Controlling the Mixing Sequence of the Reactive Compatibilizer SAN-g-Epoxy in PBT/ABS Blends: Enhancing Mechanical and Thermomechanical Performance Through Interfacial Engineering
Abstract
1. Introduction
2. Results
2.1. Torque Rheometry
2.2. Oscillatory Rheology
2.3. Fourier Transform Infrared Spectroscopy (FTIR)
2.4. Scanning Electron Microscopy (SEM)
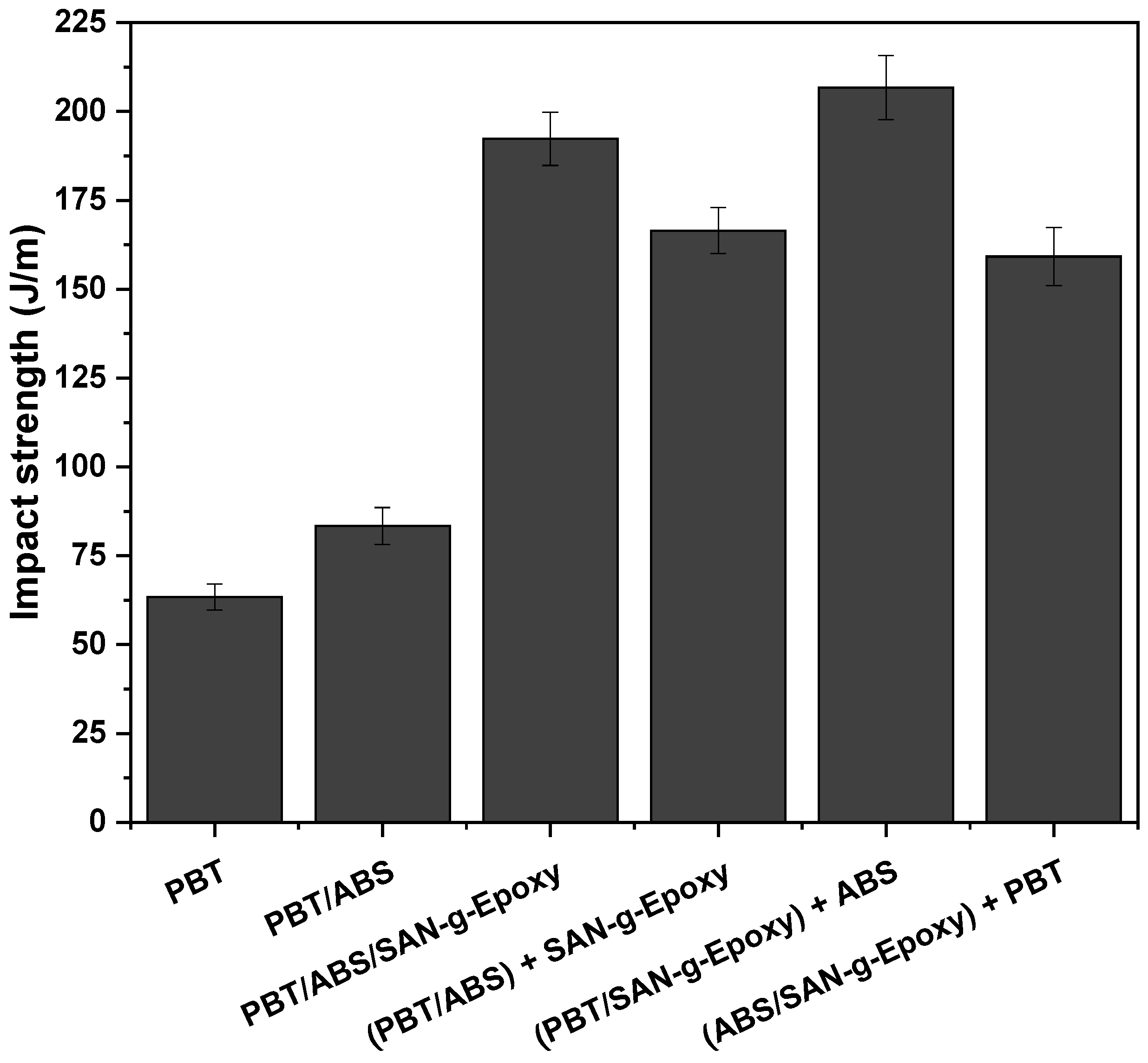
2.5. Impact Strength
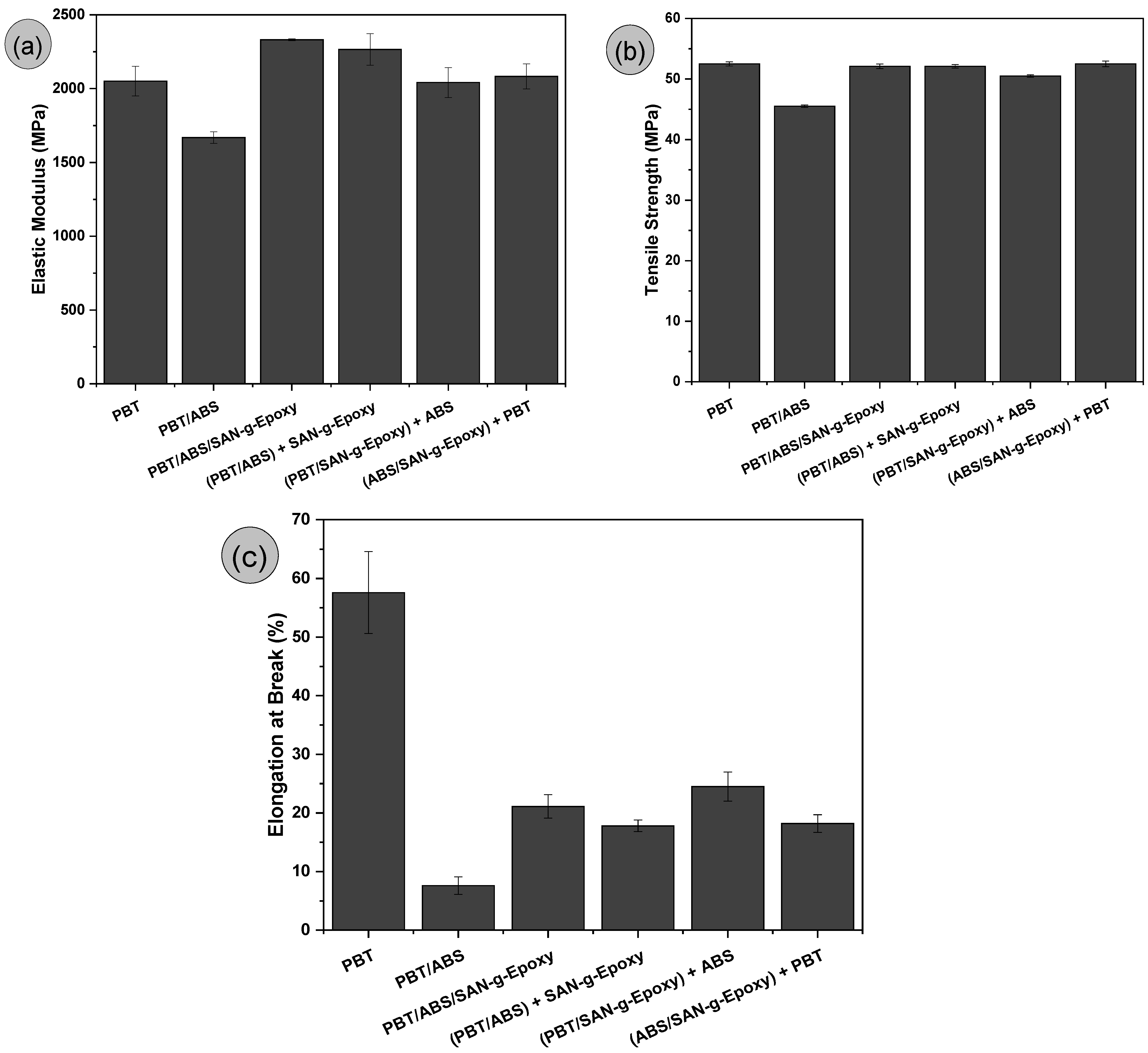
2.6. Tensile Strength
2.7. Heat Deflection Temperature (HDT)
2.8. Dynamic Mechanical Thermal Analysis (DMTA)
2.9. Differential Scanning Calorimetry (DSC)
3. Discussion
3.1. Torque Rheometry
3.2. Oscillatory Rheology
3.3. Fourier Transform Infrared Spectroscopy (FTIR)
3.4. Scanning Electron Microscopy (SEM)
3.5. Impact Strength
3.6. Tensile Strength
3.7. Heat Deflection Temperature (HDT)
3.8. Dynamic Mechanical Thermal Analysis (DMTA)
3.9. Differential Scanning Calorimetry (DSC)
4. Materials and Methods
4.1. Materials
4.2. Extrusion Processing
- ➢
- PBT/ABS/SAN-g-Epoxy: Indicates that all components of the formulation were simultaneously added to the extruder during processing;
- ➢
- (PBT/ABS) + SAN-g-Epoxy: Indicates that, in an initial step, PBT was previously processed with ABS by extrusion, forming a pre-blend. Subsequently, this material was subjected to a second processing step, in which SAN-g-Epoxy was added to the system;
- ➢
- (PBT/SAN-g-Epoxy) + ABS: Indicates that, in an initial step, PBT was previously processed with the SAN-g-Epoxy compatibilizer by extrusion, forming a pre-blend. Subsequently, this material was subjected to a second processing step, in which ABS was incorporated into the system;
- ➢
- (ABS/SAN-g-Epoxy) + PBT: Indicates that, initially, ABS was processed together with the SAN-g-epoxy compatibilizer in a first extrusion step, forming a pre-blend. Subsequently, this material was reprocessed in a second step, in which PBT was incorporated into the mixture.
