Diagnostic Potential of Circulating miRNAs in Glioma: A Systematic Review and Meta-Analysis
Abstract
1. Introduction
2. Methods
2.1. Study Selection
2.2. Inclusion and Exclusion Criteria
2.3. Study Sections and Data Extraction
2.4. Quality Assessment
2.5. Data Analysis
2.6. Publication Bias
3. Results and Discussion
3.1. Study Selection, Characteristics, and Quality Assessment
3.2. Meta-Analysis
3.2.1. Diagnostic Accuracy of Circulating miRNAs in Glioma
3.2.2. Subgroup Analysis and Meta-Regression
3.3. Discussion
4. Conclusions
- -
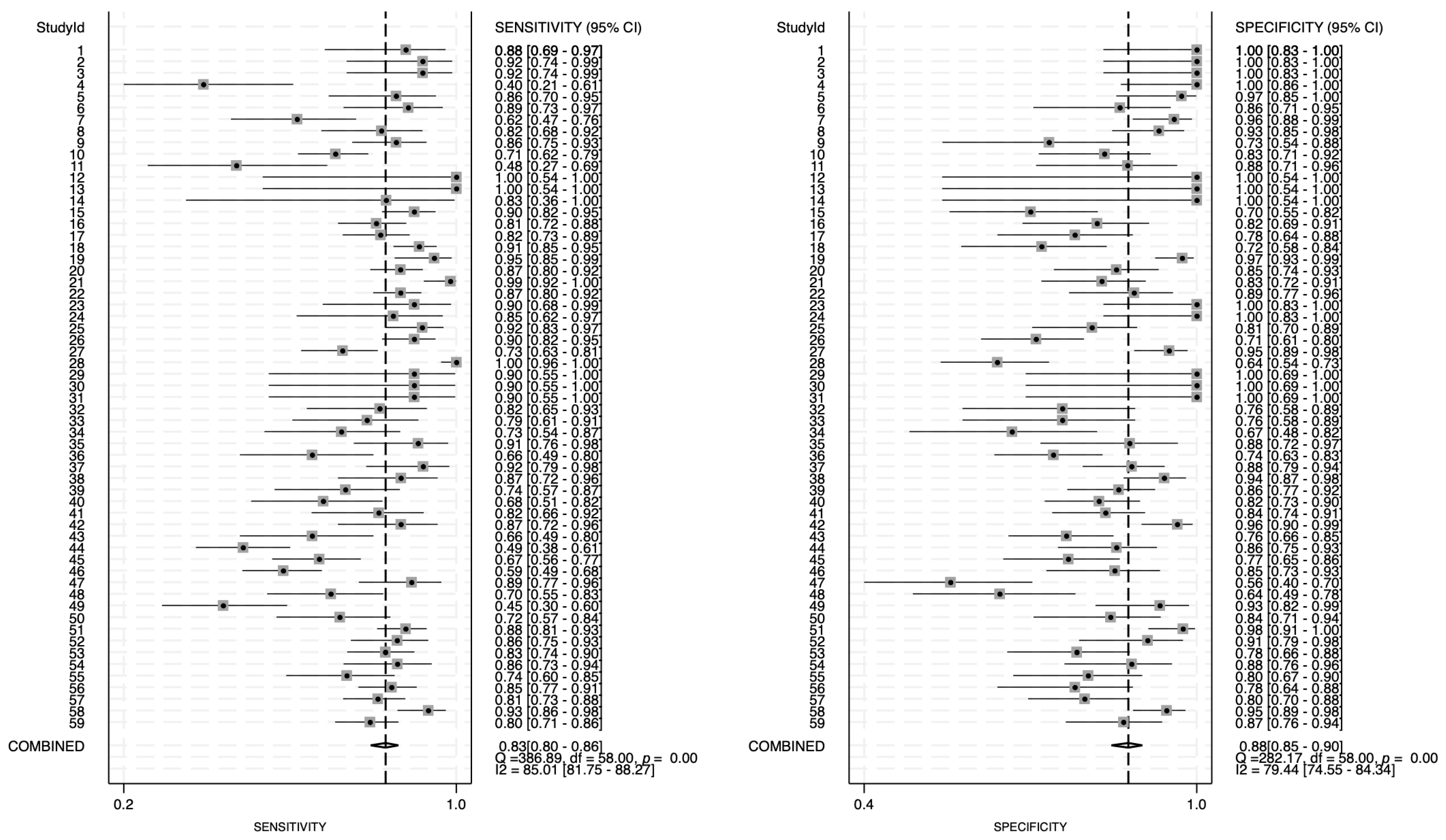
- The statistical analysis yielded high values for sensitivity at 0.83, selectivity at 0.88, and AUC at 0.92, suggesting good diagnostic potential of miRNAs in glioma;
- -
- High heterogeneity was observed between the pooled articles, which limits the conclusions of the study and necessitates standardization of miRNA extraction and detection, as well as of normalization control. Further validation of miRNAs is needed before clinical application;
- -
- Studies exploring the diagnostic potential of glioma-associated miRNAs are biased by insufficient disclosure of patient selection criteria and blinding methods in conducting the index test and reference standard for glioma diagnostics;
- -
- Oncogenic microRNAs with the suggested mechanisms, such as miR-221, miR-222, miR-582-5p, miR-363, miR-210, miR-21, miR-182, miR-720, miR-193b, miR-454, and miR-155, are upregulated in the blood of glioma patients;
- -
- Tumor suppressor microRNAs with the suggested mechanisms, such as miR-376a, miR-376b, miR-125b, miR-410, miR-181b, miR-342, miR-205, miR-203, miR-145, miR-33b, miR-100, miR-29, and miR-181a, are downregulated in the blood of glioma patients.
