Prothrombotic Tendency in the Shadow of Cancer: Hypercoagulability, Impaired Clot Contraction and Fibrinolysis in Colorectal Cancer and Gastric Cancer Patients Undergoing Chemotherapy
Abstract
1. Introduction
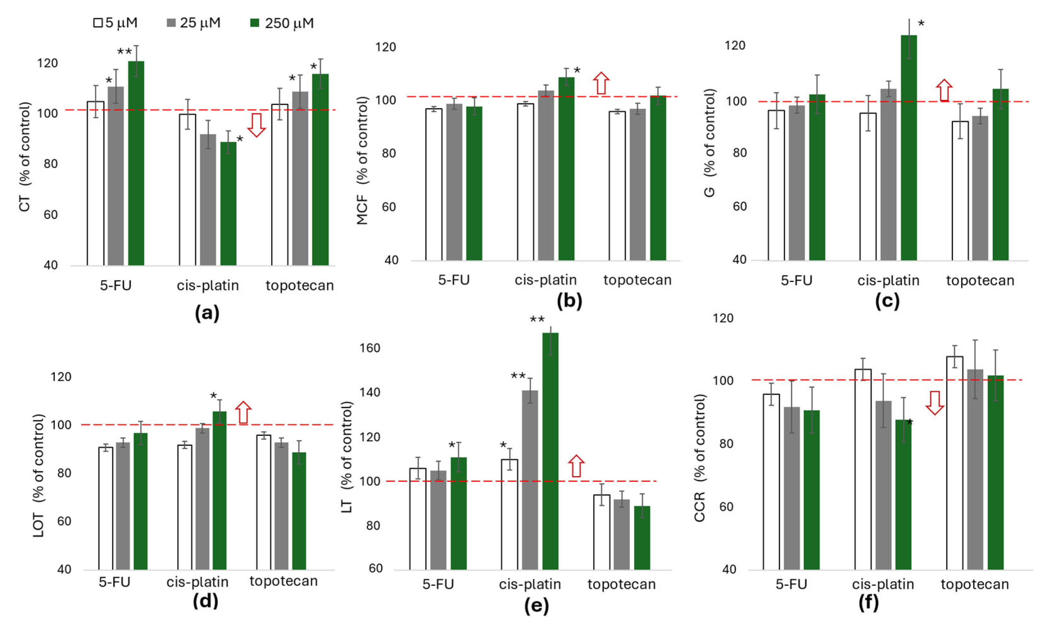
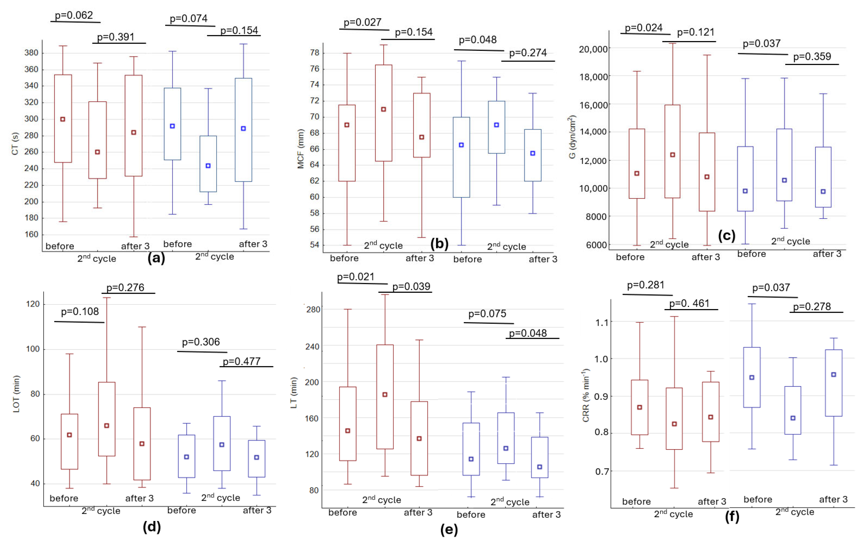
2. Results
3. Discussion
4. Materials and Methods
4.1. Patients
4.2. Blood Collection and Preparation
4.3. Thromboelastometric Measurements
4.4. Measurements of Kinetics of Clot Contraction
4.5. Routine Hematological Assays
4.6. Data Analyses
5. Conclusions
Author Contributions
Funding
Institutional Review Board Statement
Informed Consent Statement
Data Availability Statement
Conflicts of Interest
Abbreviations
| CRR | Clot Contraction Rate |
| CFT | Clot Formation Time |
| CS | Cancer Stage |
| CT | Clotting Time |
| 5-FU | 5-fluorouracil |
| G | shear elastic modulus strength (clot strength) |
| LI | Lysis Index |
| LOT | Lysis Onset Time |
| LT | (complete) Lysis Time |
| MCF | Maximum Clot Firmness (maximum amplitude of clot) |
| PRP | Platelet-Rich Plasma |
| ROTEM | Rotational Thromboelastometry |
| TGA | Thrombin Generation Assay |
| TEG | Thromboelastography |
| TF | Tissue factor |
| tPA | tissue Plasminogen Activator |
| VTE | venous thromboembolism |
References
- Khorana, A.A.; Francis, C.W.; Culakova, E.; Kuderer, N.M.; Lyman, G.H. Thromboembolism is a leading cause of death in cancer patients receiving outpatient chemotherapy. J. Thromb. Haemost. 2007, 5, 632–634. [Google Scholar] [CrossRef] [PubMed]
- Gutierrez-Sainz, L.; Martinez-Marin, V.; Viñal, D.; Martinez-Perez, D.; Pedregosa, J.; Garcia-Cuesta, J.A.; Villamayor, J.; Zamora, P.; Pinto, A.; Redondo, A.; et al. Incidence of venous thromboembolic events in cancer patients receiving immunotherapy: A single-institution experience. Clin. Transl. Oncol. 2021, 23, 1245–1252. [Google Scholar] [CrossRef]
- Heit, J.A.; Silverstein, M.D.; Mohr, D.N.; Petterson, T.M.; O’Fallon, W.M.; Melton, L.J., 3rd. Risk factors for deep vein thrombosis and pulmonary embolism: A population-based case-control study. Arch. Intern. Med. 2000, 160, 809–815. [Google Scholar] [CrossRef]
- Chew, H.K.; Wun, T.; Harvey, D.; Zhou, H.; White, R.H. Incidence of venous thromboembolism and its effect on survival among patients with common cancers. Arch. Intern. Med. 2006, 166, 458–464. [Google Scholar] [CrossRef]
- Petterson, T.M.; Marks, R.S.; Ashrani, A.A.; Bailey, K.R.; Heit, J.A. Risk of site-specific cancer in incident venous thromboembolism: A population-based study. Thromb. Res. 2015, 135, 472–478. [Google Scholar] [CrossRef]