4.3. Injection Molding
4.4. Sample Characterization
5. Conclusions
Author Contributions
Funding
Institutional Review Board Statement
Informed Consent Statement
Data Availability Statement
Acknowledgments
Conflicts of Interest
References
- Long, Y.; Li, R.; Li, H.; Dong, X.; Xing, Q. Enhancing mechanical and shape memory properties of polylactide/polyamide elastomer blends via reactive blending with a chain extender. J. Appl. Polym. Sci. 2024, 141, e55229. [Google Scholar] [CrossRef]
- Li, H.; Zhang, X.; Wang, J.; Xing, Q.; Li, R.; Dong, X. Toward Highly Toughened Polylactide/Polycaprolactone-Based Polyurethane Blends with Shape Memory Property via Reactive Blending. J. Appl. Polym. Sci. 2025, 142, e56490. [Google Scholar] [CrossRef]
- Xie, Y.; Wang, C.; Gao, S.; Li, Z.; Cheng, S.; Yin, H.; Zhou, Y.; Ding, Y. Mechanism of improving the mechanical and barrier properties of poly(lactide)/poly(butylene adipate-co-terephthalate) blends. J. Appl. Polym. Sci. 2024, 141, e56120. [Google Scholar] [CrossRef]
- Boruvka, M.; Base, R.; Novak, J.; Brdlik, P.; Behalek, L.; Ngaowthong, C. Phase Morphology and Mechanical Properties of Super-Tough PLLA/TPE/EMA-GMA Ternary Blends. Polymers 2024, 16, 192. [Google Scholar] [CrossRef]
- Andrzejewski, J.; Das, S.; Lipik, V.; Mohanty, A.K.; Misra, M.; You, X.; Tan, L.P.; Chang, B.P. The Development of Poly(lactic acid) (PLA)-Based Blends and Modification Strategies: Methods of Improving Key Properties towards Technical Applications—Review. Materials 2024, 17, 4556. [Google Scholar] [CrossRef]
- Jin, M.; Qi, B.; Chen, K.; Cao, L.; Chen, P.; Sun, C.; Zhang, J.; Shao, Z.; Tan, H.; Zhang, Y. Structure, Mechanical Properties, and Rheological Characteristics of Poly(Butylene Adipate-co-Terephthalate)–Polylactic Acid Blends Modified via In Situ Maleic Anhydride Grafting. Polymers 2025, 17, 2264. [Google Scholar] [CrossRef]
- Bakhtiari, S.S.E.; Salehiyan, R.S.; Sasi, A.; Shyha, I.; Sun, D. The Critical Role of Processing Sequence on the Mechanical Properties of Reactively Compatibilized PLA/PBAT Blends: Effect of Manufacturing Method. Macromol. Mater. Eng. 2025, 310, e00108. [Google Scholar] [CrossRef]
- Choi, K.; Gil, J.; Ju, J.; Li, Z.; Juang, H.W.; Bang, J. Enhanced Extrusion Processability of PLA Blends through Rheology Control Using Biodegradable PLA-based Graft Polymers. ACS Appl. Polym. Mater. 2025, 7, 54–62. [Google Scholar] [CrossRef]
- Raj, A.; Yousfi, M.; Prashantha, K.; Samuel, C. Morphologies, Compatibilization and Properties of Immiscible PLA-Based Blends with Engineering Polymers: An Overview of Recent Works. Polymers 2024, 16, 1776. [Google Scholar] [CrossRef]
- Xue, B.; Wu, G.; Li, J.; He, H. Morphological Characteristics and Properties of PLA/PA12/EGMA Ternary Blends Under Shear and Elongational Flow Fields. J. Appl. Polym. Sci. 2026, 143, e57990. [Google Scholar] [CrossRef]
- Wu, H.; Duan, M.; Ning, Z.; Gan, H.; Jiang, N. Reactive Toughening of Poly(Glycolic Acid)/Poly(ε-Caprolactone) Blends Using Environmentally Friendly and Cost-Effective Bio-Based Chain Extenders. J. Appl. Polym. Sci. 2025, 142, e57016. [Google Scholar] [CrossRef]
- Chen, R.Y.; Zhang, F.P.; Jin, B.H.; Han, L.; Zhang, Z.H.; Lin, B.; Pan, F.; Fang, S.M. Preparation and Properties of Toughened PLA/PBAT Blends Based on EVA and Multi-Functional Epoxy Chain Extender. J. Appl. Polym. Sci. 2025, 142, e56857. [Google Scholar] [CrossRef]
- Shen, X.; Xu, L.; Li, Z.; Pan, Q.; Peng, C.; Yang, H.; Song, Y. The Key to High-Ductile of Poly(Lactic Acid)/Poly (Butylene Adipate-Co-Terephthalate) Blends: Dicumyl Peroxide In Situ Compatibilization and Low Crystal Degree. J. Appl. Polym. Sci. 2025, 142, e57076. [Google Scholar] [CrossRef]
