Next Article in Journal
Targeting Skin Aging at Multiple Fronts: Integrated In Silico and In Vitro Evidence of Antioxidant, Anti-Protease, and UVB-Protective Effects of Vitex trifolia
Previous Article in Journal
Special Issue “New Drugs Regulating Cytoskeletons in Human Health and Diseases”
Previous Article in Special Issue
Post-Translational Modifications of Huntingtin: Mechanistic Insights and Therapeutic Opportunities in Huntington’s Disease
 
 
Font Type:
Arial Georgia Verdana
Font Size:
Aa Aa Aa
Line Spacing:
Column Width:
Background:
Article

Possible Involvement of NAMPT in the Anti-Obesity Effect of Oral Administration of Fermented Rice with Lactobacillus kefiranofaciens (Rice Kefiran) in C57BL/6J Mice

by
Mahmoud Ben Othman
* and
Kazuichi Sakamoto
Graduate School of Life and Environmental Sciences, University of Tsukuba, Tsukuba 305-8572, Ibaraki, Japan
*
Author to whom correspondence should be addressed.
Int. J. Mol. Sci. 2026, 27(4), 1912; https://doi.org/10.3390/ijms27041912
Submission received: 22 October 2025 / Revised: 27 January 2026 / Accepted: 15 February 2026 / Published: 17 February 2026
(This article belongs to the Special Issue Molecular Insights on Drug Discovery, Design, and Treatment)

Abstract

Obesity is a complex metabolic disorder characterized by excessive accumulation of adipose tissue, resulting from an imbalance between energy intake and expenditure. It is associated with an increased risk of chronic diseases such as type 2 diabetes, cardiovascular disease, and cancer. Kefiran is a water-soluble exopolysaccharide produced by lactic acid bacteria, Lactobacillus kefiranofaciens, in kefir grains, composed primarily of glucose and galactose. It has garnered scientific interest due to its antioxidant, anti-inflammatory, and antimicrobial properties. Rice Kefiran (RK) is a functional food made with culturing L. kefiranofaciens in a medium containing rice. It is standardized to contain at least 5 mg/g of kefiran. This study investigated the anti-obesity effect of RK on a high-fat diet (HFD)-induced obese mouse model. HFD-fed mice exhibited marked increases in body weight gain (10.3 g vs. 2.0 g in controls) and adipose tissue mass (2.4 g vs. 0.4 g in controls). RK administration significantly attenuated weight gain to 8.3 g and 6.0 g at doses of 10 and 50 mg/kg, respectively, and reduced adipose tissue mass to 2.2 g (RK10) and 1.7 g (RK50). Oral glucose tolerance testing revealed impaired glucose clearance in HFD-fed mice, with blood glucose levels of 403.5 mg/dL at 15 min and 314.6 mg/dL at 120 min, compared with 348.8 mg/dL and 232.2 mg/dL in controls. RK treatment improved glucose tolerance, particularly at 50 mg/kg, reducing glucose levels to 359.0 mg/dL at 15 min and 263.8 mg/dL at 120 min. Biochemical analyses demonstrated that RK significantly reduced serum total cholesterol (213.6 mg/dL in HFD vs. 178.0 and 184.0 mg/dL in RK10 and RK50), triglycerides (379.0 mg/dL in HFD vs. 228.8 and 234.6 mg/dL), and non-esterified fatty acids (0.89 mEq/mL in HFD vs. 0.54 and 0.35 mEq/mL), while phospholipid levels remained unchanged. Furthermore, RK increased serum nicotinamide phosphoribosyltransferase (NAMPT) levels from 15.8 ng/mL in HFD-fed mice to 30.0 and 50.0 ng/mL in the RK10 and RK50 groups, respectively, and restored hepatic NAD+/NADH ratios toward control levels (1.78 µmol/L in HFD vs. 1.90 µmol/L and 2.07 µmol/L in RK10 and RK50). Gene expression analysis showed that RK increased Nampt mRNA expression and decreased the mRNA expression of adipogenic and lipogenic genes, including Srebp-1c, Acc-1, and Fas. These findings suggest that RK may ameliorate obesity-related metabolic disturbances and its associated metabolic dysfunctions by modulating lipid metabolism, glucose tolerance, and NAD+ biosynthesis pathways.

1. Introduction

Obesity has become a global epidemic, affecting millions of individuals and contributing to a wide range of chronic diseases, including type 2 diabetes, cardiovascular disorders, and certain cancers. This multifactorial condition results from a complex interplay of genetic, environmental, and behavioral factors, including unhealthy diets, physical inactivity, and metabolic imbalances [1]. Despite its known health implications, the global rise in obesity is largely driven by complex factors such as urbanization, poor dietary habits, sedentary lifestyles, and socioeconomic disparities [2]. Even with advances in conventional treatments, including pharmacotherapy and bariatric surgery, these approaches often face challenges such as side effects, high costs, and limited long-term efficacy [3].
Natural products derived from plants, herbs, and other biological sources have gained significant attention for their potential in obesity management. These products, rich in bioactive compounds like polyphenols, flavonoids, and terpenes, have demonstrated promising effects in modulating appetite, enhancing lipid metabolism, and reducing inflammation [4]. Recent studies have highlighted the efficacy of natural products such as green tea extract, curcumin, and berberine in promoting weight loss and improving metabolic health [5]. This paper focuses on the evaluation of therapeutic strategies for obesity, with particular emphasis on the metabolic effects and mechanisms of action of natural products, supported by recent evidence, as a sustainable and effective approach to combating this growing public health challenge.
In recent years, there has been growing interest in exploring natural and functional foods as potential therapeutic agents to combat obesity and its related metabolic dysfunctions. Among these, kefiran, a polysaccharide derived from kefir grains, has garnered attention for its bioactive properties, including antimicrobial, anti-inflammatory, immunomodulatory, hypertension reduction, and antitumor effects [6].
Rice Kefiran (RK), a functional food, is produced by fermenting rice-derived substrates with L. kefiranofaciens. It is standardized to contain at least 5 mg/g of kefiran. Previous studies have reported various effects of RK, including lowering blood sugar levels, relieving constipation, reducing cholesterol, and exhibiting anti-allergic and anti-aging properties [7,8,9,10]. Recent studies suggest that RK may regulate the composition of the intestinal microbiota, enhance satiety, and modulate lipid metabolism, making it a promising candidate for obesity management [11].
On the other hand, nicotinamide phosphoribosyl transferase (NAMPT), also known as visfatin, is a key enzyme involved in the biosynthesis of nicotinamide adenine dinucleotide (NAD+), a vital coenzyme in cellular metabolism and energy balance. NAMPT plays a crucial role in regulating metabolic processes, including glucose metabolism, lipid metabolism, and insulin sensitivity, making it a key focus in obesity research [12]. In the context of obesity, NAMPT has been linked to the regulation of adipose tissue function, inflammation, and systemic metabolism, with studies in mice offering valuable insights into its dual role as both an intracellular enzyme and an extracellular cytokine [13].
Recent studies have examined the role of NAMPT in regulating mitochondrial function and energy expenditure in obese mice. For example, NAMPT-mediated NAD+ biosynthesis has been shown to promote mitochondrial biogenesis and oxidative metabolism in fat tissue, helping to reverse metabolic issues linked to obesity [14]. Additionally, NAMPT overexpression in skeletal muscle has been reported to boost exercise capacity and metabolic flexibility in obese mice, indicating tissue-specific functions of NAMPT in obesity treatment [15]. In summary, NAMPT has a complex role in obesity, affecting fat tissue function, overall inflammation, and metabolic balance in mice. Moreover, increased NAMPT levels in the blood have been linked to anti-aging and longevity. Because of this, NAMPT is also gaining interest from an anti-aging perspective [16].
Nicotinamide adenine dinucleotide (NAD+) is a vital coenzyme in cellular metabolism, playing a key role in energy production, redox reactions, and mitochondrial function. In the context of obesity, NAD+ levels are often dysregulated, contributing to metabolic problems, reduced mitochondrial efficiency, and increased oxidative stress [17]. NAD+ is also an essential substrate for sirtuins, a family of NAD+-dependent deacetylases that control critical metabolic processes such as lipid metabolism, insulin sensitivity, and inflammation [18]. Obesity is linked to a decrease in NAD+ availability, which worsens metabolic disturbances and promotes adipose tissue dysfunction [19]. Dysregulation of NAD+ homeostasis in obesity contributes to impaired lipid metabolism, excessive fat accumulation, reduced mitochondrial efficiency, and altered satiety signaling. In addition, Adequate NAD+ levels are required for the activation of sirtuins, particularly SIRT1, which modulates lipid metabolism by repressing adipogenic transcription factors such as sterol regulatory element-binding protein 1c (SREBP-1c) and enhancing fatty acid oxidation through peroxisome proliferator-activated receptor gamma coactivator-1α (PGC-1α). Therefore, interventions that enhance NAD+ biosynthesis may simultaneously improve lipid handling, energy expenditure, and appetite control, providing a mechanistic framework for the anti-obesity effects of functional foods such as rice kefiran. Recent research shows that increasing NAD+ levels through supplementation with precursors like nicotinamide riboside (NR) or nicotinamide mononucleotide (NMN) can improve metabolic health, boost energy expenditure, and reduce fat accumulation in preclinical obesity models [20,21]. These results emphasize the potential of targeting NAD+ metabolism as a therapeutic approach to fight obesity and its related metabolic issues.
This paper aims to explore the anti-obesity effects of RK, focusing on its mechanisms of action, impact on gut microbiota, and potential therapeutic applications. By synthesizing recent findings, this study seeks to contribute to the growing body of evidence supporting the use of RK as a functional food in the prevention and management of obesity.

