910. [Google Scholar] [CrossRef]
- Li, R.C. Single-Cell Transcriptomics Reveals the Spatial Distribution of Ginsenoside Biosynthetic Pathways in the Shoot Tips and Leaves of Gynostemma pentaphyllum. Master’s Thesis, Peking Union Medical College, Beijing, China, 2023. [Google Scholar]
- Li, Y. Single-Cell Transcriptome Sequencing Reveals the Spatial Specificity of Monoterpenoid Indole Alkaloid Biosynthetic Pathways in Catharanthus roseus Leaves. Master’s Thesis, School of Medicine, Tsinghua University, Beijing, China, 2021. [Google Scholar]
- Cock, P.J.A.; Fields, C.J.; Goto, N.; Heuer, M.L.; Rice, P.M. The Sanger FASTQ file format for sequences with quality scores, and the Solexa/Illumina FASTQ variants. Nucleic Acids Res. 2010, 38, 1767–1771. [Google Scholar] [CrossRef] [PubMed]
- Chen, S.; Zhou, Y.; Chen, Y.; Gu, J. fastp: An ultra-fast all-in-one FASTQ preprocessor. Bioinformatics 2018, 34, i884–i890. [Google Scholar] [CrossRef]
- Bolger, A.M.; Lohse, M.; Usadel, B. Trimmomatic: A flexible trimmer for Illumina sequence data. Bioinformatics 2014, 30, 2114–2120. [Google Scholar] [CrossRef] [PubMed]
- Kim, D.; Paggi, J.M.; Park, C.; Bennett, C.; Salzberg, S.L. Graph-based genome alignment and genotyping with HISAT2 and HISAT-genotype. Nat. Biotechnol. 2019, 37, 907–915. [Google Scholar] [CrossRef]
- Anders, S.; Huber, W. Differential expression analysis for sequence count data. Genome Biol. 2010, 10, R106. [Google Scholar] [CrossRef]
- Cantalapiedra, C.P.; Hernández-Plaza, A.; Letunic, I.; Bork, P.; Huerta-Cepas, J. eggNOG-mapper v2: Functional annotation, orthology assignments, and domain prediction at the metagenomic scale. Mol. Biol. Evol. 2021, 38, 5825–5829. [Google Scholar] [CrossRef]
- Mu, H.; Chen, J.; Huang, W.; Huang, G.; Deng, M.; Hong, S.; Ai, P.; Gao, C.; Zhou, H. OmicShare tools: A zero-code interactive online platform for biological data analysis and visualization. iMeta 2024, 3, e228. [Google Scholar] [CrossRef]
- Shannon, P.; Markiel, A.; Ozier, O.; Baliga, N.S.; Wang, J.T.; Ramage, D.; Amin, N.; Schwikowski, B.; Ideker, T. Cytoscape: A software environment for integrated models of biomolecular interaction networks. Genome Res. 2003, 11, 2498–2504. [Google Scholar] [CrossRef]
- Livak, K.J.; Schmittgen, T.D. Analysis of relative gene expression data using real-time quantitative PCR and the 2−ΔΔCT method. Methods 2001, 25, 402–408. [Google Scholar] [CrossRef] [PubMed]
- Conde, D.; Triozzi, P.M.; Balmant, K.M.; Doty, A.L.; Miranda, M.; Boullosa, A.; Schmidt, H.W.; Pereira, W.J.; Dervinis, C.; Kirst, M. A robust method of nuclei isolation for single-cell RNA sequencing of solid tissues from the plant genus Populus. PLoS ONE 2021, 16, e0251149. [Google Scholar] [CrossRef] [PubMed]
- Sunaga-Franze, D.Y.; Muino, J.M.; Braeuning, C.; Xu, X.; Zong, M.; Smaczniak, C.; Yan, W.; Fischer, C.; Vidal, R.; Kliem, M.; et al. Single-nucleus RNA sequencing of plant tissues using a nanowell-based system. Plant J. 2021, 108, 859–869. [Google Scholar] [CrossRef]
- Qiu, X.; Mao, Q.; Tang, Y.; Wang, L.; Chawla, R.; Pliner, H.A.; Trapnell, C. Reversed graph embedding resolves complex single-cell trajectories. Nat. Methods 2017, 14, 979–982. [Google Scholar] [CrossRef] [PubMed]