- Vyvahare, S.A.; Kharat, B.M.; More, A.P. Polybutylene terephthalate (PBT) blends and composites: A review. Vietnam. J. Chem. 2024, 62, 579–589. [Google Scholar] [CrossRef]
- Lee, H.; Lee, T.H.; Kim, H.; Jang, K.S. Poly(butylene terephthalate)/poly(ethylene glycol) blends with compatibilizers. J. Appl. Polym. Sci. 2024, 141, e55230. [Google Scholar] [CrossRef]
- Mane, P.; Keche, A.J.; Chopra, S.; Pande, K. Effect of polycarbonate (PC) content on the mechanical properties, morphology and transesterification mechanism of PBT/PC immiscible blends. J. Appl. Polym. Sci. 2024, 141, e55902. [Google Scholar] [CrossRef]
- Nofar, M.; Oguz, H. Development of PBT/Recycled-PET Blends and the Influence of Using Chain Extender. J. Polym. Environ. 2019, 27, 1404–1417. [Google Scholar] [CrossRef]
- Lin, G.P.; Lin, L.; Wang, X.L.; Chen, L.; Wang, Y.Z. PBT/PC Blends Compatibilized and Toughened via Copolymers in Situ Formed by MgO-Catalyzed Transesterification. Ind. Eng. Chem. Res. 2015, 54, 1282–1291. [Google Scholar] [CrossRef]
- Aróstegui, A.; Gaztelumendi, M.; Nazábal, J. Toughened poly(butylene terephthalate) by blending with a metallocenic poly(ethylene–octene) copolymer. Polymer 2001, 42, 9565–9574. [Google Scholar] [CrossRef]
- Bai, H.; Zhang, Y.; Zhang, Y.; Zhang, X.; Zhou, W. Toughening modification of PBT/PC blends with PTW and POE. J. Appl. Polym. Sci. 2006, 101, 54–62. [Google Scholar] [CrossRef]
- Sharma, R.; Jain, P.; Sadhu, S.D. Study of Morphological and Mechanical Properties of PBT/PTT Blends and Their Nanocomposites and Their Correlation. Arab. J. Sci. Eng. 2019, 44, 1137–1150. [Google Scholar] [CrossRef]
- Kim, S.J.; Kim, D.K.; Cho, W.J.; Ha, C.S. Morphology and properties of PBT/nylon 6/EVA-g-MAH ternary blends prepared by reactive extrusion. Polym. Eng. Sci. 2003, 43, 1298–1311. [Google Scholar] [CrossRef]
- Huang, C.C.; Chang, F.C. Reactive compatibilization of polymer blends of poly(butylene terephthalate) (PBT) and polyamide-6,6 (PA66): 1. Rheological and thermal properties. Polymer 1997, 38, 2135–2141. [Google Scholar] [CrossRef]
- Hong, J.S.; Kim, J.L.; Ahn, K.H.; Lee, S.J. Morphology development of PBT/PE blends during extrusion and its reflection on the rheological properties. J. Appl. Polym. Sci. 2005, 97, 1702–1709. [Google Scholar] [CrossRef]
- Righetti, M.C.; Lorenzo, M.L.D.; Angiuli, M.; Tombari, E.; Pietra, P.L. Poly(butylene terephthalate)/poly(ε-caprolactone) blends: Influence of PCL molecular mass on PBT melting and crystallization behavior. Eur. Polym. J. 2007, 43, 4726–4738. [Google Scholar] [CrossRef]
- Zhang, H.; Ren, M.; Chen, Q.; Sun, S.; Sun, X.; Zhang, H.; Mo, Z. Miscibility and crystallization behavior of PBT/epoxy blends. J. Polym. Sci. 2006, 44, 1320–1330. [Google Scholar] [CrossRef]
- Yang, H.; Lai, M.; Liu, W.; Sun, C.; Liu, J. Morphology and thermal and mechanical properties of PBT/HIPS and PBT/HIPS-g-GMA blends. J. Appl. Polym. Sci. 2002, 85, 2600–2608. [Google Scholar] [CrossRef]
- Tomar, N.; Maiti, S.N. Thermal and crystallization properties of PBT/ABAS blends. J. Appl. Polym. Sci. 2009, 113, 1657–1663. [Google Scholar] [CrossRef]
- Hale, W.R.; Pessan, L.A.; Keskkula, H.; Paul, D.R. Effect of compatibilization and ABS type on properties of PBT/ABS blends. Polymer 1999, 40, 4237–4250. [Google Scholar] [CrossRef]
- Ambrósio, J.D.; Pessan, L.A.; Otaguro, H.; Chinelatto, M.A.; Júnior, E.H. The Effect of Extrusion Conditions and the Use of a Compatibilizer in the Crystallization of PBT/ABS Blends. Mater. Res. 2013, 16, 1220–1228. [Google Scholar] [CrossRef]
- Ferreir, L.A.S.; Pessan, L.A.; Júnior, E.H. Comportamento Mecânico e Termo-Mecânico de Blendas Poliméricas PBT/ABS. Polímeros 1997, 7, 67–72. [Google Scholar] [CrossRef]