2. Results

2.1. Effect of RK on Body Weight Gain and Adiposity

After four weeks of RK administration, body weight and adipose tissue mass were evaluated. Body weight gain differed significantly among groups (one-way ANOVA, p < 0.001). High-fat diet (HFD) feeding significantly increased body weight gain compared with the control group (p < 0.0001). RK administration significantly reduced body weight gain, with the RK50 group showing a significant decrease compared with the HFD group (p < 0.01), whereas the RK10 group showed a non-significant trend toward reduction. Both RK-treated groups remained significantly higher than the control group (Tukey’s post hoc test) (Figure 1a). The total adipose tissue mass, encompassing both subcutaneous and visceral fat, is presented in Figure 1b. Adipose tissue weight differed significantly among groups (one-way ANOVA, F 3 , 12 = 71.0 , p < 0.0001 ). Post hoc Tukey tests showed that all HFD-fed groups (HFD, RK10, RK50) had higher adipose tissue than controls (all p < 0.001 ), while RK50 significantly reduced adiposity compared with HFD and RK10 (both p < 0.05 ), though values remained above control.

2.2. Effect of RK on Food Intake

To determine whether the reduction in body weight gain was attributable to decreased caloric intake, daily and cumulative food consumption were measured throughout the 4-week intervention. As shown in Figure 2, no significant differences in daily food intake were observed among the HFD, RK10, and RK50 groups across all feeding intervals (one-way ANOVA, p > 0.05). Similarly, cumulative food intake did not differ significantly among HFD-fed groups. These findings indicate that the attenuation of body weight gain in RK-treated mice cannot be attributed to reduced food intake or altered diet palatability, supporting a metabolic rather than caloric mechanism.

2.3. Effect of RK on Glucose Tolerance

An oral glucose tolerance test (OGTT) was conducted two days before the sacrifice. In the untreated high-fat diet (HFD) group, blood glucose levels peaked at 15 min, reaching 395.6 mg/dL, before gradually declining. The HFD-fed mice exhibited significantly higher blood glucose levels at 0, 15, 30, 60, and 120 min than the other groups. However, this elevation was significantly attenuated in the Kef50-treated groups, with peak blood glucose levels in the HFD group reaching only 213 mg/dL. A two-way repeated-measures ANOVA revealed significant main effects of time (p < 0.0001) and group (p < 0.0001), as well as a significant time x group interaction (p < 0.0001), indicating that glucose responses during the OGTT differed markedly among groups. Post hoc one-way ANOVAs at each time point confirmed significant group differences at all time points (all p < 0.0001) (Figure 3a). In addition, to provide a quantitative summary of glucose tolerance, we calculated the area under the curve (AUC) for the OGTT using the trapezoidal method. One-way ANOVA revealed a significant overall group effect on AUC values (F(3,16) = 18.42, p < 0.001). Post hoc comparisons showed that HFD-fed mice had significantly higher AUC values than controls (p < 0.001). RK50 significantly reduced AUC relative to HFD (p < 0.05), whereas RK10 produced a modest but non-significant reduction. These findings indicate that RK supplementation, particularly at the higher dose, partially improves glucose tolerance in HFD-fed (Figure 3b).