- Chen, T.; Chen, X.; Zhang, S.; Zhu, J.; Tang, B.; Wang, A.; Dong, L.; Zhang, Z.; Yu, C.; Sun, Y.; et al. The Genome Sequence Archive family: Toward explosive data growth and diverse data types. Genom. Proteom. Bioinform. 2021, 19, 578–583. [Google Scholar] [CrossRef] [PubMed]
- CNCB-NGDC Members and Partners. Database resources of the National Genomics Data Center, China National Center for Bioinformation in 2025. Nucleic Acids Res. 2025, 53, D30–D44. [Google Scholar] [CrossRef] [PubMed]









| Module | Number | Module | Number | Module | Number |
|---|---|---|---|---|---|
| darkgreen | 30 | darkred | 31 | royalblue | 33 |
| lightgreen | 35 | lightgreen | 35 | grey60 | 44 |
| lightcyan | 49 | midnightblue | 53 | cyan | 56 |
| salmon | 66 | tan | 75 | greenyellow | 98 |
| purple | 102 | magenta | 260 | pink | 282 |
| black | 332 | red | 450 | green | 638 |
| yellow | 903 | brown | 2006 | blue | 2626 |
| turquoise | 3718 | grey | 5033 |
| Reagent | Final Concentration | Volume Added |
|---|---|---|
| DextranT40 | 5% | 0.5 g |
| Sucrose (2 M) | 0.4 M | 2 mL |
| MgCl2 (1 M) | 10 mM | 100 μL |
| Dithiothreitol (DTT) | 1 mM | 10 μL |
| RNase inhibitor | 2 U/μL | 50 μL |
| Triton X-100 (30%) | 0.1% | 33 μL |
| Tris-HCl (1 M) | 100 mM | 1 μL |
| RNase-free water | / | Up to 10 mL |
| Reagent | Final Concentration | Volume Added |
|---|---|---|
| PBS | 10 mM | 1 mL |
| BSA | 1% | 500 μL |
| RNase inhibitor | 2 U/μL | 50 μL |
| RNase-free water | / | Up to 10 mL |
Disclaimer/Publisher’s Note: The statements, opinions and data contained in all publications are solely those of the individual author(s) and contributor(s) and not of MDPI and/or the editor(s). MDPI and/or the editor(s) disclaim responsibility for any injury to people or property resulting from any ideas, methods, instructions or products referred to in the content. |
© 2026 by the authors. Licensee MDPI, Basel, Switzerland. This article is an open access article distributed under the terms and conditions of the Creative Commons Attribution (CC BY) license.
Share and Cite
Kong, J.; Zheng, Y.; Pan, J.; Yang, Z.; Tang, Y.; Xiao, M.; Ming, R. Deciphering Alkaloid Bitter Compounds and Relevant Transcription Factors in Papaya. Int. J. Mol. Sci. 2026, 27, 3438. https://doi.org/10.3390/ijms27083438
Kong J, Zheng Y, Pan J, Yang Z, Tang Y, Xiao M, Ming R. Deciphering Alkaloid Bitter Compounds and Relevant Transcription Factors in Papaya. International Journal of Molecular Sciences. 2026; 27(8):3438. https://doi.org/10.3390/ijms27083438
Chicago/Turabian StyleKong, Jiayi, Yutong Zheng, Jianling Pan, Zhihui Yang, Yuru Tang, Mengjun Xiao, and Ray Ming. 2026. "Deciphering Alkaloid Bitter Compounds and Relevant Transcription Factors in Papaya" International Journal of Molecular Sciences 27, no. 8: 3438. https://doi.org/10.3390/ijms27083438
APA StyleKong, J., Zheng, Y., Pan, J., Yang, Z., Tang, Y., Xiao, M., & Ming, R. (2026). Deciphering Alkaloid Bitter Compounds and Relevant Transcription Factors in Papaya. International Journal of Molecular Sciences, 27(8), 3438. https://doi.org/10.3390/ijms27083438