- Sun, S.; Tan, Z.; Zhou, C.; Zhang, M.; Zhang, H. Effect of ABS grafting degree and compatibilization on the properties of PBT/ABS blends. Polym. Compos. 2007, 28, 484–492. [Google Scholar] [CrossRef]
- Lee, P.C.; Kuo, W.F.; Chang, F.C. In situ compatibilization of PBT/ABS blends through reactive copolymers. Polymer 1994, 35, 5641–5650. [Google Scholar] [CrossRef]
- Hale, W.; Keskkula, H.; Paul, D.R. Effect of crosslinking reactions and order of mixing on properties of compatibilized PBT/ABS blends. Polymer 1999, 40, 3665–3676. [Google Scholar] [CrossRef]
- Hale, W.; Keskkula, H.; Paul, D.R. Fracture behavior of PBT–ABS blends compatibilized by methyl methacrylate–glycidyl methacrylate–ethyl acrylate terpolymers. Polymer 1999, 40, 3353–3365. [Google Scholar] [CrossRef]
- Aróstegui, A.; Nazábal, J. New super-tough poly(butylene terephthalate) materials based on compatibilized blends with metallocenic poly(ethylene-octene) copolymer. Polym. Adv. Technol. 2003, 14, 400–408. [Google Scholar] [CrossRef]
- Canto, L.B.; Mantovani, G.L.; Covas, J.A.; Júnior, E.H.; Pessan, L.A. Phase morphology development during processing of compatibilized and uncompatibilized PBT/ABS blends. J. Appl. Polym. Sci. 2007, 104, 102–110. [Google Scholar] [CrossRef]
- Yao, Z.; Lin, M.; Zhou, J.; Wang, H.; Zhong, W.; Du, Q. Influence of epoxy resin on the morphological and rheological properties of PBT/ABS blends compatibilized by ASMA. Polym. Eng. Sci. 2007, 47, 1943–1950. [Google Scholar] [CrossRef]
- Basu, D.; Banerjee, A. Determination of optimum compatibilizer (SMA) concentration for PBT/ABS (70/30) blend using tensile strength data. J. Appl. Polym. Sci. 1997, 64, 1485–1487. [Google Scholar] [CrossRef]
- Sharma, R.; Maiti, S.N. Melt rheological properties of PBT/SEBS and reactively compatibilized PBT/SEBS/SEBS-g-MA polymer blends. J. Appl. Polym. Sci. 2015, 132, 41402. [Google Scholar] [CrossRef]
- Petrus, J.; Kucera, F.; Jancár, J. Online monitoring of reactive compatiblization of poly(lactic acid)/polyamide 6 blend with different compatibilizers. J. Appl. Polym. Sci. 2019, 136, 48005. [Google Scholar] [CrossRef]
- Luna, C.B.B.; Ferreira, E.S.B.; Costa, A.R.M.; Almeida, Y.M.B.; Melo, J.B.C.A.; Araújo, E.M. Toward Reactive Processing of Polyamide 6 Based Blends with Polyethylene Grafted with Maleic Anhydride and Acrylic Acid: Effect of Functionalization Degree. Macromol. React. Eng. 2013, 17, 2300031. [Google Scholar] [CrossRef]
- Alves, T.S.; Neto, J.E.S.; Silva, S.M.L.; Carvalho, L.H.; Canedo, E.L. Process simulation of laboratory internal mixers. Polym. Test. 2016, 50, 94–100. [Google Scholar] [CrossRef]
- Oliveira, A.D.; Larocca, N.M.; Pessan, L.A. Effect from the Blending Sequence on the Properties of PA6/ABS Blends Compatibilized with SMA Copolymer. Polímeros 2011, 21, 27–33. [Google Scholar] [CrossRef]
- Mélo, T.J.A.; Carvalho, L.H.; Calumby, R.B.; Brito, K.G.Q.; D’almeida, J.R.M.; Spieth, E. Mechanical Properties and Morphology of a PP/HIPS Polymer Blend Compatibilized with SEBS. Polímeros Ciência E Tecnol. 2000, 10, 82–89. [Google Scholar] [CrossRef]
- Dong, Y.; Wang, P.; Ren, Z.; Liu, T.; Zhen, Z.; Lu, B.; Li, F.; Ji, J. Improved Strength and Heat Distortion Temperature of Emi-Aromatic Polyamide 10T-co-1012 (PA10T/1012)/GO Composites via In Situ Polymerization. Molecules 2023, 28, 1960. [Google Scholar] [CrossRef]
- Gaviria, C.O.; Cumbalaza, E.; Hernandez, J.H.M.; Zapata, M.E.V.; Bonilla, J.N.S.; Mera, N.M. Wood Plastic Composite Based on Recycled High-Density Polyethylene and Wood Waste (Sawdust). Polymers 2024, 16, 3136. [Google Scholar] [CrossRef]