2.4. Effects of RK on Serum Lipid Profiles

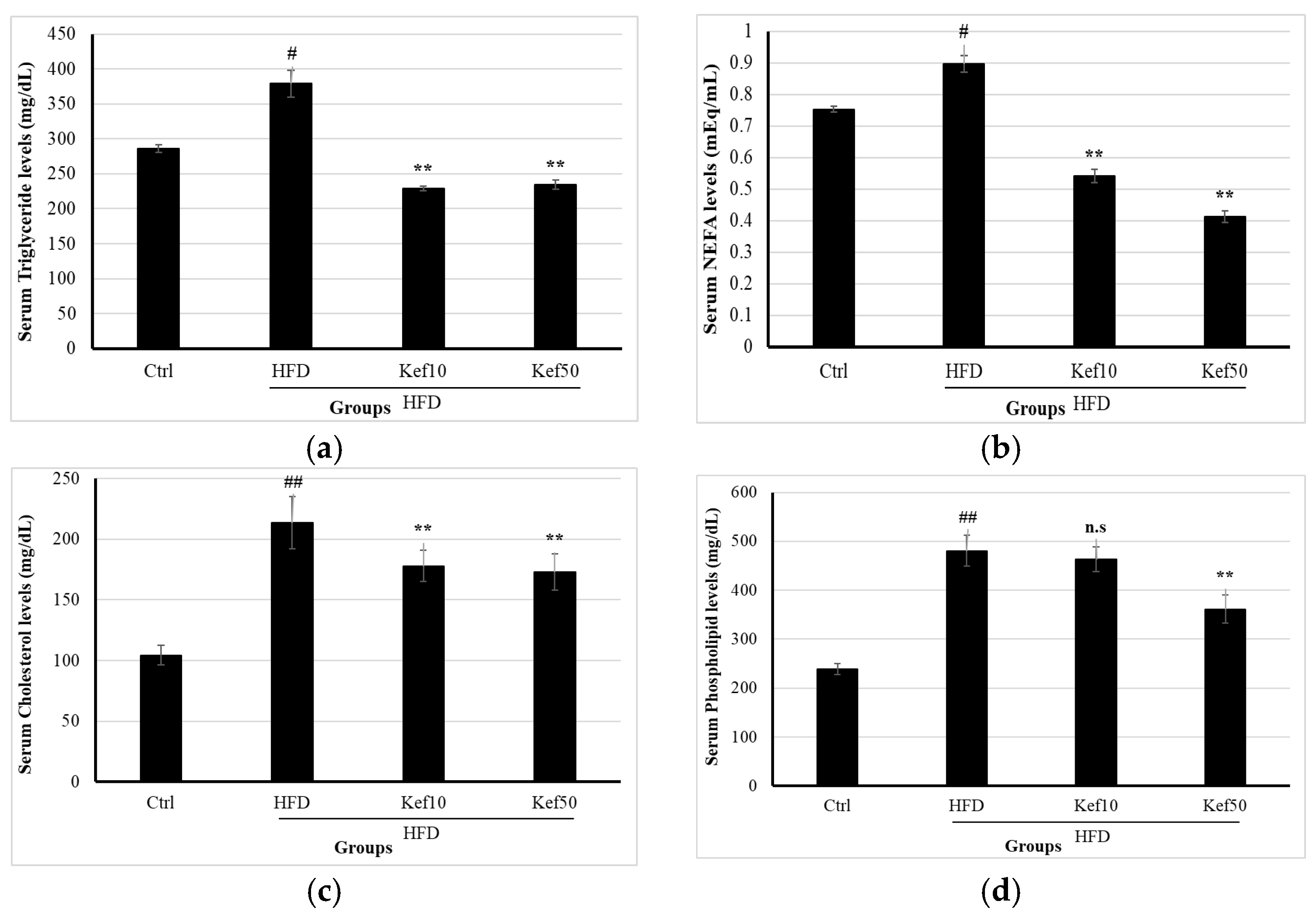
Analysis of serum samples from all groups demonstrated that mice fed a high-fat diet (HFD) exhibited significantly elevated levels of several metabolic risk markers, including total cholesterol (TC), non-esterified fatty acids (NEFA), triglycerides (TG), and phospholipids (PL). Triglyceride levels differed significantly among the experimental groups (one-way ANOVA, F (3,16) = 38.52, p < 0.0001). Post hoc Tukey analysis showed that the HFD group exhibited markedly elevated triglyceride levels compared with the control group (p < 0.001). Both the Kef10 and Kef50 groups demonstrated significantly reduced triglyceride levels relative to the HFD group (p < 0.001). No significant difference was observed between the Kef10 and Kef50 groups (p = 0.62) (Figure 4a). NEFA levels differed significantly among the experimental groups (one-way ANOVA, F (3,16) = 54.87, p < 0.0001). Post hoc Tukey analysis revealed that the HFD group exhibited significantly elevated NEFA levels compared with the control group (p = 0.004). Both Kef10 and Kef50 groups showed significantly reduced NEFA levels compared with HFD (p < 0.001). Additionally, NEFA levels were significantly lower in the Kef50 group compared with Kef10 (p = 0.017) (Figure 4b). Cholesterol levels differed significantly among the experimental groups (one-way ANOVA, F(3,16) = 72.41, p < 0.0001). Post hoc Tukey analysis showed that the HFD group exhibited markedly elevated cholesterol levels compared with the control group (p < 0.001). Both the Kef10 and Kef50 groups demonstrated significantly reduced cholesterol levels relative to the HFD group (p = 0.014 and p = 0.031, respectively). No significant difference was observed between the Kef10 and Kef50 groups (p = 0.62) (Figure 4c). Phospholipid levels differed significantly among the experimental groups (one-way ANOVA, F(3,16) = 92.14, p < 0.0001). Post hoc Tukey analysis showed that the HFD group exhibited markedly elevated phospholipid levels compared with the control group (p < 0.001). Both the RK10 and RK50 groups demonstrated significantly reduced phospholipid levels relative to the HFD group (p = 0.047 and p < 0.001, respectively). Additionally, phospholipid levels were significantly lower in the Kef50 group compared with Kef10 (p = 0.003) (Figure 4d).

2.5. Effects of RK on Serum NAMPT and Hepatic NAD+/NADH Metabolism

NAMPT plays a critical role in the biosynthesis of nicotinamide adenine dinucleotide (NAD+). Serum NAMPT levels differed significantly among the experimental groups (one-way ANOVA, F(3,16) = 52.87, p < 0.0001). Tukey’s post hoc analysis revealed no significant difference between the control and HFD groups (p = 0.72). In contrast, both RK10 and RK50 groups exhibited significantly elevated NAMPT levels compared with the control group (p = 0.004 and p < 0.001, respectively) and the HFD group (p = 0.009 and p < 0.001, respectively). Additionally, NAMPT levels were significantly higher in the RK50 group compared with RK10 (p < 0.001) (Figure 5).
On the other hand, the statistical analysis showed that NAD+/NADH ratios differed significantly among the experimental groups (one-way ANOVA, F(3,16) = 22.47, p < 0.0001). Tukey’s post hoc analysis revealed a marked reduction in the HFD group compared with the control group (p < 0.001). Both RK10 and RK50 treatments significantly increased the NAD+/NADH ratio relative to the HFD group (p = 0.004 and p < 0.001, respectively). No significant differences were observed between the control, RK10, and RK50 groups (Figure 6).

2.6. Effects of RK on the Expression of Genes Involved in Lipid Metabolism in Mice

To investigate the potential effect of RK on obesity, we examined the mRNA expression levels of adipogenic gene Srebp-1; lipogenic genes: Acc-1 and Fas; lipolysis and NAD+ synthesis gene: NAMPT of mice subjected to HFD (Figure 7). NAMPT gene expression was significantly increased following RK treatment at 10 and 50 mg/kg. In contrast, the expression of adipogenic and lipogenic genes was significantly downregulated after RK treatment.

