Dihydroquercetin in Obesity and Prediabetes: Case Report and Insights from Molecular Modeling
Abstract
1. Introduction
2. Case Presentation
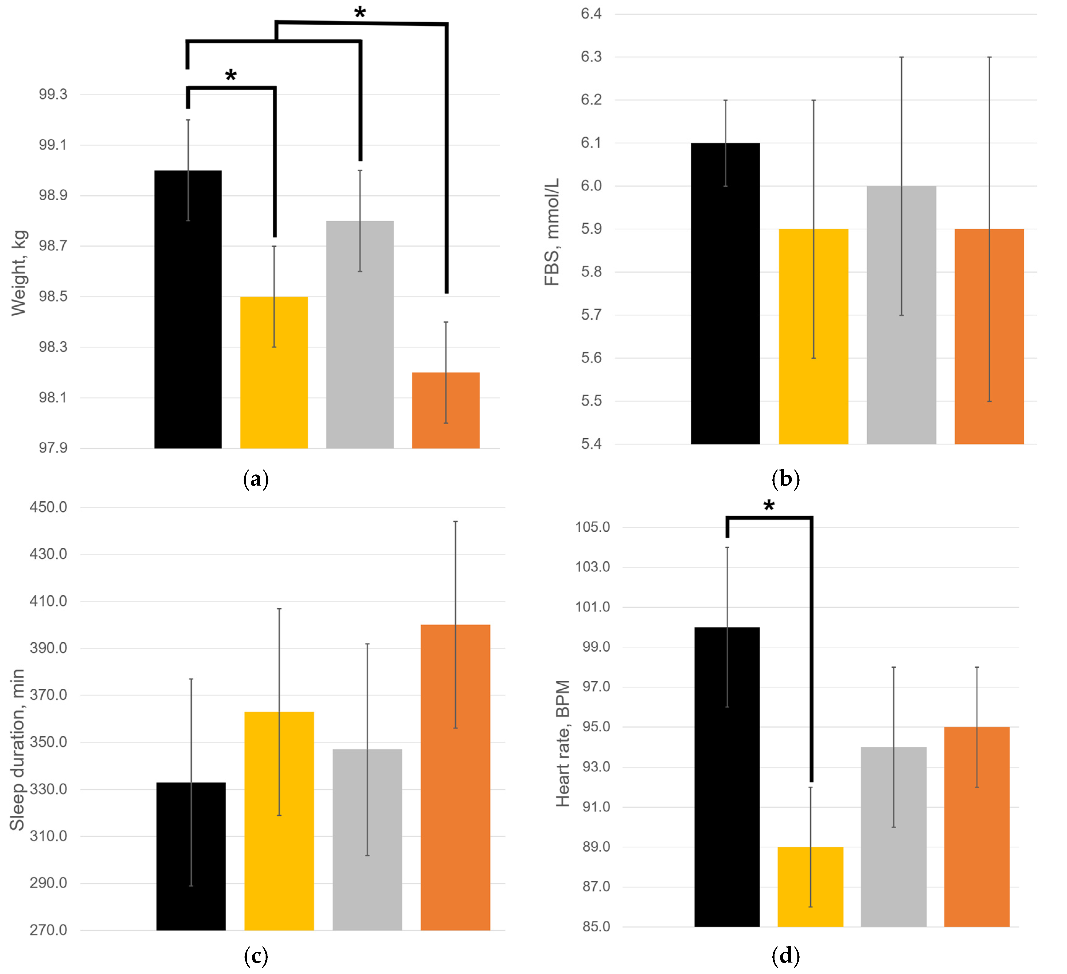
2.1. Clinical Observation
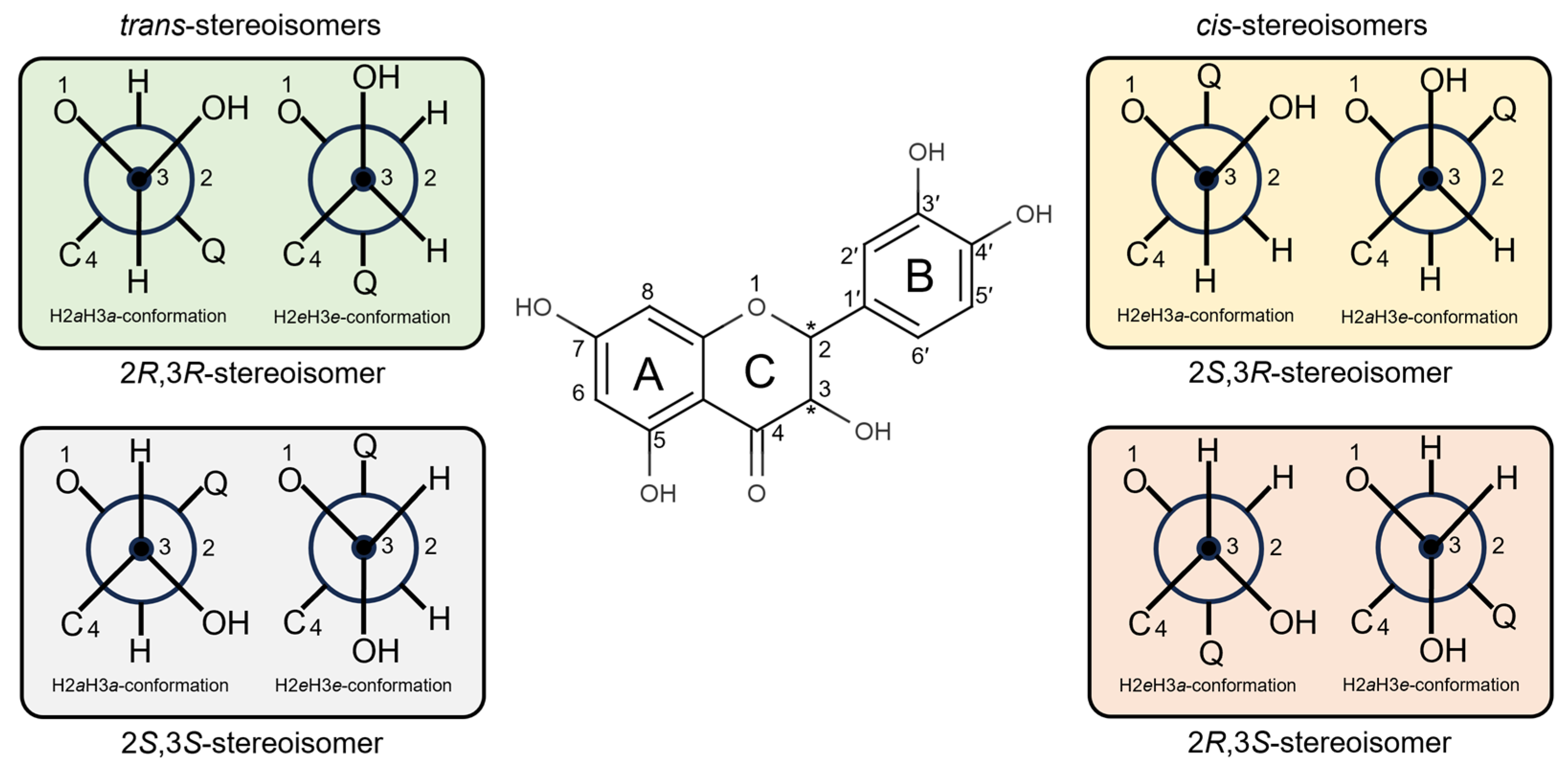
2.2. Molecular Modeling
3. Discussion
4. Materials and Methods
4.1. Clinical Case
4.2. Molecular Docking
4.3. Molecular Dynamics
4.4. Statistical Analysis
5. Conclusions
Supplementary Materials
Author Contributions
Funding
Institutional Review Board Statement
Informed Consent Statement
Data Availability Statement
Conflicts of Interest
Abbreviations
| ADRB3 | β3-adrenoceptor |
| ANOVA | analysis of variance |
| COM | center of mass |
| GLP-1RAs | glucagon-like peptide-1 receptor agonists |
| DHQ | dihydroquercetin |
| FBS | fasting blood sugar |
| PDB | Protein Data Bank |
| PPARG | peroxisome proliferator-activated receptor γ |
| RR | relative risk |
References
- Lingvay, I.; Cohen, R.V.; Roux, C.W.l.; Sumithran, P. Obesity in Adults. Lancet 2024, 404, 972–987. [Google Scholar] [CrossRef]
- McGowan, B.; Ciudin, A.; Baker, J.L.; Busetto, L.; Dicker, D.; Frühbeck, G.; Goossens, G.H.; Monami, M.; Sbraccia, P.; Martinez-Tellez, B.; et al. A Systematic Review and Meta-Analysis of the Efficacy and Safety of Pharmacological Treatments for Obesity in Adults. Nat. Med. 2025, 31, 3317–3329. [Google Scholar] [CrossRef] [PubMed]
- Khvostov, M.V.; Blokhin, M.E.; Borisov, S.A.; Fomenko, V.V.; Meshkova, Y.V.; Zhukova, N.A.; Nikonova, S.V.; Pavlova, S.V.; Pogosova, M.A.; Medvedev, S.P.; et al. Antidiabetic Effect of Dihydrobetulonic Acid Derivatives as Pparα/γ Agonists. Sci. Pharm. 2024, 92, 65. [Google Scholar] [CrossRef]
- Kozlovskaya, E.P.; Popov, A.M.; Styshova, O.N.; Vakhrushev, A.I.; Rutckova, T.A.; Podvolotskaya, A.B.; Tekutyeva, L.A. Comparative Study of the Pharmacological Properties of Luteolin and Its 7,3′-Disulfate. Mar. Drugs 2022, 20, 426. [Google Scholar] [CrossRef] [PubMed]
- Tuzovskaia, O.V.; Polonskaya, Y.V.; Garbuzova, E.V.; Kashtanova, E.V.; Ragino, Y.I. Associations of visceral adipose tissue adipokines with metabolic disorders in abdominal obesity. Bull. Sib. Med. 2025, 24, 116–123. [Google Scholar] [CrossRef]
- Kurkin, D.V.; Makarova, E.V.; Zvereva, V.I.; Makarova, A.R.; Bakulin, D.A.; Marincheva, O.V.; Gorbunova, Y.V.; Kolosov, Y.A.; Krysanov, I.S.; Koryanova, K.N.; et al. Dynamics of turnover of sugar-lowering drugs in the retail segment of the pharmaceutical market from 2020 to 2024. J. Pharm. Pharmacol. 2025, 13, 84–97. [Google Scholar] [CrossRef]
- Conforti, F.; Pan, M.-H. Natural Products in Anti-Obesity Therapy. Molecules 2016, 21, 1750. [Google Scholar] [CrossRef]
- Terekhov, R.P.; Svotin, A.A.; Pankov, D.I.; Korochkina, M.D.; Krivosheeva, E.A.; Krivozubova, E.V.; Bergel, K.I.; Selivanova, I.A. Dihydroquercetin in Weight Control: Systematic Review and Meta-Analysis of Preclinical Studies. Pharmaceuticals 2025, 18, 1675. [Google Scholar] [CrossRef]
- Filippovich, S.Y.; Isakova, E.P.; Bachurina, G.P.; Deryabina, Y.I. Modern Developing Directions in the Dihydroquercetin Study. Molecules 2025, 30, 4187. [Google Scholar] [CrossRef]