- Hale, W.; Keskkula, H.; Paul, D.R. Compatibilization of PBT/ABS blends by methyl methacrylate-glycidyl methacrylate-ethyl acrylate terpolymers. Polymer 1999, 40, 365–377. [Google Scholar] [CrossRef]
- Chiang, C.R.; Chang, F.C. Polymer blends of polyamide-6 (PA6) and poly(phenylene oxide) (PPO) compatibilized by styrene-maleic anhydride (SMA) copolymer. Polymer 1997, 38, 4807–4817. [Google Scholar] [CrossRef]
- Bilmeyer, F.W. Textbook of Polymer Science, 3rd ed.; JohnWiley & Sons: New York, NY, USA, 1984. [Google Scholar]
- Meng, B.; Deng, J.; Liu, Q.; Wu, Z.; Yang, W. Transparent and ductile poly(lactic acid)/poly(butyl acrylate) (PBA) blends: Structure and properties. Eur. Polym. J. 2012, 48, 127–135. [Google Scholar] [CrossRef]
- Li, K.; Peng, J.; Turng, L.S.; Huang, H.X. Dynamic rheological behavior and morphology of polylactide/poly(butylenes adipate-co-terephthalate) blends with various composition ratios. Adv. Polym. Technol. 2011, 30, 150–157. [Google Scholar] [CrossRef]
- Zhang, X.; Ma, S.; Shen, A.; Zhu, J.; Shen, Z.; Wang, J.; Liu, X. High molecular weight poly(butylene terephthalate-co-butylene 2,5-furan dicarboxylate) copolyesters: From synthesis to thermomechanical and barrier properties. J. Appl. Polym. Sci. 2020, 137, 49365. [Google Scholar] [CrossRef]
- Chen, C.; Pan, H.Q.; Tu, J.Y.; Chen, J.F.; Zhang, X.Y.; Mao, C.L.; Zhou, X. Thermal aging mechanism of PBT energetic elastomer based on the evolution of microstructure. Mater. Chem. 2023, 32, 101655. [Google Scholar] [CrossRef]
- Li, J.; Chen, F.; Yang, L.; Jiang, L.; Dan, Y. FTIR analysis on aging characteristics of ABS/PC blend under UV-irradiation in air. Spectrochim. Acta Part A Mol. Biomol. Spectrosc. 2017, 184, 361–367. [Google Scholar] [CrossRef]
- Nascimento, W.A.; Silva, H.P.; Agrawal, P.; Mélo, T.J.A. Effect of adding the ethylene/glycidyl methacrylate (EGMA) copolymer on the rheological and mechanical properties, and morphology of poly (ethylene terephthalate) (PET). Tecnol. Em Metal. Mater. E Mineração 2021, 18, e2346. [Google Scholar] [CrossRef]
- Kim, S.J.; Shin, B.S.; Hong, J.L.; Cho, W.J.; Ha, C.S. Reactive compatibilization of the PBT/EVA blend by maleic anhydride. Polymer 2001, 42, 4073–4080. [Google Scholar] [CrossRef]
- Tsai, C.H.; Chang, F.C. Polymer blends of PBT and PP compatibilized by ethylene-co-glycidyl methacrylate copolymers. J. Appl. Polym. Sci. 1996, 61, 321–332. [Google Scholar] [CrossRef]
- Bai, H.; Zhang, Y.; Zhang, Y.; Zhang, X.; Zhou, W. Toughening modification of PBT/PC blends by PTW. Polym. Test. 2005, 24, 235–240. [Google Scholar] [CrossRef]
- Wu, J.; Xue, P.; Mai, Y.M. Effect of blending sequence on the morphology and impact toughness of poly(ethylene terephthalate)/polycarbonate blends. Polym. Eng. Sci. 2000, 40, 786–797. [Google Scholar] [CrossRef]
- Kim, B.K.; Lee, Y.M.; Jeong, H.M. Physical properties of ABS/SMA/nylon-6 ternary blends: Effect of blending sequence. Polymer 1993, 34, 2075–2080. [Google Scholar] [CrossRef]
- Liu, W.B.; Kuo, W.F.; Chiang, C.J.; Chang, F.C. In situ compatibilization of PBT/PPO blends. Eur. Polym. J. 1996, 32, 91–99. [Google Scholar] [CrossRef]
- Sun, S.; Zhang, F.; Fu, Y.; Zhou, C.; Zhang, H. Properties of Poly(butylene terephthalate)/Bisphenol A Polycarbonate Blends Toughening with Epoxy-Functionalized Acrylonitrile–Butadiene–Styrene Particles. J. Macromol. Sci. Part B 2012, 52, 861–872. [Google Scholar] [CrossRef]
- Castro, L.D.C.; Oliveira, A.D.; Kersch, M.; Altsadt, V.; Pessan, L.A. Effects of mixing protocol on morphology and properties of PA6/ABS blends compatibilized with MMA-MA. J. Appl. Polym. Sci. 2016, 133, 43612. [Google Scholar] [CrossRef]