- Pereira, J.; Phan, T. Management of bleeding in patients with advanced cancer. Oncologist 2004, 9, 561–570. [Google Scholar] [CrossRef]
- Litvinov, R.I.; Weisel, J.W. Blood clot contraction: Mechanisms, pathophysiology, and disease. Res. Pract. Thromb. Haemost. 2022, 7, 100023. [Google Scholar] [CrossRef]
- Peshkova, A.D.; Malyasyov, D.V.; Bredikhin, R.A.; Le Minh, G.; Andrianova, I.A.; Tutwiler, V.; Nagaswami, C.; Weisel, J.W.; Litvinov, R.I. Reduced contraction of blood clots in venous thromboembolism is a potential thrombogenic and embologenic mechanism. TH Open 2018, 02, e115. [Google Scholar] [CrossRef] [PubMed]
- Evtugina, N.G.; Peshkova, A.D.; Pichugin, A.A.; Weisel, J.W.; Litvinov, R.I. Impaired contraction of blood clots precedes and predicts postoperative venous thromboembolism. Sci. Rep. 2020, 10, 18261. [Google Scholar] [CrossRef] [PubMed]
- Ilich, A.; Bokarev, I.; Key, N.S. Global assays of fibrinolysis. Int. J. Lab. Hematol. 2017, 39, 441–447. [Google Scholar] [CrossRef]
- Longstaff, C. Measuring fibrinolysis: From research to routine diagnostic assays. J. Thromb. Haemost. 2018, 16, 652–662. [Google Scholar] [CrossRef] [PubMed]
- Drotarova, M.; Zolkova, J.; Belakova, K.M.; Brunclikova, M.; Skornova, I.; Stasko, J.; Simurda, T. Basic Principles of Rotational Thromboelastometry (ROTEM®) and the Role of ROTEM-Guided Fibrinogen Replacement Therapy in the Management of Coagulopathies. Diagnostics 2023, 13, 3219. [Google Scholar] [CrossRef] [PubMed]
- Yang, J.; Shen, L. Clinical evaluation of hypercoagulability in advanced malignant tumors using thromboelastography and conventional coagulation tests. Medicine 2025, 104, e41465. [Google Scholar] [CrossRef]
- Zhao, Z.S.; Qi, Y.C.; Wu, J.W.; Qian, L.H.; Hu, B.; Ma, Y.L. Thromboelastography (TEG) parameters as potential predictors of malignancy and tumor progression in colorectal cancer. World J. Surg. Oncol. 2023, 21, 354. [Google Scholar] [CrossRef]
- Luan, X.; Niu, P.; Wang, W.; Zhao, L.; Zhang, X.; Zhao, D.; Chen, Y. Sex Disparity in Patients with Gastric Cancer: A Systematic Review and Meta-Analysis. J. Oncol. 2022, 2022, 1269435. [Google Scholar] [CrossRef]
- Tsokkou, S.; Konstantinidis, I.; Papakonstantinou, M.; Chatzikomnitsa, P.; Liampou, E.; Toutziari, E.; Giakoustidis, D.; Bangeas, P.; Papadopoulos, V.; Giakoustidis, A. Sex Differences in Colorectal Cancer: Epidemiology, Risk Factors, and Clinical Outcomes. J. Clin. Med. 2025, 14, 5539. [Google Scholar] [CrossRef]
- Eichinger, S. Cancer associated thrombosis: Risk factors and outcomes. Thromb. Res. 2016, 140, S12–S17. [Google Scholar] [CrossRef] [PubMed]