- Seong, E.-H.; Gong, D.-S.; Shiwakoti, S.; Adhikari, D.; Kim, H.J.; Oak, M.-H. Taxifolin as a Major Bioactive Compound in the Vasorelaxant Effect of Different Pigmented Rice Bran Extracts. Front. Pharmacol. 2022, 13, 799064. [Google Scholar] [CrossRef]
- Mohammed, H.A.; Almahmoud, S.A.; El-Ghaly, E.-S.M.; Khan, F.A.; Emwas, A.-H.; Jaremko, M.; Almulhim, F.; Khan, R.A.; Ragab, E.A. Comparative Anticancer Potentials of Taxifolin and Quercetin Methylated Derivatives against HCT-116 Cell Lines: Effects of O-Methylation on Taxifolin and Quercetin as Preliminary Natural Leads. ACS Omega 2022, 7, 46629–46639. [Google Scholar] [CrossRef]
- Park, S.-M.; He, Y.-C.; Gong, C.; Gao, W.; Bae, Y.-S.; Si, C.; Park, K.-H.; Choi, S.-E. Effects of Taxifolin from Enzymatic Hydrolysis of Rhododendron Mucrotulatum on Hair Growth Promotion. Front. Bioeng. Biotechnol. 2022, 10, 995238. [Google Scholar] [CrossRef] [PubMed]
- Wu, Q.; Chen, R.; Zhang, L. De Novo Biosynthesis of Taxifolin in Yeast Peroxisomes. Microb. Cell Fact. 2025, 24, 153. [Google Scholar] [CrossRef] [PubMed]
- Li, H.; Zhang, S.; Dong, Z.; Shan, X.; Zhou, J.; Zeng, W. De Novo Biosynthesis of Dihydroquercetin in Saccharomyces Cerevisiae. J. Agric. Food Chem. 2024, 72, 19436–19446. [Google Scholar] [CrossRef] [PubMed]
- Dong, Y.; Wei, W.; Li, M.; Qian, T.; Xu, J.; Chu, X.; Ye, B.-C. De Novo Biosynthesis of Quercetin in Yarrowia Lipolytica through Systematic Metabolic Engineering for Enhanced Yield. Bioresour. Bioprocess. 2025, 12, 5. [Google Scholar] [CrossRef]
- Hattori, Y.; Saito, S.; Nakaoku, Y.; Ogata, S.; Hattori, M.; Nakatsuji, M.; Nishimura, K.; Ihara, M. Taxifolin for Cognitive Preservation in Patients with Mild Cognitive Impairment or Mild Dementia. J. Alzheimer’s Dis. 2023, 93, 743–754. [Google Scholar] [CrossRef]
- Kuchkarova, L.; Kayumov, K.; Eshbakova, K.; Agzamova, M.; Karimova, I.; Berdiyarova, S.; Abdurakhmonov, J.; Achilov, R.; Gayibov, U.; Ergashev, N. Comparative Evaluation of the Antidiabetic Effect of Flavonoids Dihydroquercetin and Thamiflaside. Trends Sci. 2026, 23, 11059. [Google Scholar] [CrossRef]
- Shubina, V.S.; Kobyakova, M.I.; Penkov, N.V.; Mitenko, G.V.; Udaltsov, S.N.; Shatalin, Y.V. Two Novel Membranes Based on Collagen and Polyphenols for Enhanced Wound Healing. Int. J. Mol. Sci. 2024, 25, 12353. [Google Scholar] [CrossRef]
- Svotin, A.A.; Taldaev, A.; Nikitin, I.D.; Korochkina, M.D.; Terekhov, R.P.; Selivanova, I.A. Insights in Wound Healing Properties of Water-Soluble Composition of Dihydroquercetin and L-Lysine. J. Pharm. Pharm. Sci. 2025, 28, 13831. [Google Scholar] [CrossRef]
- Javier-Aliaga, D.; Quispe, G.; Anicama, J.; Mendigure Fernandez, J.; Miranda-Limachi, K.; Calizaya-Milla, Y.E.; Gálvez-Díaz, N.D.C.; Barreto-Espinoza, L.A.; Saintila, J. Creation and Validation of the Brief Healthy Eating Habits Scale (BHEHS-6B, Version 1.0), Based on Harvard’s Healthy Eating Plate, in a Sample of Young, Middle-Aged, and Older Peruvian Adults. Nutrients 2025, 17, 1795. [Google Scholar] [CrossRef]