- Oliveira, A.D.; Castro, L.D.C.; Beatrice, C.A.G.; Lucas, A.A.; Pessan, L.A. Effect of Maleic Anhydride Content in Properties of PA6/AES Blends Compatibilized with MMA-MA. Mater. Res. 2017, 20, 1630–1637. [Google Scholar] [CrossRef]
- Sun, S.L.; Xu, X.Y.; Yang, H.D.; Zhang, H.X. Toughening of poly(butylene terephthalate) with epoxy-functionalized acrylonitrile–butadiene–styrene. Polymer 2005, 46, 7632–7643. [Google Scholar] [CrossRef]
- Ambrósio, J.D.; Júnior, E.H. Effect of processing parameters on the mechanical properties of in situ compatibilized polybutylene terephthalate/acrylonitrile–butadiene–styrene blends. J. Appl. Polym. Sci. 2012, 124, 2753–2765. [Google Scholar] [CrossRef]
- Lu, X.; Qu, J. Morphology and properties of PBT/SEBS and PBT/SEBS-G-MAH blends. AIP Conf. Proc. 2016, 1713, 050004. [Google Scholar] [CrossRef]
- Colombo, M.A.S.; Díaz, F.R.V.; Kkodali, D.; Rangari, V.; Guven, O.; Moura, E.A.B. Influence of Reinforcing Efficiency of Clay on the Mechanical Properties of Poly(butylene terephthalate) Nanocomposite. Ceramics 2023, 6, 58–73. [Google Scholar] [CrossRef]
- Bikiaris, D.; Prinos, J.; Botev, M.; Betchev, C.; Panayiotou, C. Blends of polymers with similar glass transition temperatures: A DMTA and DSC study. J. Appl. Polym. Sci. 2004, 93, 726–735. [Google Scholar] [CrossRef]
- Pinoit, D.; Prud’homme, R.E. DSC and DMTA characterization of ternary blends. Polymer 2002, 43, 2321–2328. [Google Scholar] [CrossRef]
- Fu, N.; Li, G.; Yao, Y.; Wang, N.; Grami, M.E.; Zhang, Q.; Qu, X. Super-tough poly(butylene terephthalate) based blends by modification with core-shell structured polyacrylic nanoparticles. Mater. Des. 2015, 87, 495–500. [Google Scholar] [CrossRef]
- Zhang, D.; He, M.; He, W.; Zhou, Y.; Qin, S.; Yu, J. Influence of Thermo-Oxidative Ageing on the Thermal and Dynamical Mechanical Properties of Long Glass Fibre-Reinforced Poly(Butylene Terephthalate) Composites Filled with DOPO. Materials 2017, 10, 500. [Google Scholar] [CrossRef] [PubMed]
- Liu, S.; Qin, S.H.; Luo, Z.; Yu, J.; Guo, F.; He, M. Reactive Compatibilization of Poly(Butylene Terephthalate)/Acrylonitrile-Styrene-Acrylate Blends by Epoxy Resin: Morphology and Mechanical Properties. J. Macromol. Sci. Part B 2011, 50, 1780–1790. [Google Scholar] [CrossRef]
- Larocca, N.M.; Júnior, E.H.; Pessan, L.A. Effect of reactive compatibilization on the properties of poly(butylene terephthalate)/acrylonitrile–ethylene–propylene–diene–styrene blends. J. Polym. Sci. Part B 2005, 43, 1244–1259. [Google Scholar] [CrossRef]
- Ferreira, E.S.B.; Bezerra, E.B.; Luna, C.B.B.; Filho, E.A.S.; Wellen, R.M.R.; Araújo, E.M. Tailoring PBT Performance Through PBT/POE-g-GMA Nanocomposites with MWCNT. Polymers 2025, 17, 2962. [Google Scholar] [CrossRef] [PubMed]
- Hage, E.; Ferreira, L.A.S.; Manrich, S.; Pessan, L.A. Crystallization behavior of PBT/ABS polymer blends. J. Appl. Polym. Sci. 1999, 71, 423–430. [Google Scholar] [CrossRef]
- ISO 1133; Plastics—Determination of the Melt Mass-Flow Rate (MFR) and Melt Volume-Flow Rate (MVR) of Thermoplastics—Part 1: Standard Method. ISO: Geneva, Switzerland, 2011.
- ASTM D256; Standard Test Methods for Determining the Izod Pendulum Impact Resistance of Plastics. ASTM International: West Conshohocken, PA, USA, 2018.
- ISO 527-1; Plastics—Determination of Tensile Properties—Part 1: General Principles. ISO: Geneva, Switzerland, 2019.
- ISO 527-2; Plastics—Determination of Tensile Properties—Part 2: Test Conditions for Moulding and Extrusion Plastics. ISO: Geneva, Switzerland, 2012.
- ISO 75-1; Plastics—Determination of Temperature of Deflection Under Load—Part 1: General Test Method. ISO: Geneva, Switzerland, 2013.
- ISO 75-2; Plastics—Determination of Temperature of Deflection Under Load—Part 2: Plastics and Ebonite. ISO: Geneva, Switzerland, 2013.