3. Discussion

This study investigates the anti-obesity effect of RK in HFD-induced obese mice. The RK doses used in this study (10 and 50 mg/kg) were selected based on our previous dose-ranging experiments evaluating RK at doses between 10 and 100 mg/kg in mice. Although higher doses, including 100 mg/kg, also demonstrated metabolic benefits, the 10 and 50 mg/kg doses produced robust and reproducible effects and were therefore chosen to represent low and moderate effective preclinical doses with greater translational relevance for future clinical application.
The target of such experiments is to determine the appropriate preclinical dosages, as well as to understand the anti-obesity mechanism.
This study demonstrates that RK exerts significant anti-obesity effects in mice subjected to a high-fat diet (HFD). The administration of RK at doses of 10 mg/kg and 50 mg/kg over four weeks resulted in notable reductions in body weight gain and adipose tissue accumulation, improved glucose tolerance, favorable modulation of serum lipid profiles, and restoration of key metabolic regulators such as NAMPT and the hepatic NAD+/NADH ratio.
The observed attenuation of body weight gain and adipose tissue mass in RK-treated groups aligns with previous findings, where RK supplementation has been shown to mitigate HFD-induced obesity [8,11]. These outcomes suggest that RK may influence energy balance and adipogenesis, potentially through modulation of lipid metabolism pathways. In addition, because RK did not alter daily or cumulative food intake, the reductions in body weight and adiposity are unlikely to result from caloric restriction, supporting a metabolic mechanism consistent with NAMPT upregulation and improved NAD+ homeostasis.
The improvement in glucose tolerance seen in RK-treated mice aligns with previous research showing the hypoglycemic effects of RK. Specifically, kefiran administration has been proven to decrease blood glucose levels in diabetic mouse models [7]. The boost in glucose regulation may be due to RK’s potential to influence insulin sensitivity and glucose uptake, though the exact mechanisms require further study.
The positive modulation of serum lipid profiles, including decreases in total cholesterol, triglycerides, and non-esterified fatty acids, highlights RK’s potential in improving dyslipidemia linked to obesity. These results align with studies showing kefir’s ability to enhance plasma lipid levels and liver triglyceride content in HFD-fed mice. Such lipid-lowering effects may occur through RK’s impact on lipid metabolism and absorption [22].
At the molecular level, RK supplementation restored hepatic NAD+/NADH ratios and increased serum NAMPT, indicating a positive impact on cellular energy metabolism. Given that NAMPT is a key enzyme in the NAD+ salvage pathway, its upregulation by RK suggests enhanced NAD+ biosynthesis, which is crucial for metabolic health. Although RK treatment ameliorated the HFD-induced reduction in serum NAMPT levels, NAMPT concentrations in RK-treated mice exceeded those observed in healthy controls, particularly at the 50 mg/kg dose. This elevation above baseline may represent an adaptive metabolic response to increased energy demand, as enhanced NAD+ biosynthesis is required to support mitochondrial function, fatty acid oxidation, and glucose metabolism under conditions of metabolic stress. Consistent with this interpretation, previous studies have shown that pharmacological or nutritional interventions targeting NAD+ metabolism often induce NAMPT expression beyond physiological baseline levels, reflecting metabolic reprogramming rather than simple normalization [23,24].
Although kefiran is a non-digestible polysaccharide, several indirect mechanisms may explain its ability to modulate metabolic pathways associated with obesity. First, kefiran may act as a prebiotic, altering gut microbiota composition and increasing the production of short-chain fatty acids (SCFAs), such as acetate, propionate, and butyrate. SCFAs are known to activate AMPK and G-protein-coupled receptors (e.g., GPR41/43), leading to improved insulin sensitivity, enhanced fatty acid oxidation, and suppression of lipogenesis. Second, kefiran may attenuate low-grade inflammation associated with obesity by reducing pro-inflammatory cytokine signaling, thereby indirectly preserving NAMPT expression and NAD+ availability, as inflammatory stress has been shown to suppress NAD+ metabolism. Third, kefiran may reduce intestinal lipid absorption or modulate bile acid metabolism, which can activate FXR- and TGR5-dependent signaling pathways that influence energy expenditure and glucose homeostasis. Collectively, these mechanisms provide plausible routes through which RK supplementation could enhance NAD+ biosynthesis and suppress adipogenic and lipogenic gene expression, despite the polysaccharide’s limited systemic absorption [23,25,26].
NAMPT catalyzes the rate-limiting step in the NAD+ salvage pathway, converting nicotinamide to NMN, thereby replenishing NAD+ pools essential for SIRT1 activation and downstream metabolic regulation [13]. In obesity, adipose and hepatic NAMPT levels decline, leading to NAD+ depletion, elevated NADH/NAD+ ratios, impaired fatty acid oxidation, and insulin resistance [27]. RK-mediated restoration of hepatic NAD+/NADH ratios and serum NAMPT likely counters these defects by boosting SIRT1 activity, which deacetylates PPARγ and PGC-1α to suppress adipogenesis while enhancing mitochondrial biogenesis and lipid catabolism. This mechanism aligns with preclinical evidence where NAMPT overexpression or NAD+ precursors mitigate HFD-induced obesity and dyslipidemia. Although RK increased Nampt mRNA expression, serum NAMPT levels, and hepatic NAD+/NADH ratios, these findings remain correlative. Direct evidence of NAMPT activation—such as protein quantification, enzymatic activity assays, or assessment of downstream SIRT1 targets—was not obtained in this study. Accordingly, the involvement of NAMPT should be interpreted as a potential mechanistic link rather than a definitive mediator of RK’s metabolic effects. Future studies incorporating NAMPT inhibition, tissue-specific knockout models, or direct measurements of NAMPT enzymatic activity will be essential to establish causality.
RK has been shown to act on DAF-16 and extend the lifespan of Caenorhabditis elegans (nematodes) [10]. In a mouse study, an increase in NAMPT levels in the blood has been reported to lead to anti-aging effects and an extended lifespan [15]. The observed increase in serum NAMPT with RK treatment raises the possibility that RK may influence aging-related pathways, although this remains speculative and requires confirmation in future studies. In fact, a human study found that taking 500 mg of RK and 1 g of BioBran (a functional food containing rice bran arabinoxylan) daily for 12 weeks significantly decreased biological age, as measured by the epigenetic clock [28].
Furthermore, the downregulation of adipogenic and lipogenic genes such as Srebp-1, Acc-1, and Fas in RK-treated groups suggests that RK may inhibit adipocyte differentiation and lipid synthesis. This gene expression modulation supports the observed reductions in adipose tissue mass and aligns with studies indicating RK’s role in regulating lipid metabolism at the transcriptional level. Notably, the reduction in Fas expression was evident at the lower Kef10 dose but not at Kef50, suggesting a nonlinear dose–response. Several mechanisms could explain this pattern. First, a lower Kef concentration may optimally activate the signaling pathway(s) that downregulate Fas, while a higher concentration triggers compensatory feedback or off-target pathways that counterbalance this effect, resulting in an overall loss of Fas suppression. Second, higher doses can sometimes induce cellular stress or toxicity, leading to altered transcriptional programs and different sensitivity of individual genes, including Fas.
A limitation of this study is the lack of histological evaluation of adipose and hepatic tissues. Although reductions in adipose mass and hepatic lipid accumulation were supported by quantitative analyses, histological staining (H&E or Oil Red O) was not performed to directly assess adipocyte hypertrophy or hepatic steatosis. Future studies incorporating histological analyses will be important to validate the morphological basis of the metabolic improvements observed following RK treatment.
In conclusion, RK exhibits multifaceted anti-obesity effects in HFD-induced obese mice, encompassing reductions in body weight and fat accumulation, improvements in glucose and lipid metabolism, and modulation of key metabolic pathways. These findings position RK as a promising candidate for the development of functional foods or nutraceuticals aimed at combating obesity and its associated metabolic complications. Future studies should explore the underlying mechanisms of RK’s actions and assess its efficacy in human clinical trials.