- Connolly, G.C.; Khorana, A.A. Emerging risk stratification approaches to cancer-associated thrombosis: Risk factors, biomarkers and a risk score. Thromb. Res. 2010, 125, S1–S7. [Google Scholar] [CrossRef]
- Abe, Y.; Sakuyama, N.; Sato, T.; Kishine, K.; Nagayasu, K.; Nakatani, A.; Kitajima, M.; Watanabe, T.; Nishimura, K.; Ochiai, T.; et al. Evaluation of the 5-fluorouracil plasma level in patients with colorectal cancer undergoing continuous infusion chemotherapy. Mol. Clin. Oncol. 2019, 11, 289–295. [Google Scholar] [CrossRef]
- Luddington, R.J. Thrombelastography/thromboelastometry. Clin. Lab. Haematol. 2005, 27, 81–90. [Google Scholar] [CrossRef]
- Brown, W.; Lunati, M.; Maceroli, M.; Ernst, A.; Staley, C.; Johnson, R.; Schenker, M. Ability of Thromboelastography to Detect Hypercoagulability: A Systematic Review and Meta-Analysis. J. Orthop. Trauma 2020, 34, 278–286. [Google Scholar] [CrossRef] [PubMed]
- Harr, J.N.; Moore, E.E.; Chin, T.L.; Ghasabyan, A.; Gonzalez, E.; Wohlauer, M.V.; Banerjee, A.; Silliman, C.C.; Sauaia, A. Platelets are dominant contributors to hypercoagulability after injury. J. Trauma Acute Care Surg. 2013, 74, 756–762. [Google Scholar] [CrossRef]
- Zhou, L.; Zhang, Z.; Tian, Y.; Li, Z.; Liu, Z.; Zhu, S. The critical role of platelets in cancer progression and metastasis. Eur. J. Med. Res. 2023, 28, 385. [Google Scholar] [CrossRef] [PubMed]
- Tutwiler, V.; Litvinov, R.I.; Lozhkin, A.P.; Peshkova, A.D.; Lebedeva, T.; Ataullakhanov, F.I.; Spiller, K.L.; Cines, D.B.; Weisel, J.W. Kinetics and mechanics of clot contraction are governed by the molecular and cellular composition of the blood. Blood 2016, 127, 149–159. [Google Scholar] [CrossRef]
- Haque, S.A.; Rathi, N.K. Prevention and Management of Venous Thromboembolism in the Cancer Patient. In Oncologic Critical Care; Nates, J., Price, K., Eds.; Springer: Cham, Switzerland, 2020; pp. 1243–1252. [Google Scholar]
- Hisada, Y.; Mackman, N. Profibrinolytic Factors and Cancer Progression, Metastasis, and Survival. Arter. Thromb. Vasc. Biol. 2025, 45, 1732–1741. [Google Scholar] [CrossRef]
- Gorog, D.; Fayad, Z.; Fuster, V. Arterial Thrombus Stability: Does It Matter and Can We Detect It? JACC 2017, 70, 2036–2047. [Google Scholar] [CrossRef]
- Aonuma, A.O.; Nakamura, M.; Sakamaki, K.; Murai, T.; Matsuda, C.; Itaya, K.; Sone, T.; Yagisawa, M.; Koike, Y.; Endo, A.; et al. Incidence of cancer-associated thromboembolism in Japanese gastric and colorectal cancer patients receiving chemotherapy: A single-institutional retrospective cohort analysis (Sapporo CAT study). BMJ Open 2019, 9, e028563. [Google Scholar] [CrossRef]