Supplementary Materials
Author Contributions
Funding
Institutional Review Board Statement
Informed Consent Statement
Data Availability Statement
Conflicts of Interest
Abbreviations
| GBM | Glioblastoma |
| HGG | High-grade glioma |
| LGG | Low-grade glioma |
| PLR | Positive likelihood ratio |
| NLR | Negative likelihood ratio |
| DOR | Diagnostic odds ratio |
| AUC | Area under the curve |
References
- Weller, M.; Wen, P.Y.; Chang, S.M.; Dirven, L.; Lim, M.; Monje, M.; Reifenberger, G. Glioma. Nat. Rev. Dis. Primers 2024, 10, 33. [Google Scholar] [CrossRef] [PubMed]
- Louis, D.N.; Perry, A.; Wesseling, P.; Brat, D.J.; Cree, I.A.; Figarella-Branger, D.; Hawkins, C.; Ng, H.K.; Pfister, S.M.; Reifenberger, G.; et al. The 2021 WHO Classification of Tumors of the Central Nervous System: A Summary. Neuro-Oncol. 2021, 23, 1231–1251. [Google Scholar] [CrossRef] [PubMed]
- Verhaak, R.G.W.; Hoadley, K.A.; Purdom, E.; Wang, V.; Qi, Y.; Wilkerson, M.D.; Miller, C.R.; Ding, L.; Golub, T.; Mesirov, J.P.; et al. Integrated Genomic Analysis Identifies Clinically Relevant Subtypes of Glioblastoma Characterized by Abnormalities in PDGFRA, IDH1, EGFR, and NF1. Cancer Cell 2010, 17, 98–110. [Google Scholar] [CrossRef]
- Ohgaki, H.; Kleihues, P. The Definition of Primary and Secondary Glioblastoma. Clin. Cancer Res. Off. J. Am. Assoc. Cancer Res. 2013, 19, 764–772. [Google Scholar] [CrossRef] [PubMed]
- Choate, K.A.; Pratt, E.P.S.; Jennings, M.J.; Winn, R.J.; Mann, P.B. IDH Mutations in Glioma: Molecular, Cellular, Diagnostic, and Clinical Implications. Biology 2024, 13, 885. [Google Scholar] [CrossRef]
- Cui, D.; Ren, J.; Shi, J.; Feng, L.; Wang, K.; Zeng, T.; Jin, Y.; Gao, L. R132H Mutation in IDH1 Gene Reduces Proliferation, Cell Survival and Invasion of Human Glioma by Downregulating Wnt/β-Catenin Signaling. Int. J. Biochem. Cell Biol. 2016, 73, 72–81. [Google Scholar] [CrossRef]
- Mizoguchi, M.; Yoshimoto, K.; Ma, X.; Guan, Y.; Hata, N.; Amano, T.; Nakamizo, A.; Suzuki, S.O.; Iwaki, T.; Sasaki, T. Molecular Characteristics of Glioblastoma with 1p/19q Co-Deletion. Brain Tumor Pathol. 2012, 29, 148–153. [Google Scholar] [CrossRef]
- Olympios, N.; Gilard, V.; Marguet, F.; Clatot, F.; Di Fiore, F.; Fontanilles, M. TERT Promoter Alterations in Glioblastoma: A Systematic Review. Cancers 2021, 13, 1147. [Google Scholar] [CrossRef]
- Ma, L.; Guo, H.; Zhao, Y.; Liu, Z.; Wang, C.; Bu, J.; Sun, T.; Wei, J. Liquid Biopsy in Cancer: Current Status, Challenges and Future Prospects. Signal Transduct. Target. Ther. 2024, 9, 336. [Google Scholar] [CrossRef]
- Malara, N.; Trunzo, V.; Foresta, U.; Amodio, N.; De Vitis, S.; Roveda, L.; Fava, M.; Coluccio, M.; Macrì, R.; Di Vito, A.; et al. Ex-Vivo Characterization of Circulating Colon Cancer Cells Distinguished in Stem and Differentiated Subset Provides Useful Biomarker for Personalized Metastatic Risk Assessment. J. Transl. Med. 2016, 14, 133. [Google Scholar] [CrossRef]
- Ignatiadis, M.; Dawson, S.-J. Circulating Tumor Cells and Circulating Tumor DNA for Precision Medicine: Dream or Reality? Ann. Oncol. Off. J. Eur. Soc. Med. Oncol. 2014, 25, 2304–2313. [Google Scholar] [CrossRef] [PubMed]
- Zanirati, G.; Dos Santos, P.G.; Alcará, A.M.; Bruzzo, F.; Ghilardi, I.M.; Wietholter, V.; Xavier, F.A.C.; Gonçalves, J.I.B.; Marinowic, D.; Shetty, A.K.; et al. Extracellular Vesicles: The Next Generation of Biomarkers and Treatment for Central Nervous System Diseases. Int. J. Mol. Sci. 2024, 25, 7371. [Google Scholar] [CrossRef]
- Peng, Y.; Croce, C.M. The Role of MicroRNAs in Human Cancer. Signal Transduct. Target. Ther. 2016, 1, 15004. [Google Scholar] [CrossRef]
- O’Brien, J.; Hayder, H.; Zayed, Y.; Peng, C. Overview of MicroRNA Biogenesis, Mechanisms of Actions, and Circulation. Front. Endocrinol. 2018, 9, 402. [Google Scholar] [CrossRef]
- Suvarnapathaki, S.; Serrano-Farias, A.; Dudley, J.C.; Bettegowda, C.; Rincon-Torroella, J. Unlocking the Potential of Circulating miRNAs as Biomarkers in Glioblastoma. Life 2024, 14, 1312. [Google Scholar] [CrossRef] [PubMed]
- Ostrom, Q.T.; Bauchet, L.; Davis, F.G.; Deltour, I.; Fisher, J.L.; Langer, C.E.; Pekmezci, M.; Schwartzbaum, J.A.; Turner, M.C.; Walsh, K.M.; et al. The Epidemiology of Glioma in Adults: A “State of the Science” Review. Neuro-Oncol. 2014, 16, 896–913. [Google Scholar] [CrossRef]