- Andreev-Andrievsky, A.A.; Mashkin, M.A.; Vannous, M.; Fadeeva, O.V.; Kazaishvili, Y.G.; Kurkin, D.V.; Zaslavskaya, K.Y.; Bely, P.A.; Taganov, A.V.; Rogozhina, E.A.; et al. The efficacy of liraglutide-based drugs on the model of induced metabolic syndrome in experimental animals. Pharm. Pharmacol. 2025, 13, 171–183. [Google Scholar] [CrossRef]
- Able, C.; Liao, B.; Saffati, G.; Maremanda, A.; Applewhite, J.; Nasrallah, A.A.; Sonstein, J.; Alzweri, L.; Kohn, T.P. Prescribing Semaglutide for Weight Loss in Non-Diabetic, Obese Patients Is Associated with an Increased Risk of Erectile Dysfunction: A TriNetX Database Study. Int. J. Impot. Res. 2025, 37, 315–319. [Google Scholar] [CrossRef] [PubMed]
- Sikirica, M.V.; Martin, A.A.; Wood, R.; Leith, A.; Piercy, J.; Higgins, V. Reasons for Discontinuation of GLP1 Receptor Agonists: Data from a Real-World Cross-Sectional Survey of Physicians and Their Patients with Type 2 Diabetes. Diabetes Metab. Syndr. Obes. 2017, 10, 403–412. [Google Scholar] [CrossRef] [PubMed]
- Feng, J.N.; Chen, Y.; Jin, T. GLP-1 Medicine and Non-Arteritic Anterior Ischemic Optic Neuropathy: Literature Review and Perspectives. Metab. Dis. 2026, 1, 100001. [Google Scholar] [CrossRef]
- Orlova, S.V.; Tatarinov, V.V.; Nikitina, E.A.; Sheremeta, A.V.; Ivlev, V.A.; Vasil’ev, V.G.; Paliy, K.V.; Goryainov, S.V. Bioavailability and Safety of Dihydroquercetin (Review). Pharm. Chem. J. 2022, 55, 1133–1137. [Google Scholar] [CrossRef]
- Taldaev, A.; Terekhov, R.; Nikitin, I.; Zhevlakova, A.; Selivanova, I. Insights into the Pharmacological Effects of Flavonoids: The Systematic Review of Computer Modeling. Int. J. Mol. Sci. 2022, 23, 6023. [Google Scholar] [CrossRef]
- Oganov, A.R.; Kostenko, M.G. Simple Electronegativity-Based Model for Predicting Formation of Stable Compounds across the Periodic Table. Nat. Commun. 2025, 17, 929. [Google Scholar] [CrossRef]
- Perkin, V.O.; Antonyan, G.V.; Radchenko, E.V.; Palyulin, V.A. Web Services for the Prediction of ADMET Parameters Relevant to the Design of Neuroprotective Drugs. Neuromethods 2023, 203, 465–485. [Google Scholar] [CrossRef]
- Klimenko, K.; Afonso, R.; Stringari, P.; Gonzalez Tovar, K.; Marcou, G.; Horvath, D.; Cloarec, E.; Varnek, A.; de Meyer, F. Machine Learning-Based Thermodynamic Modeling of Acid Gas Absorption in Aqueous Methyldiethanolamine and Aqueous Piperazine. J. Phys. Chem. B 2026, 130, 447–460. [Google Scholar] [CrossRef]
- Volynsky, P.E.; Urban, A.S.; Pavlov, K.V.; Bershatsky, Y.V.; Bocharova, O.V.; Kryuchkova, A.K.; Zlobina, V.V.; Gavrilenkova, A.A.; Dolotova, S.M.; Kamynina, A.V.; et al. Diverse Interactions of Sterols with Amyloid Precursor Protein Transmembrane Domain Can Shift Distribution Between Alternative Amyloid-β Production Cascades in Manner Dependent on Local Lipid Environment. Int. J. Mol. Sci. 2025, 26, 553. [Google Scholar] [CrossRef]
- Rybakova, E.E.; Valueva, A.A.; Taldaev, A.; Kraevsky, S.V.; Gordeeva, A.I.; Pleshakova, T.O. Role of Surface in the Mass Spectrometric Identification of Bovine Serum Albumin. Colloids Surf. A Physicochem. Eng. Asp. 2026, 732, 139213. [Google Scholar] [CrossRef]