- Weisel, J.W.; Litvinov, R.I. The biochemical and physical process of fibrinolysis and effects of clot structure and stability on the lysis rate. Cardiovasc. Hematol. Agents Med. Chem. 2008, 6, 161–180. [Google Scholar] [CrossRef]
- Hethershaw, E.L.; Cilia La Corte, A.L.; Duval, C.; Ali, M.; Grant, P.J.; Ariëns, R.A.; Philippou, H. The effect of blood coagulation factor XIII on fibrin clot structure and fibrinolysis. J. Thromb. Haemost. 2014, 12, 197–205. [Google Scholar] [CrossRef]
- Tomasiak-Lozowska, M.M.; Misztal, T.; Rusak, T.; Branska-Januszewska, J.; Bodzenta-Lukaszyk, A.; Tomasiak, M. Asthma is associated with reduced fibrinolytic activity, abnormal clot architecture, and decreased clot retraction rate. Allergy 2017, 72, 314–319. [Google Scholar] [CrossRef] [PubMed]
- Chernysh, I.N.; Nagaswami, C.; Kosolapova, S.; Peshkova, A.D.; Cuker, A.; Cines, D.B.; Cambor, C.L.; Litvinov, R.I.; Weisel, J.W. The distinctive structure and composition of arterial and venous thrombi and pulmonary emboli. Sci. Rep. 2020, 10, 5112. [Google Scholar] [CrossRef]
- Baumann, J.; Sachs, L.; Otto, O.; Schoen, I.; Nestler, P.; Zaninetti, C.; Kenny, M.; Kranz, R.; von Eysmondt, H.; Rodriguez, J.; et al. Reduced platelet forces underlie impaired hemostasis in mouse models of MYH9-related disease. Sci. Adv. 2022, 8, eabn2627. [Google Scholar] [CrossRef]
- Tutwiler, V.; Peshkova, A.D.; Le Minh, G.; Zaitsev, S.; Litvinov, R.I.; Cines, D.B.; Weisel, J.W. Blood clot contraction differentially modulates internal and external fibrinolysis. J. Thromb. Haemost. 2019, 17, 361–370. [Google Scholar] [CrossRef]
- Myers, D.R.; Qiu, Y.; Fay, M.E.; Tennenbaum, M.; Chester, D.; Cuadrado, J.; Sakurai, Y.; Baek, J.; Tran, R.; Ciciliano, J.C.; et al. Single-platelet nanomechanics measured by high-throughput cytometry. Nat. Mater. 2017, 16, 230–235. [Google Scholar] [CrossRef] [PubMed]
- Detopoulou, P.; Panoutsopoulos, G.I.; Mantoglou, M.; Michailidis, P.; Pantazi, I.; Papadopoulos, S.; Rojas Gil, A.P. Relation of Mean Platelet Volume (MPV) with Cancer: A Systematic Review with a Focus on Disease Outcome on Twelve Types of Cancer. Curr. Oncol. 2023, 30, 3391–3420. [Google Scholar] [CrossRef] [PubMed]
- Lundbech, M.; Krag, A.E.; Christensen, T.D.; Hvas, A.M. Thrombin generation, thrombin-antithrombin complex, and prothrombin fragment F1+2 as biomarkers for hypercoagulability in cancer patients. Thromb. Res. 2020, 186, 80–85, Erratum in Thromb Res. 2022, 216, 130–132. https://doi.org/10.1016/j.thromres.2021.11.017. [Google Scholar] [CrossRef] [PubMed]
- Gyldenholm, T.; Hvas, A.M.; Christensen, T.D.; Larsen, J.B. Thrombin Generation Markers as Predictors of Cancer-Associated Venous Thromboembolism: A Systematic Review. Semin. Thromb. Hemost. 2024, 50, 384–401. [Google Scholar] [CrossRef]