- Loyer, C.; Régnier, G.; Duval, V.; Richaud, E. Multiscale study of poly(butylene terephthalate) hydrolysis. Polym. Degrad. Stab. 2021, 192, 109690. [Google Scholar] [CrossRef]
- Libio, I.C.; Grassi, V.G.; Pizzol, M.F.D.; Nachtigall, S.M.B. Toughened polystyrene with improved photoresistance: Effects of the compatibilizers. J. Appl. Polym. Sci. 2012, 126, 179–185. [Google Scholar] [CrossRef]
- Himmelbach, A.; Brutting, C.; Akdevelioglu, Y.; Albuquerque, R.Q.; Nofar, M.; Ruckdaschel, H. Non-isothermal crystallization kinetic of recycled PET and its blends with PBT modified with epoxy-based multifunctional chain extender. J. Appl. Polym. Sci. 2024, 141, e55357. [Google Scholar] [CrossRef]















| Samples | E′ (MPa) (30 °C) | TgPBT (°C) | TgABS (°C) |
|---|---|---|---|
| PBT | 1156.7 ± 23.1 | 63.2 ± 0.2 | - |
| PBT/ABS | 883.5 ± 42.4 | 63.1 ± 0.3 | 113.0 ± 1.1 |
| PBT/ABS/SAN-g-Epoxy | 1254.1 ± 13.7 | 62.7 ± 0.1 | 112.9 ± 1.2 |
| (PBT/ABS) + SAN-g-Epoxy | 1189.2 ± 20.2 | 62.6 ± 0.2 | 112.8 ± 1.4 |
| (PBT/SAN-g-Epoxy) + ABS | 1143.6 ± 8.1 | 61.2 ± 0.1 | 113.1 ± 0.8 |
| (ABS/SAN-g-Epoxy) + PBT | 1172.3 ± 15.2 | 61.9 ± 0.2 | 112.8 ± 1.1 |
| Samples | Tc (°C) | Tm (°C) | Xc (%) | |
|---|---|---|---|---|
| Tm1 (°C) | Tm2 (°C) | |||
| PBT | 194.0 | 215.0 | 223.8 | 22.7 |
| PBT/ABS | 193.7 | 213.9 | 223.5 | 29.9 |
| PBT/ABS/SAN-g-Epoxy | 197.1 | 216.3 | 223.3 | 22.1 |
| (PBT/ABS) + SAN-g-Epoxy | 197.1 | 216.3 | 223.2 | 22.0 |
| (PBT/SAN-g-Epoxy) + ABS | 197.9 | 217.0 | 222.8 | 27.6 |
| (ABS/SAN-g-Epoxy) + PBT | 197.6 | 216.8 | 223.5 | 26.9 |
Disclaimer/Publisher’s Note: The statements, opinions and data contained in all publications are solely those of the individual author(s) and contributor(s) and not of MDPI and/or the editor(s). MDPI and/or the editor(s) disclaim responsibility for any injury to people or property resulting from any ideas, methods, instructions or products referred to in the content. |
© 2026 by the authors. Licensee MDPI, Basel, Switzerland. This article is an open access article distributed under the terms and conditions of the Creative Commons Attribution (CC BY) license.
Share and Cite
Luna, C.B.B.; Ferreira, E.d.S.B.; Dos Santos Filho, E.A.; da Silva, F.S.; Barreto, J.V.M.; Siqueira, D.D.; Wellen, R.M.R.; Araújo, E.M. Controlling the Mixing Sequence of the Reactive Compatibilizer SAN-g-Epoxy in PBT/ABS Blends: Enhancing Mechanical and Thermomechanical Performance Through Interfacial Engineering. Int. J. Mol. Sci. 2026, 27, 3343. https://doi.org/10.3390/ijms27083343
Luna CBB, Ferreira EdSB, Dos Santos Filho EA, da Silva FS, Barreto JVM, Siqueira DD, Wellen RMR, Araújo EM. Controlling the Mixing Sequence of the Reactive Compatibilizer SAN-g-Epoxy in PBT/ABS Blends: Enhancing Mechanical and Thermomechanical Performance Through Interfacial Engineering. International Journal of Molecular Sciences. 2026; 27(8):3343. https://doi.org/10.3390/ijms27083343
Chicago/Turabian StyleLuna, Carlos Bruno Barreto, Eduardo da Silva Barbosa Ferreira, Edson Antonio Dos Santos Filho, Fabiano Santana da Silva, José Vinícius Melo Barreto, Danilo Diniz Siqueira, Renate Maria Ramos Wellen, and Edcleide Maria Araújo. 2026. "Controlling the Mixing Sequence of the Reactive Compatibilizer SAN-g-Epoxy in PBT/ABS Blends: Enhancing Mechanical and Thermomechanical Performance Through Interfacial Engineering" International Journal of Molecular Sciences 27, no. 8: 3343. https://doi.org/10.3390/ijms27083343
APA StyleLuna, C. B. B., Ferreira, E. d. S. B., Dos Santos Filho, E. A., da Silva, F. S., Barreto, J. V. M., Siqueira, D. D., Wellen, R. M. R., & Araújo, E. M. (2026). Controlling the Mixing Sequence of the Reactive Compatibilizer SAN-g-Epoxy in PBT/ABS Blends: Enhancing Mechanical and Thermomechanical Performance Through Interfacial Engineering. International Journal of Molecular Sciences, 27(8), 3343. https://doi.org/10.3390/ijms27083343