4. Materials and Methods

4.1. RK Sample

RK is a functional food made with culturing L. kefiranofaciens in a medium containing rice. It is standardized to contain at least 5 mg/g of RK. The kefiran content of RK was verified before use and confirmed to be ≥5 mg/g, consistent with the manufacturer’s specification. The administered doses (10 and 50 mg/kg) refer to total RK material rather than purified kefiran, as RK was evaluated as a functional food preparation. Rice kefiran (RK) is a fermented functional food preparation produced by culturing Lactobacillus kefiranofaciens in a rice-based medium. In addition to kefiran, RK contains residual carbohydrates, as well as minor amounts of proteins and peptides derived from microbial fermentation. The preparation does not contain live bacteria, and kefiran represents the primary bioactive polysaccharide component. It was provided by Daiwa Pharmaceutical Co., Ltd. (Tokyo, Japan).

4.2. Animal and Experimental Design

A total of 20 male C57BL/6J mice (5 weeks old; SPF grade; purchased from CLEA Japan, Tokyo, Japan) were housed in breeding rooms maintained at 22 ± 1 °C and 55 ± 11% humidity, with a 12 h light/dark cycle (lights on at 07:00 daily). The mice were randomly assigned to four groups of five mice each and acclimatized for one week on a standard chow diet. The normal diet is composed primarily of carbohydrates, including maltodextrin (397 g/kg), α-corn starch (132 g/kg), and sucrose (100 g/kg), with protein supplied by casein (200 g/kg) and a low-fat content derived from lard (70 g/kg). The diet also contained cellulose (50 g/kg) as a fiber source, a standardized vitamin mix (10 g/kg) and mineral mix (35 g/kg), as well as L-cysteine (3 g/kg) and choline bitartrate (2.5 g/kg) to meet nutritional requirements. However, the high-fat diet contains a high percentage of fat (lard) (330 g/kg). The groups were designated as follows: Group 1, normal control (Ctrl)—fed a normal diet; Group 2, HFD control—fed a high-fat diet; Group 3, Kef10—fed a high-fat diet supplemented with 10 mg/kg body weight of RK and Group 4, Kef50—fed a high-fat diet supplemented with 50 mg/kg body weight of RK. RK was administered orally via gavage. Fresh diets were provided every three days, and food intake was measured at the same intervals. Body weight was recorded twice weekly for four weeks. This schedule allowed timely identification of diet-induced weight gain while minimizing handling stress, as measurements were performed concurrently with routine food replacement. After the experiment, the mice were euthanized by isoflurane anesthesia followed by cervical dislocation, in accordance with the University of Tsukuba Institutional Animal Care and Use Committee guidelines (Approval No. 16-042). Blood samples were collected via cardiac puncture into tubes. The blood was allowed to clot at room temperature for 30 min, then centrifuged to separate the serum, which was stored at −80 °C for subsequent analysis. Abdominal fat and liver tissues were excised, weighed, flash-frozen in liquid nitrogen, and stored at −80 °C for further examination.

4.3. Oral Glucose Tolerance Test (OGTT)

On the day before the sacrifice, an oral glucose tolerance test (OGTT) was conducted on mice that had been fasted for 16 h (from 8:00 PM to 12:00 PM the following day). The mice were given a 30% glucose solution in water orally, with a dosage of 2 g per kilogram of body weight. Blood samples were collected via tail–tip excision before the glucose administration (0 min) and at intervals of 15, 30, 60, and 120 min after administration. A glucometer (GlucosePilot; Aventir Biotech, Carlsbad, CA, USA) was used to measure the blood glucose levels.
Glucose AUC was calculated for each mouse using the trapezoidal method based on glucose concentrations at each time point. AUC values were used as a quantitative index of whole-body glucose tolerance. Group differences in AUC were analyzed using one-way ANOVA followed by post hoc comparisons when appropriate. Data are presented as mean ± SEM. Statistical significance was set at p < 0.05.

4.4. Serum Biochemical Analysis

The blood samples were collected at the end of the experiment and allowed to clot at room temperature before centrifugation at 3000 rpm for 15 min at 4 °C to isolate the serum. The separated serum was then analyzed to determine the levels of triglycerides (TG), total cholesterol (TC), non-esterified fatty acids (NEFA), phospholipids (PL), using commercial enzymatic assay kits (Wako Pure Chemical Industries, Osaka, Japan) and NAMPT (RayBiotech, Peachtree Corners, USA), according to the manufacturer’s instructions. In addition, Hepatic NAD+ and NADH levels were measured using a NAD/NADH Assay Kit-WST (Dojindo Molecular Technologies, Kumamoto, Japan) according to the manufacturer’s instructions. Briefly, liver tissues were homogenized in the extraction buffer provided with the kit. NAD+ and NADH were selectively measured following enzymatic reactions that generate a water-soluble formazan dye, which was quantified by measuring absorbance at 450 nm using a microplate reader. The NAD+/NADH ratio was calculated based on the measured concentrations. Absorbance was measured using a microplate reader (Synergy H1, BioTek Tokyo, Japan).

4.5. Quantitative Real-Time Polymerase Chain Reaction (qPCR)

Gene expression levels were assessed through quantitative real-time polymerase chain reaction (RT-qPCR). Total RNA was extracted from adipose tissue using RNAiso Plus (TaKaRa Bio Inc., Kusatsu, Shiga, Japan). The RNA concentration was measured using a Thermo Fisher Scientific Nano 2000, Wilmington, DE, USA. Complementary DNA (cDNA) was synthesized from 1 µg of total RNA with the PrimeScript™ RT Reagent Kit, which included a gDNA Eraser (TaKaRa Bio Inc., Kusatsu, Shiga, Japan). PCR amplification was performed using Thunderbird SYBR Green (Toyobo Co., Ltd., Osaka, Japan) in conjunction with gene-specific primers, with Gapdh serving as the internal control. Quantitative real-time PCR (qPCR) was performed using gene-specific primers. Expression levels of Srebp-1c and Fas were quantified and normalized to the housekeeping gene Gapdh. Primer sequences used in this study are as follows: Srebp-1c forward 5′-GCTTAGCCTCTACACCAACTGGC-3′, reverse 5′-ACAGACTGGTACGGGCCACAAG-3′, Fas forward 5′-TGGAGCCTGTGTAGCCTTCGAG-3′, reverse 5′-ACAGCCTGGGGTCATCTTTGCC-3′, Gapdh forward 5′-TGGTGAAGGTCGGTGTGAACGG-3′, reverse 5′-TGCCGTTGAATTTGCCGTGAGT-3′, Acc-1 forward 5′-GTGGTACCTGGCTGCTAGTC-3′, reverse 5′-GTATCTGAGCTGACGGAGGC-3′, Nampt forward 5′-GCAGAAGCCGAGTTCAACATC-3′, reverse 5′-TTTTCACGGCATTCAAAGTAGGA-3′.