- Muskens, I.S.; Feng, Q.; Francis, S.S.; Walsh, K.M.; Mckean-Cowdin, R.; Gauderman, W.J.; de Smith, A.J.; Wiemels, J.L. Pediatric Glioma and Medulloblastoma Risk and Population Demographics: A Poisson Regression Analysis. Neuro-Oncol. Adv. 2020, 2, vdaa089. [Google Scholar] [CrossRef] [PubMed]
- Greuter, L.; Guzman, R.; Soleman, J. Pediatric and Adult Low-Grade Gliomas: Where Do the Differences Lie? Children 2021, 8, 75. [Google Scholar] [CrossRef]
- Ali, E.; Ahmed, M.A.; Shawki, M.A.; El Arab, L.R.E.; Khalifa, M.K.; Swellam, M. Expression of Some Circulating microRNAs as Predictive Biomarkers for Prognosis and Treatment Response in Glioblastoma. Sci. Rep. 2025, 15, 1933. [Google Scholar] [CrossRef]
- Barut, Z.; Akdeniz, F.T. Evaluation of the Relationship Between miRNA-22-3p and Gal-9 Levels in Glioblastoma. Vivo Athens Greece 2023, 37, 2577–2584. [Google Scholar] [CrossRef]
- Billur, D.; Yilmaz, S.G.; Yaltirik, C.K.; Ozdogan, S.; Ture, U.; Isbir, T. Serum miRNA-582-5p and miRNA-363 as Potential Non-Invasive Biomarkers for Glioblastoma Multiforme. Turk. Neurosurg. 2022, 32, 854–860. [Google Scholar] [CrossRef]
- Bustos, M.A.; Rahimzadeh, N.; Ryu, S.; Gross, R.; Tran, L.T.; Renteria-Lopez, V.M.; Ramos, R.I.; Eisenberg, A.; Hothi, P.; Kesari, S.; et al. Cell-Free Plasma microRNAs That Identify Patients with Glioblastoma. Lab. Investig. 2022, 102, 711–721. [Google Scholar] [CrossRef]
- Chen, J.; Yang, L.; Wang, X. Reduced Circulating microRNA-203 Predicts Poor Prognosis for Glioblastoma. Cancer Biomark. Sect. Dis. Markers 2017, 20, 521–526. [Google Scholar] [CrossRef]
- Chen, P.; Zhang, G.; Zhou, Q.; Li, Z. Plasma microRNA-720 May Predict Prognosis and Diagnosis in Glioma Patients. Biosci. Rep. 2020, 40, BSR20201449. [Google Scholar] [CrossRef]
- Donofrio, C.A.; Fioravanti, A.; Riccio, L.; Cominetti, M.; Cappelletti, M.R.; Longo, G.; Varotti, E.; Generali, D.; Servadei, F.; Grossi, I.; et al. Determination of Longitudinal Circulating Levels of miR-21-5p, miR-23b-3p and miR-34a-5p in Plasma of Patients with Glioblastoma Using Droplet Digital PCR. Neurosurg. Rev. 2025, 48, 592. [Google Scholar] [CrossRef] [PubMed]
- Géczi, D.; Nagy, B.; Szilágyi, M.; Penyige, A.; Klekner, Á.; Jenei, A.; Virga, J.; Birkó, Z. Analysis of Circulating miRNA Profile in Plasma Samples of Glioblastoma Patients. Int. J. Mol. Sci. 2021, 22, 5058. [Google Scholar] [CrossRef]
- Huang, Q.; Wang, C.; Hou, Z.; Wang, G.; Lv, J.; Wang, H.; Yang, J.; Zhang, Z.; Zhang, H. Serum microRNA-376 Family as Diagnostic and Prognostic Markers in Human Gliomas. Cancer Biomark. Sect. Dis. Markers 2017, 19, 137–144. [Google Scholar] [CrossRef] [PubMed]
- Lai, N.S.; Wu, D.G.; Fang, X.G.; Lin, Y.C.; Chen, S.S.; Li, Z.B.; Xu, S.S. Serum microRNA-210 as a Potential Noninvasive Biomarker for the Diagnosis and Prognosis of Glioma. Br. J. Cancer 2015, 112, 1241–1246. [Google Scholar] [CrossRef]
- Ohno, M.; Matsuzaki, J.; Kawauchi, J.; Aoki, Y.; Miura, J.; Takizawa, S.; Kato, K.; Sakamoto, H.; Matsushita, Y.; Takahashi, M.; et al. Assessment of the Diagnostic Utility of Serum MicroRNA Classification in Patients With Diffuse Glioma. JAMA Netw. Open 2019, 2, e1916953. [Google Scholar] [CrossRef] [PubMed]
- Qi, Y.; Gao, Y. Clinical Significance of miR-33b in Glioma and Its Regulatory Role in Tumor Cell Proliferation, Invasion and Migration. Biomark. Med. 2020, 14, 539–548. [Google Scholar] [CrossRef]
- Shao, N.; Wang, L.; Xue, L.; Wang, R.; Lan, Q. Plasma miR-454-3p as a Potential Prognostic Indicator in Human Glioma. Neurol. Sci. 2015, 36, 309–313. [Google Scholar] [CrossRef]
- Sun, J.; Liao, K.; Wu, X.; Huang, J.; Zhang, S.; Lu, X. Serum microRNA-128 as a Biomarker for Diagnosis of Glioma. Int. J. Clin. Exp. Med. 2015, 8, 456–463. [Google Scholar] [PubMed]
- Swellam, M.; Ezz El Arab, L.; Al-Posttany, A.S.; Said, S.B. Clinical Impact of Circulating Oncogenic MiRNA-221 and MiRNA-222 in Glioblastoma Multiform. J. Neurooncol. 2019, 144, 545–551. [Google Scholar] [CrossRef] [PubMed]
- Tang, Y.; Zhao, S.; Wang, J.; Li, D.; Ren, Q.; Tang, Y. Plasma miR-122 as a Potential Diagnostic and Prognostic Indicator in Human Glioma. Neurol. Sci. 2017, 38, 1087–1092. [Google Scholar] [CrossRef] [PubMed]
- Wang, J.; Che, F.; Zhang, J.; Zhang, M.; Xiao, S.; Liu, Y.; Zhou, L.; Su, Q.; You, C.; Lu, Y.; et al. Diagnostic and Prognostic Potential of Serum Cell-Free microRNA-214 in Glioma. World Neurosurg. 2019, 125, e1217–e1225. [Google Scholar] [CrossRef]
- Wang, Q.; Li, P.; Li, A.; Jiang, W.; Wang, H.; Wang, J.; Xie, K. Plasma Specific miRNAs as Predictive Biomarkers for Diagnosis and Prognosis of Glioma. J. Exp. Clin. Cancer Res. CR 2012, 31, 97. [Google Scholar] [CrossRef]