- Yeh, A.H.-W.; Norn, C.; Kipnis, Y.; Tischer, D.; Pellock, S.J.; Evans, D.; Ma, P.; Lee, G.R.; Zhang, J.Z.; Anishchenko, I.; et al. De Novo Design of Luciferases Using Deep Learning. Nature 2023, 614, 774–780. [Google Scholar] [CrossRef] [PubMed]
- Terekhov, R.P.; Melnikov, E.S.; Nikitin, I.D.; Tokareva, M.A.; Rodina, T.A.; Savina, A.D.; Pankov, D.I.; Zhevlakova, A.K.; Beloborodov, V.L.; Selivanova, I.A. Diastereomers of Spheroidal Form and Commercially Available Taxifolin Samples. Sci. Pharm. 2024, 92, 5. [Google Scholar] [CrossRef]
- Novotná, M.; Gažák, R.; Biedermann, D.; Di Meo, F.; Marhol, P.; Kuzma, M.; Bednárová, L.; Fuksová, K.; Trouillas, P.; Křen, V. Cis-Trans Isomerization of Silybins A and B. Beilstein J. Org. Chem. 2014, 10, 1047–1063. [Google Scholar] [CrossRef]
- Andújar, S.A.; Filippa, M.A.; Ferretti, F.H.; Blanco, S.E. Isomerization of 4′-Methoxy-Flavanone in Alkaline Medium. Determination of the Enolate Formation Constant. J. Mol. Struct. 2003, 636, 157–166. [Google Scholar] [CrossRef]
- Kiehlmann, E.; Szczepina, M. Epimerization, Transacylation and Bromination of Dihydroquercetin Acetates; Synthesis of 8-Bromodihydroquercetin. Open Chem. 2011, 9, 492–498. [Google Scholar] [CrossRef]
- Terekhov, R.P.; Savina, A.D.; Pankov, D.I.; Korochkina, M.D.; Taldaev, A.; Yakubovich, L.M.; Zavadskiy, S.P.; Zhevlakova, A.K.; Selivanova, I.A. Insights into the Stereoisomerism of Dihydroquercetin: Analytical and Pharmacological Aspects. Front. Chem. 2024, 12, 1439167. [Google Scholar] [CrossRef]
- Terekhov, R.; Taldaev, A.; Bocharov, E.; Pankov, D.; Savina, A.; Selivanova, I. Analysis of Cis-Isomer-Enriched Dihydroquercetin Sample by 1D and 2D NMR Spectroscopy. Drug Dev. Regist. 2024, 13, 68–76. [Google Scholar] [CrossRef]
- McNutt, A.T.; Bisiriyu, F.; Song, S.; Vyas, A.; Hutchison, G.R.; Koes, D.R. Conformer Generation for Structure-Based Drug Design: How Many and How Good? J. Chem. Inf. Model. 2023, 63, 6598–6607. [Google Scholar] [CrossRef]
- Piwien-Pilipuk, G.; Kanelakis, K.C.; Galigniana, M.D. Correlation between Pregnanesteroid Conformation, Receptor Affinity, and Anti-Natriuretic Effect. Eur. J. Pharmacol. 2002, 454, 131–143. [Google Scholar] [CrossRef]
- Imbrogno, S.; Gattuso, A.; Mazza, R.; Angelone, T.; Cerra, M.C. Β3-AR and the Vertebrate Heart: A Comparative View. Acta Physiol. 2015, 214, 158–175. [Google Scholar] [CrossRef]
- Yang, X.; Qi, Y.; Hao, J.; Wei, H.; Li, Z.; Xu, M.; Zhang, Y.; Liu, Y. Effects of Oral Antidiabetic Agents on the Renin-Angiotensin-Aldosterone System. Eur. J. Clin. Pharmacol. 2025, 81, 801–813. [Google Scholar] [CrossRef]
- Hattori, Y.; Nakaoku, Y.; Ogata, S.; Saito, S.; Nishimura, K.; Ihara, M. Taxifolin as a Therapeutic Potential for Weight Loss: A Retrospective Longitudinal Study. Nutrients 2025, 17, 706. [Google Scholar] [CrossRef]
- Qi, C.; Xing, H.; Ding, N.; Feng, W.; Wu, Y.; Zhang, X.; Yu, Y. Nanometerizing Taxifolin into Selenized Liposomes to Ameliorate Its Hypoglycemic Effect by Optimizing Drug Release and Bioavailability. Int. J. Nanomed. 2025, 20, 2225–2240. [Google Scholar] [CrossRef] [PubMed]