4.6. Statistical Analysis

Data are expressed as mean ± SEM. Normality was assessed using the Shapiro–Wilk test. Since the data were normally distributed, comparisons among multiple groups were performed using one-way analysis of variance (ANOVA), followed by Tukey’s multiple comparison post hoc test. A p-value < 0.05 was considered statistically significant.

Author Contributions

Conceptualization, K.S. and M.B.O.; methodology, M.B.O. and K.S.; validation, K.S. and M.B.O.; formal analysis, M.B.O.; investigation, K.S.; data curation, M.B.O. and K.S.; writing—original draft preparation, M.B.O.; writing—review and editing, K.S.; visualization, M.B.O.; supervision, K.S.; project administration, K.S. All authors have read and agreed to the published version of the manuscript.

Funding

This work was supported in part by Grants-in-Aid for Scientific Research and Education from the University of Tsukuba, Japan, and Daiwa Pharmaceutical Co., Ltd. (Tokyo, Japan). The sponsors had no role in the design, execution, interpretation, or writing of the study.

Institutional Review Board Statement

All animal experiments were approved by the University of Tsukuba Institutional Animal Care and Use Committee (Approval No. 16-042).

Informed Consent Statement

Not applicable.

Data Availability Statement

Raw sequencing data and primary numerical datasets will be deposited in a public repository upon journal request or acceptance. All processed data are included within the article.

Acknowledgments

This work was partly supported by Grants-in-Aid for Scientific Research and Education from the University of Tsukuba, Japan. The authors thank Daiwa Pharmaceutical Co., Ltd. (Tokyo, Japan) for providing the RK.

Conflicts of Interest

The authors declare no conflicts of interest.

Abbreviations

The following abbreviations are used in this manuscript:
OGTTOral glucose tolerance test
HFDHigh-fat diet
RKRice kefiran
NAMPTNicotinamide phosphoribosyl transferase
TGTriglycerides
TCTotal cholesterol
PLPhospholipids
NEFANon-esterified fatty acids