- Wei, X.; Chen, D.; Lv, T.; Li, G.; Qu, S. Serum MicroRNA-125b as a Potential Biomarker for Glioma Diagnosis. Mol. Neurobiol. 2016, 53, 163–170. [Google Scholar] [CrossRef] [PubMed]
- Wu, J.; Al-Zahrani, A.; Beylerli, O.; Sufianov, R.; Talybov, R.; Meshcheryakova, S.; Sufianova, G.; Gareev, I.; Sufianov, A. Circulating miRNAs as Diagnostic and Prognostic Biomarkers in High-Grade Gliomas. Front. Oncol. 2022, 12, 898537. [Google Scholar] [CrossRef]
- Wu, J.; Li, L.; Jiang, C. Identification and Evaluation of Serum MicroRNA-29 Family for Glioma Screening. Mol. Neurobiol. 2015, 52, 1540–1546. [Google Scholar] [CrossRef]
- Xiao, Y.; Zhang, L.; Song, Z.; Guo, C.; Zhu, J.; Li, Z.; Zhu, S. Potential Diagnostic and Prognostic Value of Plasma Circulating MicroRNA-182 in Human Glioma. Med. Sci. Monit. Int. Med. J. Exp. Clin. Res. 2016, 22, 855–862. [Google Scholar] [CrossRef]
- Xu, W.; Weibang, L.; Dai, Y. A Three-miRNA Signature as a Potential Biomarker for the Diagnosis of Glioma. Int. J. Clin. Exp. Pathol. 2017, 10, 2814–2823. [Google Scholar]
- Yang, C.; Wang, C.; Chen, X.; Chen, S.; Zhang, Y.; Zhi, F.; Wang, J.; Li, L.; Zhou, X.; Li, N.; et al. Identification of Seven Serum microRNAs from a Genome-Wide Serum microRNA Expression Profile as Potential Noninvasive Biomarkers for Malignant Astrocytomas. Int. J. Cancer 2013, 132, 116–127. [Google Scholar] [CrossRef] [PubMed]
- Yue, X.; Lan, F.; Hu, M.; Pan, Q.; Wang, Q.; Wang, J. Downregulation of Serum microRNA-205 as a Potential Diagnostic and Prognostic Biomarker for Human Glioma. J. Neurosurg. 2016, 124, 122–128. [Google Scholar] [CrossRef]
- Zhang, H.; Wang, J.; Wang, Z.; Ruan, C.; Wang, L.; Guo, H. Serum miR-100 Is a Potential Biomarker for Detection and Outcome Prediction of Glioblastoma Patients. Cancer Biomark. Sect. Dis. Markers 2019, 24, 43–49. [Google Scholar] [CrossRef] [PubMed]
- Zhang, R.; Pang, B.; Xin, T.; Guo, H.; Xing, Y.; Xu, S.; Feng, B.; Liu, B.; Pang, Q. Plasma miR-221/222 Family as Novel Descriptive and Prognostic Biomarkers for Glioma. Mol. Neurobiol. 2016, 53, 1452–1460. [Google Scholar] [CrossRef]
- Zhang, Y.; Ta, W.-W.; Sun, P.-F.; Meng, Y.-F.; Zhao, C.-Z. Diagnostic and Prognostic Significance of Serum miR-145-5p Expression in Glioblastoma. Int. J. Clin. Exp. Pathol. 2019, 12, 2536–2543. [Google Scholar]
- Zhao, S.; Yue, S.; Yang, Q.; Cai, W.; Jin, C.; Gao, G.; Jin, B.; Zhao, X. Serum microRNA-451a Expression and Its Diagnostic Value in Glioma. Int. J. Clin. Exp. Pathol. 2016, 9, 3678–3682. [Google Scholar]
- Zhi, F.; Shao, N.; Wang, R.; Deng, D.; Xue, L.; Wang, Q.; Zhang, Y.; Shi, Y.; Xia, X.; Wang, S.; et al. Identification of 9 Serum microRNAs as Potential Noninvasive Biomarkers of Human Astrocytoma. Neuro-Oncol. 2015, 17, 383–391. [Google Scholar] [CrossRef]
- Zhu, M.; Zhao, W.; Zhao, H.; Zhang, J. Diagnostic and Prognostic Value of microRNA-193b in Patients with Glioma and Its Effect on Tumor Progression. Oncol. Lett. 2019, 18, 4882–4890. [Google Scholar] [CrossRef] [PubMed]
- Dufourd, T.; Robil, N.; Mallet, D.; Carcenac, C.; Boulet, S.; Brishoual, S.; Rabois, E.; Houeto, J.-L.; de la Grange, P.; Carnicella, S. Plasma or Serum? A Qualitative Study on Rodents and Humans Using High-Throughput microRNA Sequencing for Circulating Biomarkers. Biol. Methods Protoc. 2019, 4, bpz006. [Google Scholar] [CrossRef] [PubMed]
- Wakabayashi, I.; Marumo, M.; Ekawa, K.; Daimon, T. Differences in Serum and Plasma Levels of microRNAs and Their Time-Course Changes after Blood Collection. Pract. Lab. Med. 2024, 39, e00376. [Google Scholar] [CrossRef]
- Ma, C.; Nguyen, H.; Luwor, R.; Stylli, S.; Gogos, A.; Paradiso, L.; Kaye, A.; Morokoff, A. A Comprehensive Meta-Analysis of Circulation miRNAs in Glioma as Potential Diagnostic Biomarker. PLoS ONE 2018, 13, e0189452. [Google Scholar] [CrossRef]
- Zhou, Q.; Liu, J.; Quan, J.; Liu, W.; Tan, H.; Li, W. MicroRNAs as Potential Biomarkers for the Diagnosis of Glioma: A Systematic Review and Meta-Analysis. Cancer Sci. 2018, 109, 2651–2659. [Google Scholar] [CrossRef] [PubMed]
- He, J.; Jiang, Y.; Liu, L.; Zuo, Z.; Zeng, C. Circulating MicroRNAs as Promising Diagnostic Biomarkers for Patients With Glioma: A Meta-Analysis. Front. Neurol. 2020, 11, 610163. [Google Scholar] [CrossRef]
- Hasani, F.; Masrour, M.; Jazi, K.; Ahmadi, P.; Hosseini, S.S.; Lu, V.M.; Alborzi, A. MicroRNA as a Potential Diagnostic and Prognostic Biomarker in Brain Gliomas: A Systematic Review and Meta-Analysis. Front. Neurol. 2024, 15, 1357321. [Google Scholar] [CrossRef]