- Kazazis, C.E.; Evangelopoulos, A.A.; Kollas, A.; Vallianou, N.G. The Therapeutic Potential of Milk Thistle in Diabetes. Rev. Diabet. Stud. 2014, 11, 167–174. [Google Scholar] [CrossRef] [PubMed]
- Zagoskina, N.V.; Zubova, M.Y.; Nechaeva, T.L.; Kazantseva, V.V.; Goncharuk, E.A.; Katanskaya, V.M.; Baranova, E.N.; Aksenova, M.A. Polyphenols in Plants: Structure, Biosynthesis, Abiotic Stress Regulation, and Practical Applications (Review). Int. J. Mol. Sci. 2023, 24, 13874. [Google Scholar] [CrossRef] [PubMed]
- Olicheva, V.; Beloborodov, V.; Sharifi, S.; Dubrovskaya, A.; Zhevlakova, A.; Selivanova, I.; Ilyasov, I. Dihydroquercetin and Related Flavonoids in Antioxidant Formulations with α-Tocopherol. Int. J. Mol. Sci. 2025, 26, 5659. [Google Scholar] [CrossRef]
- Ermoshin, A.; Kiseleva, I.; Galishev, B.; Ulitko, M. Phenolic Compounds and Biological Activity of Extracts of Calli and Native Licorice Plants. Russ. J. Plant Physiol. 2024, 71, 20. [Google Scholar] [CrossRef]
- Moskaleva, N.E.; Rezvanov, P.M.; Samoylov, V.M.; Varzieva, V.G.; Baskhanova, S.N.; Tarasov, V.V.; Smolyarchuk, E.A.; Kudlay, D.A.; Appolonova, S.A. Metabolomics in drugs research on zebrafish-based cardiotoxicity models: Endothelial and mitochondrial dysfunction, oxidative stress. J. Pharm. Pharmacol. 2025, 13, 70–83. [Google Scholar] [CrossRef]
- Xia, Z.; Nagareddy, P.R.; Guo, Z.; Zhang, W.; McNeill, J.H. Antioxidant N-Acetylcysteine Restores Systemic Nitric Oxide Availability and Corrects Depressions in Arterial Blood Pressure and Heart Rate in Diabetic Rats. Free Radic. Res. 2006, 40, 175–184. [Google Scholar] [CrossRef]
- Wang, X.; Xu, X.; Tew, W.Y.; Ouyang, L.; Yang, X.; Loh, H.W.; Xu, W.; Xu, W.; Yam, M.F. In Vivo Antihypertensive and Ex Vivo Vasodilatory Studies of Taxifolin. Pharmaceuticals 2025, 18, 1420. [Google Scholar] [CrossRef]
- Plotnikov, M.B.; Plotnikov, D.M.; Aliev, O.I.; Maslov, M.Y.; Vasiliev, A.S.; Alifirova, V.M.; Tyukavkina, N.A. Hemorheological and Antioxidant Effects of Ascovertin in Patients with Sclerosis of Cerebral Arteries. Clin. Hemorheol. Microcirc. 2004, 30, 449–452. [Google Scholar]
- Li, R.; Pan, Y.; Jing, N.; Wang, T.; Shi, Y.; Hao, L.; Zhu, J.; Lu, J. Flavonoids from Mulberry Leaves Exhibit Sleep-Improving Effects via Regulating GABA and 5-HT Receptors. J. Ethnopharmacol. 2025, 337, 118734. [Google Scholar] [CrossRef]
- Khutami, C.; Sumiwi, S.A.; Khairul Ikram, N.K.; Muchtaridi, M. The Effects of Antioxidants from Natural Products on Obesity, Dyslipidemia, Diabetes and Their Molecular Signaling Mechanism. Int. J. Mol. Sci. 2022, 23, 2056. [Google Scholar] [CrossRef]
- Azlan, A.; Sultana, S.; Huei, C.S.; Razman, M.R. Antioxidant, Anti-Obesity, Nutritional and Other Beneficial Effects of Different Chili Pepper: A Review. Molecules 2022, 27, 898. [Google Scholar] [CrossRef]