References

  1. World Health Organization (WHO). Obesity and Overweight; World Health Organization: Geneva, Switzerland, 2020; Available online: https://www.who.int/news-room/fact-sheets/detail/obesity-and-overweight (accessed on 1 October 2025).
  2. Ng, M.; Fleming, T.; Robinson, M.; Thomson, B.; Graetz, N.; Margono, C.; Mullany, C.E.; Biryukov, S.; Abbafati, C.; Abera, S.F.; et al. Global, regional and national prevalence of overweight and obesity in children and adults during 1980–2013: A systematic analysis for the Global Burden of Disease Study 2013. Lancet 2014, 384, 766–781. [Google Scholar] [CrossRef]
  3. Blüher, M. Obesity: Global epidemiology and pathogenesis. Nat. Rev. Endocrinol. 2019, 15, 288–298. [Google Scholar] [CrossRef]
  4. González-Castejón, M.; Rodriguez-Casado, A. Dietary phytochemicals and their potential effects on obesity: A review. Pharmacol. Res. 2011, 64, 438–455. [Google Scholar] [CrossRef]
  5. Chan, Y.; Ng, W.S.; Tan, X.Z.J.; Gupta, G.; Negi, P.; Thangavelu, L.; Balusamy, R.S.; Perumalsamy, H.; Yap, H.W.; Singh, K.S.; et al. Natural products in the management of obesity: Fundamental mechanisms and pharmacotherapy. S. Afr. J. Bot. 2021, 143, 176–197. [Google Scholar] [CrossRef]
  6. Vieira, P.C.; Rosario, S.L.L.A.; Lelis, A.C.; Rekowsky, S.S.B.; Carvalho, A.P.A.; Rosario, A.K.D.; Elias, A.T.; Costa, P.M.; Foguel, D.; Conte-Junior, A.C. Bioactive Compounds from Kefir and Their Potential Benefits on Health: A Systematic Review and Meta-Analysis. Oxid. Med. Cell Longev. 2021, 27, 9081738. [Google Scholar] [CrossRef]
  7. Maeda, H.; Zhu, X.; Omura, K.; Suzuki, S.; Kitamura, S. Effects of an exopolysaccharide (kefiran) on lipids, blood pressure, blood glucose, and constipation. Biofactors 2004, 22, 197–200. [Google Scholar] [CrossRef]
  8. Uchida, M.; Ishii, I.; Inoue, C.; Akisato, Y.; Watanabe, K.; Hosoyama, S.; Toida, T.; Ariyoshi, N.; Kitada, M. Kefiran reduces atherosclerosis in rabbits fed a high cholesterol diet. J. Atheroscler. Thromb. 2010, 17, 980–988. [Google Scholar] [CrossRef] [PubMed]
  9. Furuno, T.; Nakanishi, M. Kefiran suppresses antigen-induced mast cell activation. Biol. Pharm. Bull. 2012, 35, 178–183. [Google Scholar] [CrossRef]
  10. Sugawara, T.; Furuhashi, T.; Shibata, K.; Abe, M.; Kikuchi, K.; Arai, M.; Sakamoto, K. Fermented product of rice with Lactobacillus kefiranofaciens induces anti-aging effects and heat stress tolerance in nematodes via DAF-16. Biosci. Biotechnol. Biochem. 2019, 83, 1484–1489. [Google Scholar] [CrossRef] [PubMed]
  11. Kurakawa, T.; Kani, K.; Chudan, S.; Nishikawa, M.; Tabuchi, Y.; Sakamoto, K.; Nagai, Y.; Ikushiro, S.; Furusawa, Y. Rice Kefiran Ameliorates Obesity and Hepatic Steatosis Through the Change in Gut Microbiota. Microorganisms 2024, 12, 2495. [Google Scholar] [CrossRef] [PubMed]
  12. Revoiio, R.J.; Körner, A.; Mills, F.K.; Satoh, A.; Wang, T.; Garten, A.; Dasgupta, B.; Sasaki, Y.; Wolberger, C.; Townsend, R.R.; et al. Nampt/PBEF/Visfatin regulates insulin secretion in beta cells as a systemic NAD biosynthetic enzyme. Cell Metab. 2007, 6, 363–375. [Google Scholar] [CrossRef]
  13. Stromsdorfer, L.K.; Yamaguchi, S.; Yoon, J.M.; Moseley, C.A.; Franczyk, P.M.; Kelly, C.S.; Qi, N.; Imai, S.; Yoshino, J. NAMPT-Mediated NAD(+) Biosynthesis in Adipocytes Regulates Adipose Tissue Function and Multi-organ Insulin Sensitivity in Mice. Cell Rep. 2016, 16, 1851–1860. [Google Scholar] [CrossRef]
  14. Cantó, C.; Houtkooper, H.R.; Pirinen, E.; Youn, Y.D.; Oosterveer, H.M.; Cen, Y.; Fernandez-Marcos, J.P.; Yamamoto, H.; Andreux, A.P.; Philippe, C.; et al. The NAD(+) precursor nicotinamide riboside enhances oxidative metabolism and protects against high-fat diet-induced obesity. Cell Metab. 2012, 15, 838–847. [Google Scholar] [CrossRef]
  15. Frederick, W.D.; Loro, E.; Liu, L.; Davilia, J.A.; Chellappa, K.; Silverman, M.I.; Qinn, J.W.; Gosai, J.S.; Tichy, D.E.; Davis, G.J.; et al. Loss of NAD Homeostasis Leads to Progressive and Reversible Degeneration of Skeletal Muscle. Cell Metab. 2016, 24, 269–282. [Google Scholar] [CrossRef]
  16. Yoshida, M.; Satoh, A.; Lin, B.J.; Mills, F.K.; Sasaki, Y.; Rensing, N.; Wong, M.; Apte, S.R.; Imai, S. Extracellular Vesicle-Contained eNAMPT Delays Aging and Extends Lifespan in Mice. Cell Metab. 2019, 30, 329–342.e5. [Google Scholar] [CrossRef]
  17. Yoshino, J.; Baur, J.A.; Imai, S. NAD+ intermediates: The biology and therapeutic potential of NMN and NR. Cell Metab. 2017, 27, 513–528. [Google Scholar] [CrossRef]
  18. Cantó, C.; Menzies, K.J.; Auwerx, J. NAD+ metabolism and the control of energy homeostasis: A balancing act between mitochondria and the nucleus. Cell Metab. 2015, 22, 31–53. [Google Scholar] [CrossRef] [PubMed]
  19. Verdin, E. NAD+ in aging, metabolism, and neurodegeneration. Science 2015, 350, 1208–1213. [Google Scholar] [CrossRef] [PubMed]
  20. Trammell, S.A.; Schmidt, M.S.; Weidemann, B.J.; Redpath, P.; Jaksch, F.; Dellinger, R.W.; Li, Z.; Abel, E.D.; Migaud, M.E.; Brenner, C. Nicotinamide riboside is uniquely and orally bioavailable in mice and humans. Nat. Commun. 2016, 7, 12948. [Google Scholar] [CrossRef] [PubMed]
  21. Mills, K.F.; Yoshida, S.; Stein, L.R.; Grozio, A.; Kubota, S.; Sasaki, Y.; Redpath, P.; Migaud, M.E.; Apte, R.S.; Uchida, K.; et al. Long-term administration of nicotinamide mononucleotide mitigates age-associated physiological decline in mice. Cell Metab. 2016, 24, 795–806. [Google Scholar] [CrossRef]
  22. Bourrie, B.C.T.; Cotter, P.D.; Willing, B.P. Traditional kefir reduces weight gain and improves plasma and liver lipid profiles more successfully than a commercial equivalent in a mouse model of obesity. J. Funct. Foods 2018, 46, 29–37. [Google Scholar] [CrossRef]
  23. Garten, A.; Schuster, S.; Penke, M.; Gorski, T.; de Giorgis, T.; Kiess, W. Physiological and pathophysiological roles of NAMPT and NAD metabolism. Nat. Rev. Endocrinol. 2015, 11, 535–546. [Google Scholar] [CrossRef] [PubMed]
  24. Imai, S.I.; Guarente, L. NAD+ and sirtuins in aging and disease. Trends Cell Biol. 2014, 24, 464–471. [Google Scholar] [CrossRef]
  25. Koh, A.; De Vadder, F.; Kovatcheva-Datchary, P.; Backhed, F. From dietary fiber to host physiology: Short-chain fatty acids as key bacterial metabolites. Cell 2016, 165, 1332–1345. [Google Scholar] [CrossRef]
  26. Wahlstrom, A.; Sayin, S.I.; Marschall, H.U.; Backhed, F. Intestinal Crosstalk between Bile Acids and Microbiota and Its Impact on Host Metabolism. Cell Metab. 2016, 24, 41–50. [Google Scholar] [CrossRef]
  27. Ruskovska, T.; Bernlohr, D.A. The role of NAD+ in Metabolic Regulation of Adipose tissue: Implications for Obesity-Induced Insulin Resistance. Biomedicines 2023, 11, 2560. [Google Scholar] [CrossRef] [PubMed]
  28. Kawakami, S.; Ninomiya, R.; Maeda, Y. Improvement in Epigenetic Aging Clock Induced by BioBran Containing Rice Kefiran in Relation to Various Biomarkers: A Pilot Study. Int. J. Mol. Sci. 2024, 25, 6332. [Google Scholar] [CrossRef] [PubMed]
Figure 1. Effects of RK on body weight gain (a) and adipose tissue mass (b) in C57BL/6J mice. The data are expressed as mean ± standard error of the mean (n = 5 per group). Group differences were evaluated by one-way analysis of variance (ANOVA) followed by Tukey’s multiple-comparison test. Asterisks indicate a significant difference (* p < 0.05, ** p < 0.01) compared with the HFD group; hashes indicate a significant difference (## p < 0.01) compared with the control group.
Figure 1. Effects of RK on body weight gain (a) and adipose tissue mass (b) in C57BL/6J mice. The data are expressed as mean ± standard error of the mean (n = 5 per group). Group differences were evaluated by one-way analysis of variance (ANOVA) followed by Tukey’s multiple-comparison test. Asterisks indicate a significant difference (* p < 0.05, ** p < 0.01) compared with the HFD group; hashes indicate a significant difference (## p < 0.01) compared with the control group.
Ijms 27 01912 g001
Figure 2. Effects of RK on daily and cumulative food intake in C57BL/6J mice. (a) Daily food intake is calculated from food disappearance over each feeding interval. (b) Cumulative food intake per mouse over a 4-week experimental period. Data are expressed as mean ± SEM (n = 5/group). No significant differences were observed among HFD, RK10, and RK50 groups (one-way ANOVA, p > 0.05), indicating that RK did not alter food consumption.
Figure 2. Effects of RK on daily and cumulative food intake in C57BL/6J mice. (a) Daily food intake is calculated from food disappearance over each feeding interval. (b) Cumulative food intake per mouse over a 4-week experimental period. Data are expressed as mean ± SEM (n = 5/group). No significant differences were observed among HFD, RK10, and RK50 groups (one-way ANOVA, p > 0.05), indicating that RK did not alter food consumption.
Ijms 27 01912 g002
Figure 3. Effect of RK on oral glucose responses in C57BL/6J mice. (a) An oral glucose tolerance test (OGTT) was performed after an overnight fast. Blood glucose levels were measured at 0, 15, 30, 60, and 120 min following oral glucose administration. (b) Quantification of glucose tolerance by calculating the area under the curve (AUC) using the trapezoidal method. Data are presented as mean ± SEM and analyzed by one-way ANOVA followed by post hoc comparisons. Asterisks indicate a significant difference (* p < 0.05, ** p < 0.01, *** p < 0.001) compared with the HFD group; hashes indicate a significant difference (## p < 0.01, ### p < 0.001) compared with the control group, n.s; not significant.
Figure 3. Effect of RK on oral glucose responses in C57BL/6J mice. (a) An oral glucose tolerance test (OGTT) was performed after an overnight fast. Blood glucose levels were measured at 0, 15, 30, 60, and 120 min following oral glucose administration. (b) Quantification of glucose tolerance by calculating the area under the curve (AUC) using the trapezoidal method. Data are presented as mean ± SEM and analyzed by one-way ANOVA followed by post hoc comparisons. Asterisks indicate a significant difference (* p < 0.05, ** p < 0.01, *** p < 0.001) compared with the HFD group; hashes indicate a significant difference (## p < 0.01, ### p < 0.001) compared with the control group, n.s; not significant.
Ijms 27 01912 g003
Figure 4. Effects of RK on serum lipid parameters in RK (10 and 50 mg/kg)-treated mice. (a) Triglyceride; (b) non-esterified fatty acid (NEFA); (c) cholesterol; and (d) phospholipid levels. Data represent the mean ± SEM (n = 5). Statistical analysis was performed using one-way ANOVA followed by Tukey’s post hoc test. # p < 0.05, ## p < 0.01 versus the high-fat diet (HFD) control group; ** p < 0.01 versus the normal diet control group, n.s; not significant.
Figure 4. Effects of RK on serum lipid parameters in RK (10 and 50 mg/kg)-treated mice. (a) Triglyceride; (b) non-esterified fatty acid (NEFA); (c) cholesterol; and (d) phospholipid levels. Data represent the mean ± SEM (n = 5). Statistical analysis was performed using one-way ANOVA followed by Tukey’s post hoc test. # p < 0.05, ## p < 0.01 versus the high-fat diet (HFD) control group; ** p < 0.01 versus the normal diet control group, n.s; not significant.
Ijms 27 01912 g004
Figure 5. Effects of RK treatment on serum NAMPT levels in mice. NAMPT concentrations were measured in serum samples from control, high-fat diet (HFD), RK10, and RK50 groups. Data are presented as mean ± SEM (n = 5). Statistical analysis was performed using one-way ANOVA followed by Tukey’s post hoc test. * p < 0.05, ** p < 0.01 versus the HFD group, n.s; not significant.
Figure 5. Effects of RK treatment on serum NAMPT levels in mice. NAMPT concentrations were measured in serum samples from control, high-fat diet (HFD), RK10, and RK50 groups. Data are presented as mean ± SEM (n = 5). Statistical analysis was performed using one-way ANOVA followed by Tukey’s post hoc test. * p < 0.05, ** p < 0.01 versus the HFD group, n.s; not significant.
Ijms 27 01912 g005
Figure 6. Effects of RK treatment on the hepatic NAD+/NADH ratio. NAD+/NADH levels were measured in control, high-fat diet (HFD), RK10, and RK50 groups. Data are presented as mean ± SEM (n = 5). Statistical analysis was performed using one-way ANOVA followed by Tukey’s post hoc test. ## p < 0.01 versus the control group; ** p < 0.01 versus the HFD group.
Figure 6. Effects of RK treatment on the hepatic NAD+/NADH ratio. NAD+/NADH levels were measured in control, high-fat diet (HFD), RK10, and RK50 groups. Data are presented as mean ± SEM (n = 5). Statistical analysis was performed using one-way ANOVA followed by Tukey’s post hoc test. ## p < 0.01 versus the control group; ** p < 0.01 versus the HFD group.
Ijms 27 01912 g006
Figure 7. Relative mRNA expression levels of adipogenic gene Srebp-1, lipogenic genes: Acc-1 and Fas; lipolysis and NAD+ synthesis gene: Nampt in adipose tissue from Control, HFD, RK10, and RK50 groups. Each gene is presented as a separate panel within the figure. Data are expressed as mean ± SEM (n = 2 per group). Statistical analysis was performed using one-way ANOVA followed by Tukey’s post hoc test. * p < 0.05, ** p < 0.01, versus HFD; # p < 0.05, ## p < 0.01, versus control.
Figure 7. Relative mRNA expression levels of adipogenic gene Srebp-1, lipogenic genes: Acc-1 and Fas; lipolysis and NAD+ synthesis gene: Nampt in adipose tissue from Control, HFD, RK10, and RK50 groups. Each gene is presented as a separate panel within the figure. Data are expressed as mean ± SEM (n = 2 per group). Statistical analysis was performed using one-way ANOVA followed by Tukey’s post hoc test. * p < 0.05, ** p < 0.01, versus HFD; # p < 0.05, ## p < 0.01, versus control.
Ijms 27 01912 g007
Disclaimer/Publisher’s Note: The statements, opinions and data contained in all publications are solely those of the individual author(s) and contributor(s) and not of MDPI and/or the editor(s). MDPI and/or the editor(s) disclaim responsibility for any injury to people or property resulting from any ideas, methods, instructions or products referred to in the content.