- Kanderi, T.; Munakomi, S.; Gupta, V. Glioblastoma Multiforme. In StatPearls; StatPearls Publishing: Treasure Island, FL, USA, 2025. [Google Scholar]
- Denli, A.M.; Tops, B.B.J.; Plasterk, R.H.A.; Ketting, R.F.; Hannon, G.J. Processing of Primary microRNAs by the Microprocessor Complex. Nature 2004, 432, 231–235. [Google Scholar] [CrossRef]
- Chawra, H.S.; Agarwal, M.; Mishra, A.; Chandel, S.S.; Singh, R.P.; Dubey, G.; Kukreti, N.; Singh, M. MicroRNA-21’s Role in PTEN Suppression and PI3K/AKT Activation: Implications for Cancer Biology. Pathol. Res. Pract. 2024, 254, 155091. [Google Scholar] [CrossRef]
- Qiu, C.; Ma, J.; Wang, M.-L.; Zhang, Q.; Li, Y.-B. MicroRNA-155 Deficiency in CD8+ T Cells Inhibits Its Anti-Glioma Immunity by Regulating FoxO3a. Eur. Rev. Med. Pharmacol. Sci. 2019, 23, 2486–2496. [Google Scholar] [CrossRef] [PubMed]
- Li, X.J.; Ren, Z.J.; Tang, J.H. MicroRNA-34a: A Potential Therapeutic Target in Human Cancer. Cell Death Dis. 2014, 5, e1327. [Google Scholar] [CrossRef]
- Sanuki, R.; Yamamura, T. Tumor Suppressive Effects of miR-124 and Its Function in Neuronal Development. Int. J. Mol. Sci. 2021, 22, 5919. [Google Scholar] [CrossRef] [PubMed]
- Garofalo, M.; Quintavalle, C.; Romano, G.; Croce, C.M.; Condorelli, G. miR221/222 in Cancer: Their Role in Tumor Progression and Response to Therapy. Curr. Mol. Med. 2012, 12, 27–33. [Google Scholar] [CrossRef] [PubMed]
- Floyd, D.H.; Zhang, Y.; Dey, B.K.; Kefas, B.; Breit, H.; Marks, K.; Dutta, A.; Herold-Mende, C.; Synowitz, M.; Glass, R.; et al. Novel Anti-Apoptotic MicroRNAs 582-5p and 363 Promote Human Glioblastoma Stem Cell Survival via Direct Inhibition of Caspase 3, Caspase 9, and Bim. PLoS ONE 2014, 9, e96239. [Google Scholar] [CrossRef] [PubMed]
- Zhang, S.; Lai, N.; Liao, K.; Sun, J.; Lin, Y. MicroRNA-210 Regulates Cell Proliferation and Apoptosis by Targeting Regulator of Differentiation 1 in Glioblastoma Cells. Folia Neuropathol. 2015, 53, 236–244. [Google Scholar] [CrossRef]
- Li, Y.; Wu, Y.; Sun, Z.; Wang, R.; Ma, D. MicroRNA-376a Inhibits Cell Proliferation and Invasion in Glioblastoma Multiforme by Directly Targeting Specificity Protein 1. Mol. Med. Rep. 2018, 17, 1583–1590. [Google Scholar] [CrossRef] [PubMed]
- Deng, Y.-W.; Shu, Y.-G.; Sun, S.-L. miR-376a Inhibits Glioma Proliferation and Angiogenesis by Regulating YAP1/VEGF Signalling via Targeting of SIRT1. Transl. Oncol. 2022, 15, 101270. [Google Scholar] [CrossRef]
- Mafi, A.; Mannani, R.; Khalilollah, S.; Hedayati, N.; Salami, R.; Rezaee, M.; Dehmordi, R.M.; Ghorbanhosseini, S.S.; Alimohammadi, M.; Akhavan-Sigari, R. The Significant Role of microRNAs in Gliomas Angiogenesis: A Particular Focus on Molecular Mechanisms and Opportunities for Clinical Application. Cell. Mol. Neurobiol. 2023, 43, 3277–3299. [Google Scholar] [CrossRef]
- Wu, N.; Lin, X.; Zhao, X.; Zheng, L.; Xiao, L.; Liu, J.; Ge, L.; Cao, S. MiR-125b Acts as an Oncogene in Glioblastoma Cells and Inhibits Cell Apoptosis through P53 and p38MAPK-Independent Pathways. Br. J. Cancer 2013, 109, 2853–2863. [Google Scholar] [CrossRef]
- Jin, Z.; Xu, S.; Yu, H.; Yang, B.; Zhao, H.; Zhao, G. miR-125b Inhibits Connexin43 and Promotes Glioma Growth. Cell. Mol. Neurobiol. 2013, 33, 1143–1148. [Google Scholar] [CrossRef]
- Wu, N.; Xiao, L.; Zhao, X.; Zhao, J.; Wang, J.; Wang, F.; Cao, S.; Lin, X. miR-125b Regulates the Proliferation of Glioblastoma Stem Cells by Targeting E2F2. FEBS Lett. 2012, 586, 3831–3839. [Google Scholar] [CrossRef]
- Wenfu, Z.; Bin, L.; Binchan, R.; Jingling, L.; Zhenchang, W.; Zhengdi, W.; Lei, Y. DNA Methylation-Mediated Repression of microRNA-410 Promotes the Growth of Human Glioma Cells and Triggers Cell Apoptosis through Its Interaction with STAT3. Sci. Rep. 2024, 14, 1556. [Google Scholar] [CrossRef]
- Wang, J.; Yang, Y.; Cao, Y.; Tang, X. miR-342 Inhibits Glioma Cell Proliferation by Targeting GPRC5A. Mol. Med. Rep. 2019, 20, 252–260. [Google Scholar] [CrossRef]
- Liu, S.; Liu, H.; Deng, M.; Wang, H. MiR-182 Promotes Glioma Progression by Targeting FBXW7. J. Neurol. Sci. 2020, 411, 116689. [Google Scholar] [CrossRef]
- Liu, Y.; Jiang, K.; Zhi, T.; Xu, X. miR-720 Is a Key Regulator of Glioma Migration and Invasion by Controlling TARSL2 Expression. Hum. Cell 2021, 34, 1504–1516. [Google Scholar] [CrossRef] [PubMed]