- Tera, Y.; Suh, Y.J.; Fainchtein, K.; Agrawal, A.; Mates, M.; Othman, M. Assessing hypercoagulability and VTE risk using thromboelastography and Khorana score in women with cancers receiving chemotherapy. Am. J. Hematol. 2024, 99, S19–S27. [Google Scholar] [CrossRef]
- Misztal, T.; Golaszewska, A.; Tomasiak-Lozowska, M.M.; Iwanicka, M.; Marcinczyk, N.; Leszczynska, A.; Chabielska, E.; Rusak, T. The myeloperoxidase product, hypochlorous acid, reduces thrombus formation under flow and attenuates clot retraction and fibrinolysis in human blood. Free Radic. Biol. Med. 2019, 141, 426–437. [Google Scholar] [CrossRef]
- Kuiper, G.J.; Kleinegris, M.C.; van Oerle, R.; Spronk, H.M.; Lance, M.D.; Ten Cate, H.; Henskens, Y.M. Validation of a modified thromboelastometry approach to detect changes in fibrinolytic activity. Thromb. J. 2016, 14, 1. [Google Scholar] [CrossRef]
- Misztal, T.; Rusak, T.; Tomasiak, M. Peroxynitrite may affect clot retraction in human blood through the inhibition of platelet mitochondrial energy production. Thromb. Res. 2014, 133, 402–411. [Google Scholar] [CrossRef]




| Colorectal Cancer (n = 18) | Gastric Cancer (n = 16) | Healthy Control (n = 21) | |
|---|---|---|---|
| Age | 61 (44 ÷ 73) | 62 (49 ÷ 73) | 61 (45 ÷ 74) |
| Sex (F/M) | 6/12 (33%/67%) | 5/11 (31%/69%) | 7/14 (33%/67%) |
| PLT (109/L) | 269 (173 ÷ 364) | 283 (176 ÷ 417) | 248 (159 ÷ 354) |
| Fibrinogen (g/L) | 3.8 * (2.86 ÷ 5.62) | 3.94 * (2.51 ÷ 5.11) | 3.04 (2.42 ÷ 4.3) |
| CT (s) | 296 (166 ÷ 400) | 288 * (224 ÷ 436) | 327 (217 ÷ 421) |
| CFT (s) | 122 (61 ÷ 171) | 108 * (76 ÷ 172) | 131 (71 ÷ 159) |
| α (°) | 68 (60 ÷ 74) | 71 * (61 ÷ 76) | 66 (56 ÷ 71) |
| MCF (mm) | 69 * (54 ÷ 79) | 66 * (54 ÷ 78) | 63 (54 ÷ 71) |
| G (kdyn/cm2) | 11.03 ** (5.91÷18.34) | 9.88 * (6.0÷17.81) | 8.06 (5.73÷12.47) |
| LOT (min) | 62 * (41 ÷ 98) | 53 (35 ÷ 72) | 43 (30 ÷ 45) |
| LI45 (%) | 94 * (81 ÷ 99) | 93 * (74 ÷ 99) | 84 (48 ÷ 92) |
| LI90 (%) | 53 ** (12 ÷ 88) | 36 ** (12 ÷ 76) | 0 (0 ÷ 28) |
| LT (min) | 143 ** (98 ÷ 300) | 113 * (58 ÷ 188) | 74 (52 ÷ 114) |
| CS IV (n = 19) | CS II/III (n = 15) | |
|---|---|---|
| age | 62 (44 ÷ 74) | 60 (50 ÷ 74) |
| PLT (109/L) | 279 (173 ÷ 470) | 325 (204 ÷ 471) |
| fibrinogen (g/L) | 3.87 (2.86 ÷ 5.62) | 3.98 (2.51 ÷ 5.59) |
| CT (s) | 294 (175 ÷ 436) | 323 (185 ÷ 390) |
| CFT (s) | 117 (71 ÷ 172) | 116 (86 ÷ 152) |
| α (°) | 71 (60 ÷ 78) | 68 (61 ÷ 75) |
| MCF (mm) | 67 (54 ÷ 76) | 67 (61 ÷ 78) |
| G (kdyn/cm2) | 10.18 (5.91–14.35) | 10.85 (7.76–18.34) |
| LOT (min) | 51 (35 ÷ 77) | 60 (51 ÷ 98) |
| LI45 (%) | 90 (74 ÷ 99) | 97 (93 ÷ 99) |