Share and Cite

MDPI and ACS Style

Ben Othman, M.; Sakamoto, K. Possible Involvement of NAMPT in the Anti-Obesity Effect of Oral Administration of Fermented Rice with Lactobacillus kefiranofaciens (Rice Kefiran) in C57BL/6J Mice. Int. J. Mol. Sci. 2026, 27, 1912. https://doi.org/10.3390/ijms27041912

AMA Style

Ben Othman M, Sakamoto K. Possible Involvement of NAMPT in the Anti-Obesity Effect of Oral Administration of Fermented Rice with Lactobacillus kefiranofaciens (Rice Kefiran) in C57BL/6J Mice. International Journal of Molecular Sciences. 2026; 27(4):1912. https://doi.org/10.3390/ijms27041912

Chicago/Turabian Style

Ben Othman, Mahmoud, and Kazuichi Sakamoto. 2026. "Possible Involvement of NAMPT in the Anti-Obesity Effect of Oral Administration of Fermented Rice with Lactobacillus kefiranofaciens (Rice Kefiran) in C57BL/6J Mice" International Journal of Molecular Sciences 27, no. 4: 1912. https://doi.org/10.3390/ijms27041912

APA Style

Ben Othman, M., & Sakamoto, K. (2026). Possible Involvement of NAMPT in the Anti-Obesity Effect of Oral Administration of Fermented Rice with Lactobacillus kefiranofaciens (Rice Kefiran) in C57BL/6J Mice. International Journal of Molecular Sciences, 27(4), 1912. https://doi.org/10.3390/ijms27041912

Note that from the first issue of 2016, this journal uses article numbers instead of page numbers. See further details here.

Article Metrics

Back to TopTop