- Yue, X.; Wang, P.; Xu, J.; Zhu, Y.; Sun, G.; Pang, Q.; Tao, R. MicroRNA-205 Functions as a Tumor Suppressor in Human Glioblastoma Cells by Targeting VEGF-A. Oncol. Rep. 2012, 27, 1200–1206. [Google Scholar] [CrossRef]
- Liao, H.; Bai, Y.; Qiu, S.; Zheng, L.; Huang, L.; Liu, T.; Wang, X.; Liu, Y.; Xu, N.; Yan, X.; et al. MiR-203 Downregulation Is Responsible for Chemoresistance in Human Glioblastoma by Promoting Epithelial-Mesenchymal Transition via SNAI2. Oncotarget 2015, 6, 8914–8928. [Google Scholar] [CrossRef] [PubMed]
- Shi, L.; Wang, Z.; Sun, G.; Wan, Y.; Guo, J.; Fu, X. miR-145 Inhibits Migration and Invasion of Glioma Stem Cells by Targeting ABCG2. NeuroMolecular Med. 2014, 16, 517–528. [Google Scholar] [CrossRef]
- Chen, Z.; Qin, Y. Role of miRNA-145-5p in Cancer (Review). Oncol. Rep. 2025, 53, 39. [Google Scholar] [CrossRef] [PubMed]
- Zhong, Q.; Wang, T.; Lu, P.; Zhang, R.; Zou, J.; Yuan, S. miR-193b Promotes Cell Proliferation by Targeting Smad3 in Human Glioma. J. Neurosci. Res. 2014, 92, 619–626. [Google Scholar] [CrossRef]
- Li, Q.; Liu, J.; Meng, X.; Pang, R.; Li, J. MicroRNA-454 May Function as an Oncogene via Targeting AKT in Triple Negative Breast Cancer. J. Biol. Res. Thessalon. 2017, 24, 10. [Google Scholar] [CrossRef]
- D’Urso, P.I.; D’Urso, O.F.; Storelli, C.; Mallardo, M.; Gianfreda, C.D.; Montinaro, A.; Cimmino, A.; Pietro, C.; Marsigliante, S. miR-155 Is up-Regulated in Primary and Secondary Glioblastoma and Promotes Tumour Growth by Inhibiting GABA Receptors. Int. J. Oncol. 2012, 41, 228–234. [Google Scholar] [CrossRef]
- Wu, D.; Wang, C. miR-155 Regulates the Proliferation of Glioma Cells Through PI3K/AKT Signaling. Front. Neurol. 2020, 11, 297. [Google Scholar] [CrossRef]
- Zhang, W.; Jiang, B.; Zhu, H.; Cheng, A.; Li, C.; Huang, H.; Li, X.; Kuang, Y. miR-33b in Human Cancer: Mechanistic and Clinical Perspectives. Biomed. Pharmacother. 2023, 161, 114432. [Google Scholar] [CrossRef] [PubMed]
- Chen, Q.; Wang, W.; Chen, S.; Chen, X.; Lin, Y. miR-29a Sensitizes the Response of Glioma Cells to Temozolomide by Modulating the P53/MDM2 Feedback Loop. Cell. Mol. Biol. Lett. 2021, 26, 21. [Google Scholar] [CrossRef] [PubMed]
- Xiao, S.; Yang, Z.; Qiu, X.; Lv, R.; Liu, J.; Wu, M.; Liao, Y.; Liu, Q. miR-29c Contribute to Glioma Cells Temozolomide Sensitivity by Targeting O6-Methylguanine-DNA Methyltransferases Indirectely. Oncotarget 2016, 7, 50229–50238. [Google Scholar] [CrossRef]
- Chen, G.; Zhu, W.; Shi, D.; Lv, L.; Zhang, C.; Liu, P.; Hu, W. MicroRNA-181a Sensitizes Human Malignant Glioma U87MG Cells to Radiation by Targeting Bcl-2. Oncol. Rep. 2010, 23, 997–1003. [Google Scholar] [CrossRef] [PubMed]
- Chakrabortty, A.; Patton, D.J.; Smith, B.F.; Agarwal, P. miRNAs: Potential as Biomarkers and Therapeutic Targets for Cancer. Genes 2023, 14, 1375. [Google Scholar] [CrossRef]
- Metcalf, G.A.D. MicroRNAs: Circulating Biomarkers for the Early Detection of Imperceptible Cancers via Biosensor and Machine-Learning Advances. Oncogene 2024, 43, 2135–2142. [Google Scholar] [CrossRef]
- Terzapulo, X.; Dyussupova, A.; Ilyas, A.; Boranova, A.; Shevchenko, Y.; Mergenbayeva, S.; Filchakova, O.; Gaipov, A.; Bukasov, R. Detection of Cancer Biomarkers: Review of Methods and Applications Reported from Analytical Perspective. Crit. Rev. Anal. Chem. 2025, 1–46. [Google Scholar] [CrossRef]
- Mumford, S.L.; Towler, B.P.; Pashler, A.L.; Gilleard, O.; Martin, Y.; Newbury, S.F. Circulating MicroRNA Biomarkers in Melanoma: Tools and Challenges in Personalised Medicine. Biomolecules 2018, 8, 21. [Google Scholar] [CrossRef]
- Petracci, I.; Bellini, S.; Goljanek-Whysall, K.; Quinlan, L.R.; Fiszer, A.; Cakmak, A.; Njume, C.M.; Borroni, B.; Ghidoni, R. Exploring the Role of microRNAs as Blood Biomarkers in Alzheimer’s Disease and Frontotemporal Dementia. Int. J. Mol. Sci. 2025, 26, 3399. [Google Scholar] [CrossRef]
- Searles, C.D. MicroRNAs and Cardiovascular Disease Risk. Curr. Cardiol. Rep. 2024, 26, 51–60. [Google Scholar] [CrossRef] [PubMed]









| Study | Year | Country | Sample Source | Patient Sample Size | Control Sample Size |
|---|---|---|---|---|---|
| Ali E. [19] | 2025 | Egypt | Serum | 25 | 20 |
| Barut Z. [20] | 2023 | Turkey | Serum | 25 | 25 |
| Billur D. [21] | 2022 | Turkey | Serum | 35 | 36 |
| Bustos M. [22] | 2022 | USA | Plasma | 45 | 73 |
| Chen J. [23] | 2017 | China | Serum | 70 | 30 |
| Chen P. [24] | 2020 | China | Plasma | 122 | 60 |
| Donofrio C. [25] | 2025 | Italy | Plasma | 23 | 32 |
| Géczi D. [26] | 2021 | Hungary | Plasma | 6 | 6 |