- Guo, Y.; Jiang, H.; Zhang, X.; Guo, M.; Fang, H.; Zhang, Q.; Liu, J. Effect of the C2C3 Double Bond and Sodium Taurodeoxycholate Addition on the Quercetin-Hemoglobin and Taxifolin-Hemoglobin Interactions. Spectrochim. Acta A 2026, 344, 126619. [Google Scholar] [CrossRef] [PubMed]
- Inoue, T.; Fu, B.; Nishio, M.; Tanaka, M.; Kato, H.; Tanaka, M.; Itoh, M.; Yamakage, H.; Ochi, K.; Ito, A.; et al. Novel Therapeutic Potentials of Taxifolin for Obesity-Induced Hepatic Steatosis, Fibrogenesis, and Tumorigenesis. Nutrients 2023, 15, 350. [Google Scholar] [CrossRef]
- Taldaev, A.; Savina, A.D.; Olicheva, V.V.; Ivanov, S.V.; Terekhov, R.P.; Ilyasov, I.R.; Zhevlakova, A.K.; Selivanova, I.A. Protective Properties of Spheroidal Taxifolin Form in Streptozotocin-Induced Diabetic Rats. Int. J. Mol. Sci. 2023, 24, 11962. [Google Scholar] [CrossRef] [PubMed]
- Schauss, A.G.; Tselyico, S.S.; Kuznetsova, V.A.; Yegorova, I. Toxicological and Genotoxicity Assessment of a Dihydroquercetin-Rich Dahurian Larch Tree (Larix Gmelinii Rupr) Extract (Lavitol). Int. J. Toxicol. 2015, 34, 162–181. [Google Scholar] [CrossRef] [PubMed]
- Matsuo, M.; Sasaki, N.; Saga, K.; Kaneko, T. Cytotoxicity of Flavonoids toward Cultured Normal Human Cells. Biol. Pharm. Bull. 2005, 28, 253–259. [Google Scholar] [CrossRef]
- Booth, A.N.; Deeds, F. The Toxicity and Metabolism of Dihydroquercetin. J. Am. Pharm. Assoc. 1958, 47, 183–184. [Google Scholar] [CrossRef]
- Kolhir, V.K.; Bykov, V.A.; Teselkin, Y.O.; Babenkova, I.V.; Tjukavkina, N.A.; Rulenko, I.A.; Kolesnik, Y.A.; Eichholz, A.A. Use of a New Antioxidant Diquertin as an Adjuvant in the Therapy of Patients with Acute Pneumonia. Phytother. Res. 1998, 12, 606–608. [Google Scholar] [CrossRef]
- Selivanova, I.A.; Tyukavkina, N.A.; Kolesnik, Y.A.; Nesterov, V.N.; Kuleshova, L.N.; Khutoryanskii, V.A.; Bazhenov, B.N.; Saibotalov, M.Y. Study of the Crystalline Structure of Dihydroquercetin. Pharm. Chem. J. 1999, 33, 222–224. [Google Scholar] [CrossRef]
- Csizmadia, P. MarvinSketch and MarvinView: Molecule Applets for the World Wide Web. In Proceedings of the 3rd International Electronic Conference on Synthetic Organic Chemistry, Basel, Switzerland, 1–30 November 1999. [Google Scholar] [CrossRef]
- Hanwell, M.D.; Curtis, D.E.; Lonie, D.C.; Vandermeersch, T.; Zurek, E.; Hutchison, G.R. Avogadro: An Advanced Semantic Chemical Editor, Visualization, and Analysis Platform. J. Cheminform. 2012, 4, 17. [Google Scholar] [CrossRef]
- Lewis-Atwell, T.; Townsend, P.A.; Grayson, M.N. Comparisons of Different Force Fields in Conformational Analysis and Searching of Organic Molecules: A Review. Tetrahedron 2021, 79, 131865. [Google Scholar] [CrossRef]
- Zheng, S.; Zhang, S.; Dai, S.; Chen, K.; Gao, K.; Sun, X.; Lin, B.; Liu, X. Molecular Mechanism of the β3AR Agonist Activity of a β-Blocker. ChemPlusChem 2024, 89, e202400288. [Google Scholar] [CrossRef]
- Oyama, T.; Toyota, K.; Waku, T.; Hirakawa, Y.; Nagasawa, N.; Kasuga, J.I.; Hashimoto, Y.; Miyachi, H.; Morikawa, K. Adaptability and Selectivity of Human Peroxisome Proliferator-Activated Receptor (PPAR) Pan Agonists Revealed from Crystal Structures. Acta Crystallogr. D. Biol. Crystallogr. 2009, 65, 786–795. [Google Scholar] [CrossRef]