| LI60 (%) | 70 (4 ÷ 96) | 90 (79 ÷ 95) |
| LI90 (%) | 36 (12 ÷ 76) | 66 (20 ÷ 88) |
| LT (min) | 90 (56 ÷ 178) | 129 (104 ÷ 267) |
| CV40 (%) | 64 (50 ÷ 77) | 62 (49 ÷ 69) |
| CV60 (%) | 49 (36 ÷ 62) | 44 (33 ÷ 54) |
| CCR (%·min−1) | 0.876 (0.61 ÷ 1.08) | 0.952 (0.81 ÷ 1.14) |
Disclaimer/Publisher’s Note: The statements, opinions and data contained in all publications are solely those of the individual author(s) and contributor(s) and not of MDPI and/or the editor(s). MDPI and/or the editor(s) disclaim responsibility for any injury to people or property resulting from any ideas, methods, instructions or products referred to in the content. |
© 2026 by the authors. Licensee MDPI, Basel, Switzerland. This article is an open access article distributed under the terms and conditions of the Creative Commons Attribution (CC BY) license.
Share and Cite
Aleksandrowicz, K.; Rusak, T.; Bołtromiuk, E.; Misztal, T.; Polityńska-Lewko, B.; Wojtukiewicz, A.M.; Kruszewska, J.; Myśliwiec, M.; Wojtukiewicz, M.Z. Prothrombotic Tendency in the Shadow of Cancer: Hypercoagulability, Impaired Clot Contraction and Fibrinolysis in Colorectal Cancer and Gastric Cancer Patients Undergoing Chemotherapy. Int. J. Mol. Sci. 2026, 27, 2037. https://doi.org/10.3390/ijms27042037
Aleksandrowicz K, Rusak T, Bołtromiuk E, Misztal T, Polityńska-Lewko B, Wojtukiewicz AM, Kruszewska J, Myśliwiec M, Wojtukiewicz MZ. Prothrombotic Tendency in the Shadow of Cancer: Hypercoagulability, Impaired Clot Contraction and Fibrinolysis in Colorectal Cancer and Gastric Cancer Patients Undergoing Chemotherapy. International Journal of Molecular Sciences. 2026; 27(4):2037. https://doi.org/10.3390/ijms27042037
Chicago/Turabian StyleAleksandrowicz, Karolina, Tomasz Rusak, Elżbieta Bołtromiuk, Tomasz Misztal, Barbara Polityńska-Lewko, Anna M. Wojtukiewicz, Joanna Kruszewska, Marta Myśliwiec, and Marek Z. Wojtukiewicz. 2026. "Prothrombotic Tendency in the Shadow of Cancer: Hypercoagulability, Impaired Clot Contraction and Fibrinolysis in Colorectal Cancer and Gastric Cancer Patients Undergoing Chemotherapy" International Journal of Molecular Sciences 27, no. 4: 2037. https://doi.org/10.3390/ijms27042037
APA StyleAleksandrowicz, K., Rusak, T., Bołtromiuk, E., Misztal, T., Polityńska-Lewko, B., Wojtukiewicz, A. M., Kruszewska, J., Myśliwiec, M., & Wojtukiewicz, M. Z. (2026). Prothrombotic Tendency in the Shadow of Cancer: Hypercoagulability, Impaired Clot Contraction and Fibrinolysis in Colorectal Cancer and Gastric Cancer Patients Undergoing Chemotherapy. International Journal of Molecular Sciences, 27(4), 2037. https://doi.org/10.3390/ijms27042037