| Huang Q. [27] | 2017 | China | Serum | 100 | 50 |
| Lai N.-S. [28] | 2015 | China | Serum | 136 | 50 |
| Ohno M. [29] | 2019 | Japan | Serum | 57 | 114 |
| Qi Y. [30] | 2020 | China | Serum | 128 | 62 |
| Shao N. [31] | 2015 | China | Plasma | 70 | 70 |
| Sun J. [32] | 2015 | China | Serum | 151 | 53 |
| Swellam M. [33] | 2019 | Egypt | Serum | 20 | 20 |
| Tang Y. [34] | 2017 | China | Plasma | 74 | 74 |
| Wang J. [35] | 2019 | China | Serum | 100 | 100 |
| Wang Q. [36] | 2012 | China | Plasma | 10 | 10 |
| Wei X. [37] | 2016 | China | Serum | 33 | 33 |
| Wu J. [38] | 2022 | China | Plasma | 38 | 85 |
| Wu J.H. [39] | 2014 | China | Serum | 83 | 69 |
| Xiao Y. [40] | 2016 | China | Plasma | 112 | 54 |
| Xu W. [41] | 2017 | Russia | Plasma | 47 | 45 |
| Yang C. [42] | 2013 | China | Serum | 133 | 80 |
| Yue X. [43] | 2016 | China | Serum | 64 | 45 |
| Zhang H. [44] | 2019 | China | Serum | 95 | 60 |
| Zhang R. [45] | 2016 | China | Plasma | 50 | 51 |
| Zhang Y. [46] | 2019 | China | Serum | 117 | 50 |
| Zhao S. [47] | 2016 | China | Serum | 118 | 84 |
| Zhi F. [48] | 2014 | China | Serum | 90 | 110 |
| Zhu M. [49] | 2019 | China | Serum | 122 | 68 |
| Entry | Type of miRNA | Mode of Expression | Grade or Type | Sensitivity | Specificity | AUC | Study |
|---|---|---|---|---|---|---|---|
| 1 | miR-29a | up | GBM | 0.88 | 1.00 | 0.978 | Ali E. [19] |
| 2 | miR-106a | up | GBM | 0.92 | 1.00 | 0.956 | |
| 3 | miR-200a | up | GBM | 0.92 | 1.00 | 0.98 | |
| 4 | miR-22-3p | down | GBM | 0.417 | 1.00 | 0.674 | Barut Z. [20] |
| 5 | miRNA-582-5p’ | up | GBM | 0.844 | 0.97 | 0.938 | Billur D. [21] |
| 6 | miRNA-363 | up | GBM | 0.893 | 0.861 | 0.951 | |
| 7 | miR-5739 | up | GBM | 0.622 | 0.959 | 0.848 | Bustos M. [22] |
| 8 | miR-3180-3p | up | GBM | 0.832 | 0.932 | 0.881 | |
| 9 | miR-203 | down | GBM | 0.8586 | 0.7336 | 0.862 | Chen J. [23] |
| 10 | miR-720 | up | Grades I–IV | 0.713 | 0.833 | 0.773 | Chen P. [24] |
| 11 | miR-34a-5p | up | GBM | 0.478 | 0.875 | 0.664 | Donofrio C. [25] |
| 12 | miR-433-3p | up | GBM | 0.92 | 0.96 | 0.98214 | Géczi D. [26] |
| 13 | miR-29a-3p | up | GBM | 0.92 | 0.96 | 0.98214 | |
| 14 | miR-195-5p | up | GBM | 0.88 | 0.96 | 0.9704 | |
| 15 | miR-376c | down | Grades I–IV | 0.90 | 0.70 | 0.837 | Huang Q. [27] |
| 16 | miR-376a | down | Grades I–IV | 0.81 | 0.82 | 0.872 | |
| 17 | miR-376b | down | Grades I–IV | 0.82 | 0.78 | 0.890 | |
| 18 | miR-210 | up | Grades I–IV | 0.9127 | 0.725 | 0.927 | Lai N.-S. [28] |
| 19 | combination of miR-4763-3p, | up | diffuse glioma | 0.95 | 0.97 | 0.99 | Ohno M. [29] |
| miR-1915-3p, | |||||||
| miR-3679-5p | |||||||
| 20 | miR-33b | down | Grades I–IV | 0.867 | 0.855 | 0.883 | Qi Y. [30] |
| 21 | miR-454-3p | up | Grades I–IV | 0.9905 | 0.8286 | 0.9063 | Shao N. [31] |
| 22 | miR-128 | down | Grades I–IV | 0.8675 | 0.8868 | 0.9095 | Sun J. [32] |
| 23 | miR-221 | up | GBM | 0.90 | 1.00 | 0.925 | Swellam M. [33] |
| 24 | miR-222 | up | GBM | 0.85 | 1.00 | 0.957 | |
| 25 | miR-122 | down | Grades I–IV | 0.919 | 0.811 | 0.939 | Tang Y. [34] |
| 26 | miR-214 | up | overall glioma | 0.90 | 0.71 | 0.885 | Wang J. [35] |
| 27 | miR-214 | up | HGG | 0.7258 | 0.95 | 0.909 | |
| 28 | miR-214 | up | LGG | 1.00 | 0.64 | 0.847 | |
| 29 | miR-21 | up | GBM | 0.90 | 1.00 | 0.93 | Wang Q. [36] |
| 30 | miR-128 | down | GBM | 0.90 | 1.00 | 1.0 | |
| 31 | miR-342-3p | down | GBM | 0.90 | 1.00 | 1.0 | |
| 32 | miR-125b | down | Grade II | 0.8182 | 0.7576 | 0.868 | Wei X. [37] |
| 33 | miR-125b | down | Grades I–IV | 0.7879 | 0.7576 | 0.839 | |
| 34 | miR-125b | down | Grade I | 0.7273 | 0.6667 | 0.691 | |
| 35 | miR-125b | down | Grades III–IV | 0.9091 | 0.8788 | 0.959 | |
| 36 | miR-410 | down | LGG | 0.657 | 0.741 | 0.67 | Wu J. [38] |
| 37 | miR-181b | down | HGG | 0.931 | 0.887 | 0.94 | |
| 38 | miR-410 | down | HGG | 0.868 | 0.9421 | 0.97 | |
| 39 | miR-181a | down | LGG | 0.7334 | 0.860 | 0.83 | |
| 40 | miR-181b | down | LGG | 0.6821 | 0.8275 | 0.78 | |
| 41 | miR-155 | up | HGG | 0.823 | 0.841 | 0.92 | |
| 42 | miR-181a | down | HGG | 0.875 | 0.967 | 0.97 | |
| 43 | miR-155 | up | LGG | 0.667 | 0.769 | 0.68 | |
| 44 | miR-29 family | down | LGG | 0.49 | 0.85 | 0.66 | Wu J.H. [39] |
| 45 | miR-29 family | down | Grades I–IV | 0.685 | 0.773 | 0.74 | |
| 46 | miR-182 | up | Grades I–IV | 0.585 | 0.852 | 0.778 | Xiao Y. [40] |
| 47 | miR-17 | up | Grades I–IV | 0.893 | 0.553 | 0.787 | Xu W. [41] |