- Biasini, M.; Bienert, S.; Waterhouse, A.; Arnold, K.; Studer, G.; Schmidt, T.; Kiefer, F.; Cassarino, T.G.; Bertoni, M.; Bordoli, L.; et al. SWISS-MODEL: Modelling protein tertiary and quaternary structure using evolutionary information. Nucleic Acids Res. 2014, 42, W252–W258. [Google Scholar] [CrossRef]
- Kochnev, Y.; Hellemann, E.; Cassidy, K.C.; Durrant, J.D. Webina: An Open-Source Library and Web App That Runs AutoDock Vina Entirely in the Web Browser. Bioinformatics 2020, 36, 4513–4515. [Google Scholar] [CrossRef]
- Pawar, S.S.; Rohane, S.H. Review on Discovery Studio: An Important Tool for Molecular Docking. Asian J. Res. Chem. 2021, 14, 86–88. [Google Scholar] [CrossRef]
- Jo, S.; Kim, T.; Iyer, V.G.; Im, W. CHARMM-GUI: A web-based graphical user interface for CHARMM. J. Comput. Chem. 2008, 29, 1859–1865. [Google Scholar] [CrossRef] [PubMed]
- Lee, J.; Cheng, X.; Swails, J.M.; Yeom, M.S.; Eastman, P.K.; Lemkul, J.A.; Wei, S.; Buckner, J.; Jeong, J.C.; Qi, Y.; et al. CHARMM-GUI Input Generator for NAMD, GROMACS, AMBER, OpenMM, and CHARMM/OpenMM Simulations Using the CHARMM36 Additive Force Field. J. Chem. Theory Comput. 2016, 12, 405–413. [Google Scholar] [CrossRef] [PubMed]
- Lomize, M.A.; Pogozheva, I.D.; Joo, H.; Mosberg, H.I.; Lomize, A.L. OPM database and PPM web server: Resources for positioning of proteins in membranes. Nucleic Acids Res. 2012, 40, D370–D376. [Google Scholar] [CrossRef] [PubMed]
- Abraham, M.J.; Murtola, T.; Schulz, R.; Páll, S.; Smith, J.C.; Hess, B.; Lindahl, E. GROMACS: High performance molecular simulations through multi-level parallelism from laptops to supercomputers. SoftwareX 2015, 1–2, 19–25. [Google Scholar] [CrossRef]
- Huang, J.; Rauscher, S.; Nawrocki, G.; Ran, T.; Feig, M.; de Groot, B.L.; Grubmüller, H.; MacKerell, A.D., Jr. CHARMM36m: An improved force field for folded and intrinsically disordered proteins. Nat. Methods 2017, 14, 71–73. [Google Scholar] [CrossRef]
- Vanommeslaeghe, K.; Hatcher, E.; Acharya, C.; Kundu, S.; Zhong, S.; Shim, J.; Darian, E.; Guvench, O.; Lopes, P.; Vorobyov, I.; et al. CHARMM general force field: A force field for drug-like molecules compatible with the CHARMM all-atom additive biological force fields. J. Comput. Chem. 2010, 31, 671–690. [Google Scholar] [CrossRef]
- Jorgensen, W.L.; Chandrasekhar, J.; Madura, J.D.; Impey, R.W.; Klein, M.L. Comparison of simple potential functions for simulating liquid water. J. Chem. Phys. 1983, 79, 926–935. [Google Scholar] [CrossRef]
- Hess, B.; Bekker, H.; Berendsen, H.J.C.; Fraaije, J.G.E.M. LINCS: A linear constraint solver for molecular simulations. J. Comp. Chem. 1997, 18, 1464–1472. [Google Scholar] [CrossRef]
- Bussi, G.; Donadio, D.; Parrinello, M. Canonical sampling through velocity rescaling. J. Chem. Phys. 2007, 126, 014101. [Google Scholar] [CrossRef]
- Bernetti, M.; Bussi, G. Pressure control using stochastic cell rescaling. J. Chem. Phys. 2020, 153, 114107. [Google Scholar] [CrossRef]
- Michaud-Agrawal, N.; Denning, E.J.; Woolf, T.B.; Beckstein, O. MDAnalysis: A toolkit for the analysis of molecular dynamics simulations. J. Comput. Chem. 2011, 32, 2319–2327. [Google Scholar] [CrossRef]
- Valdés-Tresanco, M.S.; Valdés-Tresanco, M.E.; Valiente, P.A.; Moreno, E. gmx_MMPBSA: A New Tool to Perform End-State Free Energy Calculations with GROMACS. J. Chem. Theory Comput. 2021, 17, 6281–6291. [Google Scholar] [CrossRef]
- Miller, B.R., 3rd; McGee, T.D., Jr.; Swails, J.M.; Homeyer, N.; Gohlke, H.; Roitberg, A.E. MMPBSA.py: An Efficient Program for End-State Free Energy Calculations. J. Chem. Theory Comput. 2012, 8, 3314–3321. [Google Scholar] [CrossRef]












| Biological Target | Characteristics of Selected 3D Model from PDB | Results of Redocking | |||||||
|---|---|---|---|---|---|---|---|---|---|
| Name | Localization | pH Value | PDB ID | Organism | Method | Resolution, Å | Initial Ligand | Affinity, kcal/mol | RMSD |
| ADRB3 | Adipose tissue | 7.4 | 9IJE | Homo sapiens | Electron microscopy | 2.34 | Epinephrine | −6.297 | 1.297 |
| PPARG | Adipose tissue | 7.4 | 2ZNO | Homo sapiens | X-Ray diffraction | 2.40 | Synthetic agonist TIPP703 | −9.545 | 1.615 |
Disclaimer/Publisher’s Note: The statements, opinions and data contained in all publications are solely those of the individual author(s) and contributor(s) and not of MDPI and/or the editor(s). MDPI and/or the editor(s) disclaim responsibility for any injury to people or property resulting from any ideas, methods, instructions or products referred to in the content. |
© 2026 by the authors. Licensee MDPI, Basel, Switzerland. This article is an open access article distributed under the terms and conditions of the Creative Commons Attribution (CC BY) license.
Share and Cite
Terekhov, R.P.; Taldaev, A.; Svotin, A.A.; Pankov, D.I.; Sukhova, E.M.; Manukov, D.A.; Bergel, K.; Korochkina, M.D.; Selivanova, I.A. Dihydroquercetin in Obesity and Prediabetes: Case Report and Insights from Molecular Modeling. Int. J. Mol. Sci. 2026, 27, 2846. https://doi.org/10.3390/ijms27062846
Terekhov RP, Taldaev A, Svotin AA, Pankov DI, Sukhova EM, Manukov DA, Bergel K, Korochkina MD, Selivanova IA. Dihydroquercetin in Obesity and Prediabetes: Case Report and Insights from Molecular Modeling. International Journal of Molecular Sciences. 2026; 27(6):2846. https://doi.org/10.3390/ijms27062846
Chicago/Turabian StyleTerekhov, Roman P., Amir Taldaev, Artem A. Svotin, Denis I. Pankov, Evgenia M. Sukhova, David A. Manukov, Ketelina Bergel, Maria D. Korochkina, and Irina A. Selivanova. 2026. "Dihydroquercetin in Obesity and Prediabetes: Case Report and Insights from Molecular Modeling" International Journal of Molecular Sciences 27, no. 6: 2846. https://doi.org/10.3390/ijms27062846
APA StyleTerekhov, R. P., Taldaev, A., Svotin, A. A., Pankov, D. I., Sukhova, E. M., Manukov, D. A., Bergel, K., Korochkina, M. D., & Selivanova, I. A. (2026). Dihydroquercetin in Obesity and Prediabetes: Case Report and Insights from Molecular Modeling. International Journal of Molecular Sciences, 27(6), 2846. https://doi.org/10.3390/ijms27062846