| 48 | miR-130a | up | Grades I–IV | 0.702 | 0.652 | 0.720 | |
| 49 | miR-10b | up | Grades I–IV | 0.446 | 0.936 | 0.721 | |
| 50 | combination of 3 miRNAs (miR-17, miR-130a, and miR-10b) | up | Grades I–IV | 0.723 | 0.851 | 0.872 | |
| 51 | combination of 7 miRNAs (miR-15b *, miR-23a, miR-133a, miR-150 *, miR-197, miR-497, miR-548b-5p) | down | Grades II–IV | 0.88 | 0.9787 | 0.972 | Yang C. [42] |
| 52 | miR-205 | down | Grades I–IV | 0.863 | 0.922 | 0.935 | Yue X. [43] |
| 53 | miR-100 | down | GBM | 0.8333 | 0.7789 | 0.839 | Zhang H. [44] |
| 54 | miR-222 | up | glioma | 0.857 | 0.875 | 0.92 | Zhang R. [45] |
| 55 | miR-221 | up | 0.735 | 0.80 | 0.84 | ||
| 56 | miR-145-5p | down | GBM | 0.846 | 0.78 | 0.895 | Zhang Y. [46] |
| 57 | miR-451a | down | glioma | 0.814 | 0.797 | 0.816 | Zhao S. [47] |
| 58 | combination of 9 miRNAs (miR-15b-5p, miR-16-5p, miR-19a-3p, miR-19b-3p, miR-20a-5p, miR-106a-5p, miR-130a-3p, miR-181b-5p, miR-208a-3p) | down | Grades II–IV | 0.933 | 0.945 | 0.9722 | Zhi F. [48] |
| 59 | miR-193b | up | Grades I–IV | 0.795 | 0.868 | 0.903 | Zhu M. [49] |
| Subgroups | No. Observations | Sen [95%CI] | Spe [95%CI] | PLR [95%CI] | NLR [95%CI] | DOR [95%CI] | AUC [95%CI] |
|---|---|---|---|---|---|---|---|
| Area | |||||||
| Asia | 40 | 0.84 [0.79–0.87] | 0.85 [0.81–0.88] | 5.6 [4.4–7.0] | 0.19 [0.15–0.24] | 29 [20–42] | 0.91 [0.88–0.93] |
| Other | 19 | 0.82 [0.75–0.87] | 0.93 [0.88–0.976] | 12.5 [6.6–23.9] | 0.19 [0.13–0.27] | 66 [26–166] | 0.94 [0.92–0.96] |
| Grade | |||||||
| High-grade | 26 | 0.84 [0.79–0.88] | 0.94 [0.90–0.97] | 14.4 [8.4–24.8] | 0.17 [0.13–0.23] | 85 [44–167] | 0.95 [0.93–0.97] |
| Low-grade | 33 | 0.82 [0.77–0.87] | 0.82 [0.79–0.86] | 4.7 [3.8–5.8] | 0.21 [0.16–0.28] | 22 [15–33] | 0.89 [0.86–0.92] |
| Mode | |||||||
| Down | 28 | 0.82 [0.78–0.86] | 0.86 [0.82–0.89] | 5.7 [4.5–7.4] | 0.20 [0.16–0.26] | 28 [18–43] | 0.91 [0.88–0.93] |
| Up | 31 | 0.84 [0.78–0.89] | 0.90 [0.85–0.93] | 8.3 [5.5–12.6] | 0.17 [0.12–0.24] | 48 [26–88] | 0.94 [0.91–0.96] |
| Profile | |||||||
| Single | 53 | 0.83 [0.80–0.86] | 0.87 [0.83–0.89] | 6.3 [5.0–7.8] | 0.19 [0.16–0.24] | 32 [23–45] | 0.92 [0.89–0.94] |
| Cluster | 6 | 0.82 [0.65–0.91] | 0.92 [0.84–0.96] | 9.9 [4.3–22.7] | 0.20 [0.09–0.42] | 50 [11–230] | 0.94 [0.92–0.96] |
| Sample Size | |||||||
| <100 | 23 | 0.83 [0.75–0.88] | 0.95 [0.87–0.98] | 17.0 [6.1–47.5] | 0.18 [0.12–0.27] | 94 [28–322] | 0.94 [0.91–0.96] |
| ≥100 | 36 | 0.84 [0.80–0.87] | 0.86 [0.82–0.88] | 5.9 [4.7–7.2] | 0.19 [0.15–0.24] | 31 [21–44] | 0.91 [0.89–0.94] |
| Sample Type | |||||||
| Serum | 32 | 0.85 [0.81–0.89] | 0.88 [0.83–0.92] | 7.1 [5.1–10.0] | 0.17 [0.13–0.21] | 43 [27–69] | 0.93 [0.90–0.95] |
| Plasma | 27 | 0.81 [0.74–0.85] | 0.87 [0.83–0.91] | 6.3 [4.6–8.5] | 0.23 [0.17–0.31] | 27 [16–46] | 0.91 [0.88–0.93] |
Disclaimer/Publisher’s Note: The statements, opinions and data contained in all publications are solely those of the individual author(s) and contributor(s) and not of MDPI and/or the editor(s). MDPI and/or the editor(s) disclaim responsibility for any injury to people or property resulting from any ideas, methods, instructions or products referred to in the content. |
© 2026 by the authors. Licensee MDPI, Basel, Switzerland. This article is an open access article distributed under the terms and conditions of the Creative Commons Attribution (CC BY) license.
Share and Cite
Khassenova, A.; Seitkanova, Z.; Loskutova, A.; Bukasov, R.; Filchakova, O. Diagnostic Potential of Circulating miRNAs in Glioma: A Systematic Review and Meta-Analysis. Int. J. Mol. Sci. 2026, 27, 1680. https://doi.org/10.3390/ijms27041680
Khassenova A, Seitkanova Z, Loskutova A, Bukasov R, Filchakova O. Diagnostic Potential of Circulating miRNAs in Glioma: A Systematic Review and Meta-Analysis. International Journal of Molecular Sciences. 2026; 27(4):1680. https://doi.org/10.3390/ijms27041680
Chicago/Turabian StyleKhassenova, Aizere, Zhamilya Seitkanova, Alissa Loskutova, Rostislav Bukasov, and Olena Filchakova. 2026. "Diagnostic Potential of Circulating miRNAs in Glioma: A Systematic Review and Meta-Analysis" International Journal of Molecular Sciences 27, no. 4: 1680. https://doi.org/10.3390/ijms27041680
APA StyleKhassenova, A., Seitkanova, Z., Loskutova, A., Bukasov, R., & Filchakova, O. (2026). Diagnostic Potential of Circulating miRNAs in Glioma: A Systematic Review and Meta-Analysis. International Journal of Molecular Sciences, 27(4), 1680. https://doi.org/10.3390/ijms27041680

